A Dual-Wavelength Fiber Laser Sensor with Temperature and Strain Discrimination
Abstract
:1. Introduction
2. Materials and Methods
2.1. Inscription Process
2.2. Reflector Characterization
2.3. Experimental Setup
3. Results
3.1. Laser Performance
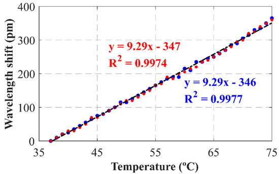
3.2. Sensor Performance
4. Conclusions
Author Contributions
Funding
Institutional Review Board Statement
Informed Consent Statement
Data Availability Statement
Conflicts of Interest
References
- Perez-Herrera, R.A.; Lopez-Amo, M. Multi-Wavelength Fiber Lasers. In Current Developments in Optical Fiber Technology, 1st ed.; Harun, S.W., Arof, H., Eds.; IntechOpen: London, UK, 2013. [Google Scholar] [CrossRef]
- Bing, F.; Xuefang, Z.; Zengyang, L.; Yu, Z.; Tianshu, W. Experimental Research on an L-Band Multi-Wavelength Erbium-Doped Fiber Laser based on a Cascaded Sagnac Loop and M–Z Filters. Laser Phys. 2019, 29, 065102. [Google Scholar] [CrossRef]
- Zhang, X.; Li, T.; Yang, J. Stabilize and Flatten Multi-Wavelength Erbium-Doped Fiber Laser through Accurate Hybrid Dual-Ring-Configuration Control. Appl. Sci. 2017, 7, 1290. [Google Scholar] [CrossRef]
- Bellemare, A. Continuous-Wave Silica-based Erbium-Doped Fibre Lasers. Prog. Quantum Electron. 2003, 27, 211–266. [Google Scholar] [CrossRef]
- Multiwavelength Lasers Simplify WDM Networks and Applications. Available online: https://www.photonics.com/Articles/Multiwavelength_Lasers_Simplify_WDM_Networks_and/a15319 (accessed on 8 August 2022).
- Shao, Z.; Qiao, X.; Rong, Q.; Su, D. Generation of Dual-Wavelength Square Pulse in a Figure-Eight Erbium-Doped Fiber Laser with Ultra-Large Net-Anomalous Dispersion. Appl. Opt. 2015, 54, 6711–6716. [Google Scholar] [CrossRef]
- Al-Azzawi, A.A.; Almukhtar, A.A.; Reddy, P.H.; Dutta, D.; Das, S.; Dhar, A.; Paul, M.C.; Ahmad, H.; Harun, S.W. Wide-Band Flat-Gain Optical Amplifier using Hafnia and Zirconia Erbium Co-Doped Fibres in Double-Pass Parallel Configuration. J. Mod. Opt. 2019, 66, 1711–1716. [Google Scholar] [CrossRef]
- Shah, A.; Mankodi, P. Analysis and Simulation on Gain Flattening Filter of an Erbium Doped Fiber Amplifier for Multi-Channel WDM System. In Proceedings of the 2017 International Conference on Wireless Communications, Signal Processing and Networking (WiSPNET), Chennai, India, 22–24 March 2017; pp. 458–462. [Google Scholar] [CrossRef]
- Pinto, A.M.R.; Frazão, O.; Santos, J.L.; Lopez-Amo, M. Multiwavelength Fiber Laser based on a Photonic Crystal Fiber Loop Mirror with Cooperative Rayleigh Scattering. Appl. Phys. B 2010, 99, 391–395. [Google Scholar] [CrossRef]
- Turitsynet, S.K.; Babin, S.A.; Churkin, D.V.; Vatnik, I.D.; Nikulin, M.; Podivilov, E.V. Random Distributed Feedback Fibre Lasers. Phys. Rep. 2014, 542, 133–193. [Google Scholar] [CrossRef]
- Chen, H.; Gao, S.; Zhang, M.; Zhang, J.; Qiao, L.; Wang, T.; Gao, F.; Hu, X.; Li, S.; Zhu, Y. Advances in Random Fiber Lasers and Their Sensing Application. Sensors 2020, 20, 6122. [Google Scholar] [CrossRef]
- Chen, P.C.; Shu, X.W.; Cao, H.Y.; Sugden, K. Ultra-Sensitive Refractive Index Sensor based on Extremely Simple Femtosecond-Laser-Induced Structure. Opt. Lett. 2017, 42, 1157–1160. [Google Scholar] [CrossRef]
- Deng, J.; Wang, D.N. Ultra-Sensitive Strain Sensor based on Femtosecond Laser Inscribed in-Fiber Reflection Mirrors and Vernier Effect. J. Light. Technol. 2019, 37, 4935–4939. [Google Scholar] [CrossRef]
- Yakushina, S.S.; Wolf, A.A.; Dostovalov, A.V.; Skvortsov, M.I.; Wabnitz, S.; Babin, S.A. A Study of Bending Effect on the Femtosecond-Pulse Inscribed Fiber Bragg Gratings in a Dual-Core Fiber. Opt. Fiber Technol. 2018, 43, 101–105. [Google Scholar] [CrossRef]
- Leal-Junior, A.G.; Theodosiou, A.; Díaz, C.R.; Marques, C.; Pontes, M.J.; Kalli, K.; Frizera, A. Simultaneous Measurement of Axial Strain, Bending and Torsion with a Single Fiber Bragg Grating in CYTOP Fiber. J. Light. Technol. 2019, 37, 971–980. [Google Scholar] [CrossRef]
- Lv, B.; Zhang, W.; Huang, W.; Li, F. Switchable and Compact Dual-Wavelength Random Fiber Laser based on Random Bragg Grating Array. Opt. Fiber Technol. 2022, 70, 102858. [Google Scholar] [CrossRef]
- Quintela, M.A.; Perez-Herrera, R.A.; Canales, I.; Fernandez-Vallejo, M.; Lopez-Amo, M.; Lopez-Higuera, J.M. Stabilization of Dual-Wavelength Erbium-Doped Fiber Ring Lasers by Single-Mode Operation. IEEE Photon. Technol. Lett. 2010, 22, 368–370. [Google Scholar] [CrossRef]
- Perez-Herrera, R.A.; Bravo, M.; Roldan-Varona, P.; Leandro, D.; Rodriguez-Cobo, L.; Lopez-Higuera, J.M.; Lopez-Amo, M. Microdrilled Tapers to Enhance Optical Fiber Lasers for Sensing. Sci. Rep. 2021, 11, 20408. [Google Scholar] [CrossRef]
- Zhou, K.; Shen, F.; Yin, G.; Zhang, L. Optical Fiber Micro-Devices made with Femtosecond Laser. In Advanced Photonics 2016 (IPR, NOMA, Sensors, Networks, SPPCom, SOF); OSA Technical Digest: Online, 2016; p. SeW3D.1. [Google Scholar] [CrossRef]
- Gattass, R.; Mazur, E. Femtosecond Laser Micromachining in Transparent Materials. Nat. Photon. 2008, 2, 219–225. [Google Scholar] [CrossRef]
- Mariñelarena, J.; Mompó, J.J.; Zurita, J.; Urricelqui, J.; Judez, A.; López Amo, M.; Jiménez, S.; Achaerandio, A.; Loayssa, A. Structural Health Monitoring of Solar Trackers using Distributed Fiber Optic Sensors. In Proceedings of the SPIE 10970, Sensors and Smart Structures Technologies for Civil, Mechanical, and Aerospace Systems, Denver, CO, USA, 4–7 March 2019; p. 109701V. [Google Scholar] [CrossRef] [Green Version]
- Dragic, P.D. Analytical Model for Injection-Seeded Erbium-Doped Fiber Ring Lasers. IEEE Photon. Technol. Lett. 2005, 17, 1629–1631. [Google Scholar] [CrossRef]
- Sanchez-Gonzalez, A.; Perez-Herrera, R.A.; Roldan-Varona, P.; Rodriguez-Cobo, L.; Lopez-Higuera, J.M.; Lopez-Amo, M. High Performance Fiber Laser Resonator for Dual Band (C and L) Sensing. J. Light. Technol. 2022, 40, 5273–5279. [Google Scholar] [CrossRef]
- Perez-Herrera, R.A.; Roldán-Varona, P.; Rodriguez-Cobo, L.; López-Higuera, J.M.; Lopez-Amo, M. Single Longitudinal Mode Lasers by Using Artificially Controlled Backscattering Erbium Doped Fibers. IEEE Access 2021, 9, 27428–27433. [Google Scholar] [CrossRef]
- Campanella, C.E.; Cuccovillo, A.; Campanella, C.; Yurt, A.; Passaro, V.M.N. Fibre Bragg Grating Based Strain Sensors: Review of Technology and Applications. Sensors 2018, 18, 3115. [Google Scholar] [CrossRef]
- Sachs, L. Applied Statistics: A Handbook of Techniques, 1st ed.; Springer: New York, NY, USA, 1982; pp. 440–442. [Google Scholar]
- Cui, J.; Hu, Y.; Feng, K.; Li, J.; Tan, J. FBG Interrogation Method with High Resolution and Response Speed Based on a Reflective-Matched FBG Scheme. Sensors 2015, 15, 16516–16535. [Google Scholar] [CrossRef] [PubMed] [Green Version]










Publisher’s Note: MDPI stays neutral with regard to jurisdictional claims in published maps and institutional affiliations. |
© 2022 by the authors. Licensee MDPI, Basel, Switzerland. This article is an open access article distributed under the terms and conditions of the Creative Commons Attribution (CC BY) license (https://creativecommons.org/licenses/by/4.0/).
Share and Cite
Sanchez-Gonzalez, A.; Perez-Herrera, R.A.; Roldan-Varona, P.; Duran-Escudero, M.; Rodriguez-Cobo, L.; Lopez-Higuera, J.M.; Lopez-Amo, M. A Dual-Wavelength Fiber Laser Sensor with Temperature and Strain Discrimination. Sensors 2022, 22, 6888. https://doi.org/10.3390/s22186888
Sanchez-Gonzalez A, Perez-Herrera RA, Roldan-Varona P, Duran-Escudero M, Rodriguez-Cobo L, Lopez-Higuera JM, Lopez-Amo M. A Dual-Wavelength Fiber Laser Sensor with Temperature and Strain Discrimination. Sensors. 2022; 22(18):6888. https://doi.org/10.3390/s22186888
Chicago/Turabian StyleSanchez-Gonzalez, Arturo, Rosa Ana Perez-Herrera, Pablo Roldan-Varona, Miguel Duran-Escudero, Luis Rodriguez-Cobo, Jose Miguel Lopez-Higuera, and Manuel Lopez-Amo. 2022. "A Dual-Wavelength Fiber Laser Sensor with Temperature and Strain Discrimination" Sensors 22, no. 18: 6888. https://doi.org/10.3390/s22186888
APA StyleSanchez-Gonzalez, A., Perez-Herrera, R. A., Roldan-Varona, P., Duran-Escudero, M., Rodriguez-Cobo, L., Lopez-Higuera, J. M., & Lopez-Amo, M. (2022). A Dual-Wavelength Fiber Laser Sensor with Temperature and Strain Discrimination. Sensors, 22(18), 6888. https://doi.org/10.3390/s22186888

