High Sensitivity Cryogenic Temperature Sensors Based on Arc-Induced Long-Period Fiber Gratings
Abstract
1. Introduction
2. Long-Period Fiber Grating Structure
3. Refractive Index of the Fiber Structure
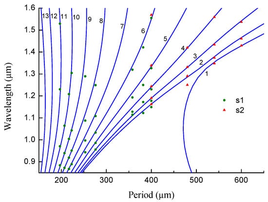
4. Dispersion Curves of LPFGs
5. Sensitivity and Resolution of LPFGs
6. Temperature Sensitivity of LPFGs
7. Conclusions
Author Contributions
Funding
Institutional Review Board Statement
Informed Consent Statement
Data Availability Statement
Conflicts of Interest
References
- Marchevsky, M.; Prestemon, S.; Lobkis, O.; Roth, R.; Van Der Laan, D.C.; Weiss, J.D. Ultrasonic Waveguides for Quench Detection in HTS Magnets. IEEE Trans. Appl. Supercond. 2022, 32, 4701705. [Google Scholar] [CrossRef]
- Han, F.; Wang, Z.; Zhang, H.; Wang, D.; Li, W.; Cai, W. Experimental study of large-temperature-range and long-period monitoring for LNG marine auxiliary based on fiber bragg grating temperature measurement. J. Mar. Sci. Eng. 2021, 9, 917. [Google Scholar] [CrossRef]
- Chiuchiolo, A.; Bajas, H.; Bajko, M.; Bourcey, N.; Cabon, M.; Ferracin, P.; Grosclaude, P.; Guinchard, M.; Perez, J.C.; Vallone, G. Strain Measurements with Fiber Bragg Grating Sensors in the Short Models of the HiLumi LHC Low-Beta Quadrupole Magnet MQXF. IEEE Trans. Appl. Supercond. 2018, 28, 4007805. [Google Scholar] [CrossRef]
- Latka, I.; Ecke, W.; Höfer, B.; Habisreuther, T.; Willsch, R. Fiber-optic Bragg gratings as magnetic field-insensitive strain sensors for the surveillance of cryogenic devices. Cryogenics 2009, 49, 490–496. [Google Scholar] [CrossRef]
- Scurti, F.; Sathyamurthy, S.; Rupich, M.; Schwartz, J. Self-monitoring ‘SMART’ (RE)Ba2Cu3O7-x conductor via integrated optical fibers. Supercond. Sci. Technol. 2017, 30, 114002. [Google Scholar] [CrossRef]
- Jaime, M.; Moya, C.C.; Weickert, F.; Zapf, V.; Balakirev, F.F.; Wartenbe, M.; Rosa, P.F.S.; Betts, J.B.; Rodriguez, G.; Crooker, S.A.; et al. Fiber bragg grating dilatometry in extreme magnetic field and cryogenic conditions. Sensors 2017, 17, 2572. [Google Scholar] [CrossRef]
- Braginski, A.I. Superconductor Electronics: Status and Outlook. J. Supercond. Nov. Magn. 2019, 32, 23–44. [Google Scholar] [CrossRef]
- Yeager, C.J.; Courts, S.S. A review of cryogenic thermometry and common temperature sensors. IEEE Sens. J. 2001, 1, 352–360. [Google Scholar] [CrossRef]
- Kazemi, A.A.; Yang, C.; Chen, S. Fiber optic cryogenic liquid level detection system for space applications. In Proceedings of the Photonics in the Transportation Industry: Auto to Aerospace II, Orlando, FL, USA, 13–14 April 2009; SPIE—The International Society for Optical Engineering: Bellingham, WA, USA, 2009. [Google Scholar]
- Méndez, A. Fiber Bragg grating sensors in harsh environments: Considerations and industrial monitoring applications. In Proceedings of the Optical Measurement Systems for Industrial Inspection X, Munich, Germany, 26–29 June 2017; SPIE—The International Society for Optical Engineering: Bellingham, WA, USA, 2017. [Google Scholar]
- de Miguel-Soto, V.; Leandro, D.; Lopez-Aldaba, A.; Beato-López, J.J.; Pérez-Landazábal, J.I.; Auguste, J.L.; Jamier, R.; Roy, P.; Lopez-Amo, M. Study of optical fiber sensors for cryogenic temperature measurements. Sensors 2017, 17, 2773. [Google Scholar] [CrossRef]
- Lu, X.; Soto, M.A.; Thévenaz, L. MilliKelvin resolution in cryogenic temperature distributed fibre sensing based on coherent Rayleigh scattering. In Proceedings of the 23rd International Conference on Optical Fibre Sensors, Santander, Spain, 2–6 June 2014; Proceedings of SPIE—The International Society for Optical Engineering: Bellingham, WA, USA, 2014. [Google Scholar]
- Peixoto E Silva, M.S.; Barros, T.H.C.D.; Alves, H.P.; Nascimento, J.F.D.; Martins Filho, J.F. Evaluation of Fiber Optic Raman Scattering Distributed Temperature Sensor between −196 and 400 °C. IEEE Sens. J. 2021, 21, 1527–1533. [Google Scholar] [CrossRef]
- James, S.W.; Tatam, R.P.; Twin, A.; Morgan, M.; Noonan, P. Strain response of fibre Bragg grating sensors at cryogenic temperatures. Meas. Sci. Technol. 2002, 13, 1535–1539. [Google Scholar] [CrossRef]
- Reid, M.B.; Ozcan, M. Temperature dependence of fiber optic Bragg gratings at low temperatures. Opt. Eng. 1998, 37, 237–240. [Google Scholar] [CrossRef]
- Habisreuther, T.; Hailemichael, E.; Ecke, W.; Latka, I.; Schröder, K.; Chojetzki, C.; Schuster, K.; Rothhardt, M.; Willsch, R. ORMOCER coated fiber-optic Bragg grating sensors at cryogenic temperatures. IEEE Sens. J. 2012, 12, 13–16. [Google Scholar] [CrossRef]
- Hsu, C.Y.; Chiang, C.C.; Hsieh, T.S.; Hsu, H.C.; Tsai, L.; Hou, C.H. Study of fiber Bragg gratings with TiN-coated for cryogenic temperature measurement. Opt. Laser Technol. 2021, 136, 106768. [Google Scholar] [CrossRef]
- Rajini-Kumar, R.; Suesser, M.; Narayankhedkar, K.G.; Krieg, G.; Atrey, M.D. Performance evaluation of metal-coated fiber Bragg grating sensors for sensing cryogenic temperature. Cryogenics 2008, 48, 142–147. [Google Scholar] [CrossRef]
- Shiratsuchi, T.; Imai, T. Development of fiber Bragg grating strain sensor with temperature compensation for measurement of cryogenic structures. Cryogenics 2021, 113, 103233. [Google Scholar] [CrossRef]
- Yang, T.; Wang, H.; Wang, X. Strain transfer characteristics of multi-layer optical fiber sensors with temperature-dependent properties at low temperature. Sensors 2021, 21, 495. [Google Scholar] [CrossRef]
- Rego, G.; Caldas, P.; Ivanov, O.V. Arc-induced long-period fiber gratings at inesc tec. Part II: Properties and applications in optical communications and sensing. Sensors 2021, 21, 5914. [Google Scholar] [CrossRef]
- Choi, D.; Kim, J.; Roh, S.; Lee, B.; Lee, Y.W. Highly-Sensitive and -Linear Cryogenic Temperature Response of Long-Period Fiber Gratings Written on B–Ge-Codoped Photosensitive Fiber. Jpn. J. Appl. Phys. 2012, 51, 092501. [Google Scholar] [CrossRef]
- James, S.W.; Tatam, R.P.; Twin, A.; Bateman, R.; Noonan, P. Cryogenic temperature response of fibre optic long period gratings. Meas. Sci. Technol. 2003, 14, 1409–1411. [Google Scholar] [CrossRef]
- Mizunami, T.; Ishida, Y.; Yoshikura, S. Long-period fiber-grating temperature sensors in Ge-B-codoped fibers with temperature/strain discrimination. Jpn. J. Appl. Phys. 2008, 47, 6833–6837. [Google Scholar] [CrossRef]
- Martins, R.; Caldas, P.; Teixeira, B.; Azevedo, J.; Monteiro, J.; Belo, J.H.; Araújo, J.P.; Santos, J.L.; Rego, G. Cryogenic Temperature Response of Reflection-Based Phase-Shifted Long-Period Fiber Gratings. J. Lightwave Technol. 2015, 33, 2511–2517. [Google Scholar] [CrossRef]
- Colaço, C.; Caldas, P.; Villar, I.D.; Chibante, R.; Rego, G. Arc-Induced Long-Period Fiber Gratings in the Dispersion Turning Points. J. Lightwave Technol. 2016, 34, 4584–4590. [Google Scholar] [CrossRef]
- Vengsarkar, A.; Lemaire, P.; Judkins, J.; Bhatia, V.; Erdogan, T.; Sipe, J. Long-period fiber gratings as band-rejection filters. J. Lightwave Technol. 1996, 14, 58–65. [Google Scholar] [CrossRef]
- Rego, G.; Fernandes, J.; Santos, J.; Salgado, H.; Marques, P. New technique to mechanically induce long-period fibre gratings. Opt. Commun. 2003, 220, 111–118. [Google Scholar] [CrossRef]
- Rego, G.; Caldas, P.; Ivanov, O.V. Arc-induced long-period fiber gratings at INESC TEC. Part I: Fabrication, characterization and mechanisms of formation. Sensors 2021, 21, 4914. [Google Scholar] [CrossRef]
- Rego, G.; Marques, P.V.S.; Santos, J.L.; Salgado, H.M. Arc-induced long-period gratings. Fiber Integr. Opt. 2005, 24, 245–259. [Google Scholar] [CrossRef]
- Rego, G.; Ivanov, O.V.; Marques, P.V.S. Demonstration of coupling to symmetric and antisymmetric cladding modes in arc-induced long-period fiber gratings. Opt. Express 2006, 14, 9594–9599. [Google Scholar] [CrossRef]
- Ivanov, O.V.; Rego, G. Origin of coupling to antisymmetric modes in arc-induced long-period fiber gratings. Opt. Express 2007, 15, 13936–13941. [Google Scholar] [CrossRef]
- Rego, G.; Ivanov, O.V. Two types of resonances in long-period gratings induced by arc discharges in boron/germanium co-doped fibers. Opt. Lett. 2007, 32, 2984–2986. [Google Scholar] [CrossRef]
- Rego, G.; Okhotnikov, O.; Dianov, E.; Sulimov, V. High-temperature stability of long-period fiber gratings produced using an electric arc. J. Lightwave Technol. 2001, 19, 1574–1579. [Google Scholar] [CrossRef]
- Durr, F.; Rego, G.; Marques, P.V.S.; Semjonov, S.L.; Dianov, E.M.; Limberger, H.G.; Salathe, R.P. Tomographic stress profiling of arc-induced long-period fiber gratings. J. Lightwave Technol. 2005, 23, 3947–3953. [Google Scholar] [CrossRef]
- Rego, G.; Durr, F.; Marques, R.; Limberger, H.G. Strong asymmetric stresses arc-induced in pre-annealed nitrogen-doped fibres. Electron. Lett. 2006, 42, 334–335. [Google Scholar] [CrossRef]
- Rego, G. Long-period fiber gratings mechanically induced by winding a string around a fiber/grooved tube set. Microw. Opt. Technol. Lett. 2008, 50, 2064–2068. [Google Scholar] [CrossRef]
- Abrishamian, F.; Dragomir, N.; Morishita, K. Refractive index profile changes caused by arc discharge in long-period fiber gratings fabricated by a point-by-point method. Appl. Opt. 2012, 51, 8271–8276. [Google Scholar] [CrossRef] [PubMed]
- Wang, P.; Jenkins, M.H.; Gaylord, T.K. Arc-discharge effects on residual stress and refractive index in single-mode optical fibers. Appl. Opt. 2016, 55, 2451–2456. [Google Scholar] [CrossRef]
- Fleming, J.W. Dispersion in GeO2-SiO2 Glasses. Appl. Opt. 1984, 23, 4486–4493. [Google Scholar] [CrossRef]
- Fleming, J.W. Material and Mode Dispersion in GeO2·B2O3·SiC2 Glasses. J. Am. Ceram. Soc. 1976, 59, 503–507. [Google Scholar] [CrossRef]
- Leviton, D.B.; Frey, B.J. Temperature-dependent absolute refractive index measurements of synthetic fused silica. In Proceedings of the Optomechanical Technologies for Astronomy, Orlando, FL, USA, 24–31 May 2006; SPIE—The International Society for Optical Engineering: Bellingham, WA, USA, 2006. [Google Scholar]
- Malitson, I.H. Interspecimen Comparison of the Refractive Index of Fused Silica. J. Opt. Soc. Am. 1965, 55, 1205–1209. [Google Scholar] [CrossRef]
- Fleming, J.W. Material dispersion in lightguide glasses. Electron. Lett. 1978, 14, 326–328. [Google Scholar] [CrossRef]
- Brückner, R. Properties and structure of vitreous silica. I. J. Non-Cryst. Solids 1970, 5, 123–175. [Google Scholar] [CrossRef]
- Yang, N.; Qiu, Q.; Su, J.; Shi, S.J. Research on the temperature characteristics of optical fiber refractive index. Optik 2014, 125, 5813–5815. [Google Scholar] [CrossRef]
- Richet, N.F. Heat capacity and low-frequency vibrational density of states. Inferences for the boson peak of silica and alkali silicate glasses. Phys. B Condens. Matter 2009, 404, 3799–3806. [Google Scholar] [CrossRef]
- Roths, J.; Andrejevic, G.; Kuttler, R.; Süßer, M. Calibration of Fiber Bragg Cryogenic Temperature Sensors. In Optical Fiber Sensors; Cancun: Optica Publishing Group: Washington, DC, USA, 2006. [Google Scholar]
- Soares De Lima Filho, E.; Baiad, M.D.; Gagné, M.; Kashyap, R. Fiber Bragg gratings for low-temperature measurement. Opt. Express 2014, 22, 27681–27694. [Google Scholar] [CrossRef] [PubMed]
- Okaji, M.; Yamada, N.; Nara, K.; Kato, H. Laser interferometric dilatometer at low temperatures: Application to fused silica SRM 739. Cryogenics 1995, 35, 887–891. [Google Scholar] [CrossRef]
- Kim, D.-L.; Tomozawa, M.; Dubois, S.; Orcel, G. Fictive Temperature Measurement of Single-Mode Optical-Fiber Core and Cladding. J. Lightwave Technol. 2001, 19, 1155. [Google Scholar]
- Dragic, P.D.; Cavillon, M.; Ballato, A.; Ballato, J. A unified materials approach to mitigating optical nonlinearities in optical fiber. II. B. The optical fiber, material additivity and the nonlinear coefficients. Int. J. Appl. Glass Sci. 2018, 9, 307–318. [Google Scholar] [CrossRef]
- Dragic, P.D.; Cavillon, M.; Ballato, A.; Ballato, J. A unified materials approach to mitigating optical nonlinearities in optical fiber. II. A. Material additivity models and basic glass properties. Int. J. Appl. Glass Sci. 2018, 9, 278–287. [Google Scholar] [CrossRef]
- Ballato, J. Rethinking Optical Fiber: New Demands, Old Glasses. In Proceedings of the Workshop on Specialty Optical Fibers and their Applications, Sigtuna, Sweden, 28 August 2013; p. W1.1. [Google Scholar]
- Dianov, E.M.; Mashinsky, V.M. Germania-based core optical fibers. J. Lightwave Technol. 2005, 23, 3500–3508. [Google Scholar] [CrossRef]
- Cavillon, M.; Dragic, P.D.; Ballato, J. Additivity of the coefficient of thermal expansion in silicate optical fibers. Opt. Lett. 2017, 42, 3650–3653. [Google Scholar] [CrossRef]
- Urrutia, A.; Del Villar, I.; Zubiate, P.; Zamarreño, C.R. A Comprehensive Review of Optical Fiber Refractometers: Toward a Standard Comparative Criterion. Laser Photonics Rev. 2019, 13, 1900094. [Google Scholar] [CrossRef]
- Chiavaioli, F.; Gouveia, C.A.J.; Jorge, P.A.S.; Baldini, F. Towards a uniform metrological assessment of grating-based optical fiber sensors: From refractometers to biosensors. Biosensors 2017, 7, 23. [Google Scholar] [CrossRef] [PubMed]
- Erdogan, T. Fiber grating spectra. J. Lightwave Technol. 1997, 15, 1277–1294. [Google Scholar] [CrossRef]
















| LPFGs 2015 | Λ/μm | I/mA | N | Δt/s | w/g |
|---|---|---|---|---|---|
| SMF-28 | 400–600 | 9 | 44 | 1 | 5 |
| B/Ge #1 | 540 | 9 | 26 | 0.5 | 23 |
| LPFGs 2016 | Λ/μm | I/mA | N | Δt/ms | w/g |
|---|---|---|---|---|---|
| SMF-28 | 192–400 | 11–18 | 40–400 | 120–650 | 2 |
| B/Ge #1 | 148–192 | 13.8 | 140–170 | 307–320 | 2 |
| B/Ge #2 | 182–200 | 12.7 | 120–122 | 660–680 | 2 |
| j | 1 | 2 | 3 |
|---|---|---|---|
| 0.696750 | 0.408218 | 0.890815 | |
| 0.8068664 | 0.7181585 | 0.8541683 | |
| 0.690618 | 0.401996 | 0.898817 | |
| 0.6506447 | 0.3614360 | 0.9509804 | |
| , μm | 0.069066 | 0.115662 | 9.900559 |
| , μm | 0.06897261 | 0.1539661 | 11.841931 |
| , μm | 0.061900 | 0.123662 | 9.098960 |
| , μm | 0.0151863 | 0.1758124 | 3.8734989 |
| Temp. Range Fiber Gratings | ST (pm/K) | |||
|---|---|---|---|---|
| 20 K | 100–200 K | 200–300 K | Ref | |
| FBG | ~0 | 2.6 | 2.6 | [16] |
| ORMOCER-coated FBG | 1 | 5 | 5 | [16] |
| Metallic-coated FBG | 15 | 50 | 50 | [18] |
| LPFG B/Ge | - | −398 | −398 | [22] |
| LPFG B/Ge | ~0 | −200 | −200 | [23] |
| LPFG B/Ge #1 | −170 | −850 | −390 | (this study) |
| PS-LPFG SMF-28 | ~0 | 30 | 30 | [25] |
| PS-LPFG B/Ge #1 | −80 | −430 | −70 | [25] |
Publisher’s Note: MDPI stays neutral with regard to jurisdictional claims in published maps and institutional affiliations. |
© 2022 by the authors. Licensee MDPI, Basel, Switzerland. This article is an open access article distributed under the terms and conditions of the Creative Commons Attribution (CC BY) license (https://creativecommons.org/licenses/by/4.0/).
Share and Cite
Ivanov, O.V.; Caldas, P.; Rego, G. High Sensitivity Cryogenic Temperature Sensors Based on Arc-Induced Long-Period Fiber Gratings. Sensors 2022, 22, 7119. https://doi.org/10.3390/s22197119
Ivanov OV, Caldas P, Rego G. High Sensitivity Cryogenic Temperature Sensors Based on Arc-Induced Long-Period Fiber Gratings. Sensors. 2022; 22(19):7119. https://doi.org/10.3390/s22197119
Chicago/Turabian StyleIvanov, Oleg V., Paulo Caldas, and Gaspar Rego. 2022. "High Sensitivity Cryogenic Temperature Sensors Based on Arc-Induced Long-Period Fiber Gratings" Sensors 22, no. 19: 7119. https://doi.org/10.3390/s22197119
APA StyleIvanov, O. V., Caldas, P., & Rego, G. (2022). High Sensitivity Cryogenic Temperature Sensors Based on Arc-Induced Long-Period Fiber Gratings. Sensors, 22(19), 7119. https://doi.org/10.3390/s22197119

