A Monitoring Framework with Integrated Sensing Technologies for Enhanced Food Safety and Traceability
Abstract
:1. Introduction
2. Proposed Monitoring Framework for Food Traceability
- LoRa-GPS HAT for Raspberry Pi (Dragino Technology Co., LTD.): expansion board for Raspberry equipped with the long-range LoRa modem;
- Raspberry Pi 3 Model B+ (Raspberry Pi Foundation) embedded computer.
| Component | Description | Parameter | Output |
|---|---|---|---|
| Dragino LoRa | LoRa shield for Raspberry Pi as communication link between the SN and the GW | - | - |
| Arduino Mega2560 | Microcontroller board based on the ATmega2560. In the SN it was powered by a solar panel and was programmed using Arduino Software (IDE). | - | - |
| Grove—Mega Shield | Extension board for Arduino Mega 2560 | - | - |
| BarometerQualitySensor_Grove BME280 | Precise and fast sensor able to detect humidity, atmospheric pressure and temperature. | Humidity, Atmospheric Pressure, Temperature, Altitude | Digital |
| GasQualitySensor_Grove SGP30 | Gas and humidity sensor. | eCO (equivalent calculated carbon-dioxide), TVOC (Total Volatile Organic Compound) | Digital |
| Glyphosate proprietary detector | The device is able to estimate the glyphosate concentration in the air. | Glyphosate presence | Digital |
| SoilMoistureSensor_Tinovi PM-WCS-3-I2C | Sensor able to detect dielectric permittivity, soil temperature, degree of water saturation in the soil and electrical conductivity | Dielectric permittivity, Temperature, Degree of water saturation, Electrical conductivity | Digital |
| WaterQualitySensor_D&F Aquaponics DF/1100711 | Sensor able to detect the Phof the water. | pH | Analog |
| GPS Sensor | Sensor able to detect the geographical coordinates | Coordinates | Digital |
- The complete automation of injection (and exhaustion) of solutions and pumping of external air in the electrochemical cell;
- The adoption of a small, low-power and low-cost potentiostat for the cyclic voltammetry measurements instead of big, power hungry and expensive potentiostats normally used for laboratory practice.
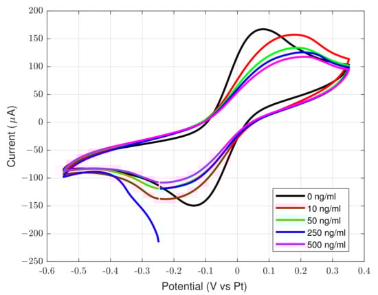
- The electrochemical cell: it consists of an electrochemical sensor fabricated on alumina substrate with thin film microfabricated electrodes located in a glass cell for automatic measurements cycles. The molecularly imprinted polymers (MIP) technology has been chosen thanks to the high selectivity, sensitivity, and ruggedness performances of the sensing materials [27]. The measurement is performed in phosfate buffer with the addition of a mixture of 5 M potassium ferro/ferricyanide as redox probe, after an incubation period of 10 min in the analytical solution. As the glyphosate is present in the analytical solution, its molecules bind to the cavity of the MIP electrode, thus inducing a reduction of the electrochemical active area of the working electrode. The subsequent measurement with the addition of a redox probe allows to evaluate the active area of the working electrode and, thus, the concentration of glyphosate is determined through indirect measurement. A TC6 electrochemical cell (BVT Technologies, a.s.) has been used for the automated system;
- The ElectroSense mainboard: the custom-made electronic potentiostat which includes the analog front-end (AFE) for the potentiostatic read-out of the sensor, the digital control unit, i.e., the microcontroller, and the drivers for the diaphragm pumps;
- The fluidic circuit: it implements, through the pumps A,B,C,D and E depicted in Figure 3, the solutions handling for the proper analysis of sampled air in the sensor cell. The fluidic circuit comprises small tanks for the proper operation of the sensor. The adopted solutions are: (1) a pH 4 solution for glyphosate rebinding (analytical solution), (2) phosphate buffer saline (PBS) with the addition of the redox probe, and (3) NaOH solution necessary for the regeneration of the sensor.
- 10 voltammetry cycles performed with PBS and redox probe;
- Incubation of the sensor (10 min) in the external sampling solution (pH4 buffer solution);
- 10 voltammetry cycles in PBS + redox probe.
3. Experimental Results
4. Discussion
- A group (consumer-oriented): environmental temperature, TVOC, CO2eq, glyphosate;
- B group (producer-oriented): volumetric water content (VWC), electrical conductivity (EC), pressure, pH.
5. Conclusions
Author Contributions
Funding
Institutional Review Board Statement
Informed Consent Statement
Data Availability Statement
Acknowledgments
Conflicts of Interest
Abbreviations
| MIP | Molecularly Imprinted Polymer |
| VOC | Volatile Organic Compound |
| TVOC | Total Volatile Organic Compound |
| EVOO | Extra Virgin Olive Oil |
| SN | Sensor Node |
| GW | Gateway |
| WS | Web Server |
| AFE | Analog Front-End |
| VWC | Volumetric Water Content |
References
- Parashar, S.; Sood, G.; Agrawal, N. Modelling the enablers of food supply chain for reduction in carbon footprint. J. Clean. Prod. 2020, 275, 122932. [Google Scholar] [CrossRef]
- Kudsk, P.; Mathiassen, S.K. Pesticide regulation in the European Union and the glyphosate controversy. Weed Sci. 2020, 68, 214–222. [Google Scholar] [CrossRef]
- Kodan, R.; Parmar, P.; Pathania, S. Internet of Things for Food Sector: Status Quo and Projected Potential. Food Rev. Int. 2019, 36, 584–600. [Google Scholar] [CrossRef]
- Zambrano-Intriago, L.A.; Amorim, C.G.; Rodríguez-Díaz, J.M.; Araújo, A.N.; Montenegro, M.C. Challenges in the design of electrochemical sensor for glyphosate-based on new materials and biological recognition. Sci. Total. Environ. 2021, 793, 148496. [Google Scholar] [CrossRef]
- Nematollahi, M.; Tajbakhsh, A. Past, present, and prospective themes of sustainable agricultural supply chains: A content analysis. J. Clean. Prod. 2020, 271, 122201. [Google Scholar] [CrossRef]
- Casino, F.; Kanakaris, V.; Dasaklis, T.K.; Moschuris, S.; Stachtiaris, S.; Pagoni, M.; Rachaniotis, N.P. Blockchain-based food supply chain traceability: A case study in the dairy sector. Int. J. Prod. Res. 2020, 1–13. [Google Scholar] [CrossRef]
- Björk, A.; Erlandsson, M.; Häkli, J.; Jaakkola, K.; Nilsson, Å.; Nummila, K.; Puntanen, V.; Sirkka, A. Monitoring environmental performance of the forestry supply chain using RFID. Comput. Ind. 2011, 62, 830–841. [Google Scholar] [CrossRef]
- Bai, H.; Zhou, G.; Hu, Y.; Sun, A.; Xu, X.; Liu, X.; Lu, C. Traceability technologies for farm animals and their products in China. Food Control 2017, 79, 35–43. [Google Scholar] [CrossRef]
- Opara, U. Traceability in agriculture and food supply chain: A review of basic concepts, technological implications, and future prospects. Food Agric. Environ. 2003, 1. [Google Scholar]
- Jun, H.B.; Shin, J.H.; Kiritsis, D.; Xirouchakis, P. System architecture for closed-loop PLM. Int. J. Comput. Integr. Manuf. 2007, 20, 684–698. [Google Scholar] [CrossRef]
- Kalpana, S.; Priyadarshini, S.; Leena, M.M.; Moses, J.; Anandharamakrishnan, C. Intelligent packaging: Trends and applications in food systems. Trends Food Sci. Technol. 2019, 93, 145–157. [Google Scholar] [CrossRef]
- Kumari, L.; Narsaiah, K.; Grewal, M.; Anurag, R. Application of RFID in agri-food sector. Trends Food Sci. Technol. 2015, 43, 144–161. [Google Scholar] [CrossRef]
- Balafoutis, A.T.; Beck, B.; Fountas, S.; Tsiropoulos, Z.; Vangeyte, J.; van der Wal, T.; Soto-Embodas, I.; Gómez-Barbero, M.; Pedersen, S.M. Smart Farming Technologies–Description, Taxonomy and Economic Impact. In Progress in Precision Agriculture; Springer International Publishing: New York, NY, USA, 2017; pp. 21–77. [Google Scholar] [CrossRef]
- Shi, X.; Zhuge, H. Cyber Physical Socio Ecology. Concurr. Comput. Pract. Exp. 2010, 23, 972–984. [Google Scholar] [CrossRef]
- Tian, F. A supply chain traceability system for food safety based on HACCP, blockchain & Internet of things. In Proceedings of the 2017 International Conference on Service Systems and Service Management, Dalian, China, 16–18 June 2017. [Google Scholar] [CrossRef]
- Ying, F.; Fengquan, L. Application of Internet of Things to the Monitoring System for Food Quality Safety. In Proceedings of the 2013 Fourth International Conference on Digital Manufacturing & Automation, Shinan, China, 29–30 June 2013. [Google Scholar] [CrossRef]
- Alfian, G.; Rhee, J.; Ahn, H.; Lee, J.; Farooq, U.; Ijaz, M.F.; Syaekhoni, M.A. Integration of RFID, wireless sensor networks, and data mining in an e-pedigree food traceability system. J. Food Eng. 2017, 212, 65–75. [Google Scholar] [CrossRef]
- Zhao, G.; Liu, S.; Lopez, C. A Literature Review on Risk Sources and Resilience Factors in Agri-Food Supply Chains. In Collaboration in a Data-Rich World; Camarinha-Matos, L.M., Afsarmanesh, H., Fornasiero, R., Eds.; Springer International Publishing: Cham, Switzerland, 2017; pp. 739–752. [Google Scholar] [CrossRef]
- Iansiti, M.; Lakhani, K. The Truth About Blockchain. Harv. Bus. Rev. 2017, 95, 118–127. [Google Scholar]
- Druart, C.; Delhomme, O.; de Vaufleury, A.; Ntcho, E.; Millet, M. Optimization of extraction procedure and chromatographic separation of glyphosate, glufosinate and aminomethylphosphonic acid in soil. Anal. Bioanal. Chem. 2010, 399, 1725–1732. [Google Scholar] [CrossRef]
- Kudzin, Z.H.; Gralak, D.K.; Drabowicz, J.; Łuczak, J. Novel approach for the simultaneous analysis of glyphosate and its metabolites. J. Chromatogr. A 2002, 947, 129–141. [Google Scholar] [CrossRef]
- Preftakes, C.J.; Schleier, J.J.; Kruger, G.R.; Weaver, D.K.; Peterson, R.K. Effect of insecticide formulation and adjuvant combination on agricultural spray drift. PeerJ 2019, 7, e7136. [Google Scholar] [CrossRef]
- Son, Y. Assessment of concentration in contaminated soil by potentially toxic elements using electrical properties. Environ. Monit. Assess. 2010, 176, 1–11. [Google Scholar] [CrossRef]
- Benlloch-González, M.; Quintero, J.M.; Suárez, M.P.; Sánchez-Lucas, R.; Fernández-Escobar, R.; Benlloch, M. Effect of moderate high temperature on the vegetative growth and potassium allocation in olive plants. J. Plant Physiol. 2016, 207, 22–29. [Google Scholar] [CrossRef]
- Pérez-Priego, O.; Testi, L.; Kowalski, A.S.; Villalobos, F.J.; Orgaz, F. Aboveground respiratory CO2 effluxes from olive trees (Olea europaea L.). Agrofor. Syst. 2014, 88, 245–255. [Google Scholar] [CrossRef]
- Han, Y.; Yang, C.; Zhou, Y.; Han, D.; Yan, H. Ionic Liquid–Hybrid Molecularly Imprinted Material–Filter Solid-Phase Extraction Coupled with HPLC for Determination of 6-Benzyladenine and 4-Chlorophenoxyacetic Acid in Bean Sprouts. J. Agric. Food Chem. 2017, 65, 1750–1757. [Google Scholar] [CrossRef] [PubMed]
- Mustafa, G.; Lieberzeit, P.A. MIP Sensors on the Way to Real-World Applications. In Springer Series on Chemical Sensors and Biosensors; Springer: Berlin/Heidelberg, Germany, 2012; pp. 167–187. [Google Scholar] [CrossRef]
- Zhang, C.; She, Y.; Li, T.; Zhao, F.; Jin, M.; Guo, Y.; Zheng, L.; Wang, S.; Jin, F.; Shao, H.; et al. A highly selective electrochemical sensor based on molecularly imprinted polypyrrole-modified gold electrode for the determination of glyphosate in cucumber and tap water. Anal. Bioanal. Chem. 2017, 409, 7133–7144. [Google Scholar] [CrossRef] [PubMed]
- Gillezeau, C.; van Gerwen, M.; Shaffer, R.M.; Rana, I.; Zhang, L.; Sheppard, L.; Taioli, E. The evidence of human exposure to glyphosate: A review. Environ. Health 2019, 18. [Google Scholar] [CrossRef] [PubMed]
- Pérez-López, D.; Ribas, F.; Moriana, A.; Rapoport, H.F.; Juan, A.D. Influence of temperature on the growth and development of olive (Olea europaea L.) trees. J. Hortic. Sci. Biotechnol. 2008, 83, 171–176. [Google Scholar] [CrossRef]
- Al Qudah, A.; Rusan, M.J.; Al-Qinna, M.I.; Abdulla, F.A. Climate change vulnerability assessment for selected agricultural responses at Yarmouk River Basin Area, Jordan. Mitig. Adapt. Strateg. Glob. Change 2021, 26, 3. [Google Scholar] [CrossRef]
- Mafrica, R.; Piscopo, A.; Bruno, A.D.; Poiana, M. Effects of Climate on Fruit Growth and Development on Olive Oil Quality in Cultivar Carolea. Agriculture 2021, 11, 147. [Google Scholar] [CrossRef]
- Hongfa, C. Air Pollution and Its Effects on Plants in China. J. Appl. Ecol. 1989, 26, 763. [Google Scholar] [CrossRef]
- Griffiths, H. Effects of Air Pollution on Agricultural Crops. 2009. Available online: http://www.omafra.gov.on.ca/english/crops/facts/01-015.htm (accessed on 27 July 2021).
- Bortoli, M.D.; Knöppel, H.; Pecchio, E.; Peil, A.; Rogora, L.; Schauenburg, H.; Schlitt, H.; Vissers, H. Concentrations of selected organic pollutants in indoor and outdoor air in Northern Italy. Environ. Int. 1986, 12, 343–350. [Google Scholar] [CrossRef]
- Molhave, L.; Nielsen, G.D. Interpretation and Limitations of the Concept “Total Volatile Organic Compounds” (TVOC) as an Indicator of Human Responses to Exposures of Volatile Organic Compounds (VOC) in Indoor Air. Indoor Air 1992, 2, 65–77. [Google Scholar] [CrossRef]
- Rüffer, D.; Hoehne, F.; Bühler, J. New Digital Metal-Oxide (MOx) Sensor Platform. Sensors 2018, 18, 1052. [Google Scholar] [CrossRef] [PubMed]
- Verdouw, C.; Sundmaeker, H.; Tekinerdogan, B.; Conzon, D.; Montanaro, T. Architecture framework of IoT-based food and farm systems: A multiple case study. Comput. Electron. Agric. 2019, 165, 104939. [Google Scholar] [CrossRef]
- FOCUS Working Group. Pesticides in Air: Considerations for Exposure Assessment. 2008. Available online: https://esdac.jrc.ec.europa.eu/public_path/projects_data/focus/air/docs/FOCUS_AIR_GROUP_REPORT-FINAL.pdf (accessed on 27 July 2021).










| Treatment | Pesticides | Scheduled Date | Mean TVOC Detected Peak (ppb) |
|---|---|---|---|
| 1 | Boscalid 267,000 g/kg, Pyraclostrobin 67,000 g/kg, Indoxacarb 300,000 g/kg, Ethoxylated fatty alcohol 98,000 g/L | 7 September 2020 | 250 |
| 2 | B. Thur.Aizawai 500,000 g/kg, B. Thur.Kurstaki 500,000 g/kg | 11 September 2020 | 180 |
Publisher’s Note: MDPI stays neutral with regard to jurisdictional claims in published maps and institutional affiliations. |
© 2022 by the authors. Licensee MDPI, Basel, Switzerland. This article is an open access article distributed under the terms and conditions of the Creative Commons Attribution (CC BY) license (https://creativecommons.org/licenses/by/4.0/).
Share and Cite
Radogna, A.V.; Latino, M.E.; Menegoli, M.; Prontera, C.T.; Morgante, G.; Mongelli, D.; Giampetruzzi, L.; Corallo, A.; Bondavalli, A.; Francioso, L. A Monitoring Framework with Integrated Sensing Technologies for Enhanced Food Safety and Traceability. Sensors 2022, 22, 6509. https://doi.org/10.3390/s22176509
Radogna AV, Latino ME, Menegoli M, Prontera CT, Morgante G, Mongelli D, Giampetruzzi L, Corallo A, Bondavalli A, Francioso L. A Monitoring Framework with Integrated Sensing Technologies for Enhanced Food Safety and Traceability. Sensors. 2022; 22(17):6509. https://doi.org/10.3390/s22176509
Chicago/Turabian StyleRadogna, Antonio Vincenzo, Maria Elena Latino, Marta Menegoli, Carmela Tania Prontera, Gabriele Morgante, Diamantea Mongelli, Lucia Giampetruzzi, Angelo Corallo, Andrea Bondavalli, and Luca Francioso. 2022. "A Monitoring Framework with Integrated Sensing Technologies for Enhanced Food Safety and Traceability" Sensors 22, no. 17: 6509. https://doi.org/10.3390/s22176509
APA StyleRadogna, A. V., Latino, M. E., Menegoli, M., Prontera, C. T., Morgante, G., Mongelli, D., Giampetruzzi, L., Corallo, A., Bondavalli, A., & Francioso, L. (2022). A Monitoring Framework with Integrated Sensing Technologies for Enhanced Food Safety and Traceability. Sensors, 22(17), 6509. https://doi.org/10.3390/s22176509

