Research on Measurement of Tooth Profile Parameters of Synchronous Belt Based on Point Cloud Data
Abstract
:1. Introduction
1.1. Measurement of Synchronous Belt
1.2. Three-Dimensional Measurement
1.3. Motivation
- We propose an effective method to detect the tooth profile parameters of synchronous belts from 3D point clouds and establish a point cloud acquisition system on the surface of synchronous belts;
- We design a point cloud segmentation algorithm based on the angle of the normal vector, which accurately obtains the measurement area of the tooth surface arc and establishes a fitting model;
- The 3D point cloud measurement system has better stability, and the measurement error is less than 0.03 mm.
2. Methods
2.1. Methodology of Synchronous Belt Geometry Measurement
2.1.1. Point Cloud Model
2.1.2. Point Cloud Pre-Processing
2.1.3. Point Cloud Voxel Down-Sampling
2.1.4. Point Cloud Plane Fitting
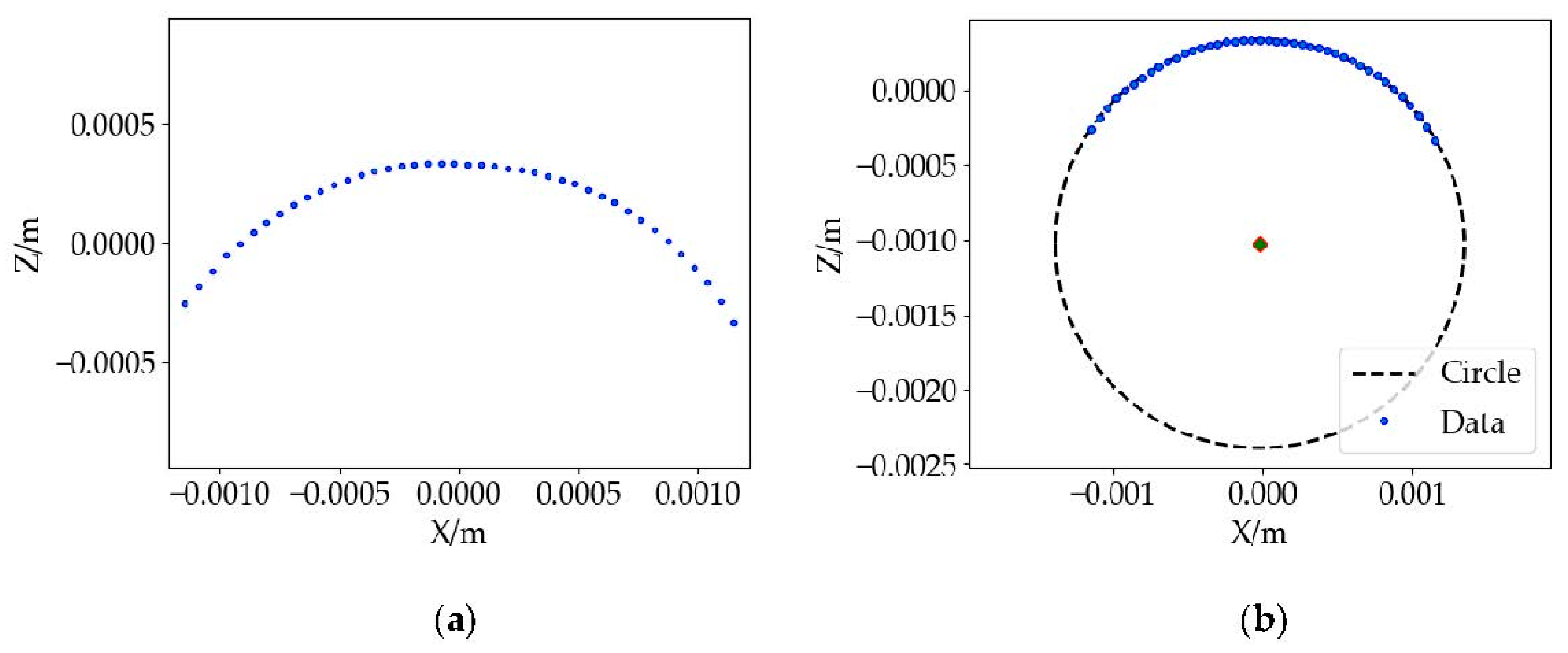
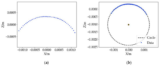
2.1.5. Point Cloud Curve Fitting
3. Results
3.1. Test Environment
3.2. Measurement Data
4. Discussion
5. Conclusions
Author Contributions
Funding
Institutional Review Board Statement
Informed Consent Statement
Data Availability Statement
Conflicts of Interest
References
- Bortnowski, P.; Kawalec, W.; Król, R.; Ozdoba, M. Types and causes of damage to the conveyor belt-review, classification and mutual relations. Eng. Ail. Anal. 2022, 140, 106520. [Google Scholar] [CrossRef]
- Shi, Y.; Li, Z.; Zhao, T.; Yu, X.; Yin, C.; Bai, Y. Fault Diagnosis of Synchronous Belt of Machine Tool Based on Improved Back Propagation Neural Network. J. Nanoelectron. Optoelectron. 2021, 16, 1972–1979. [Google Scholar] [CrossRef]
- Fedorko, G.; Molnar, V.; Grincova, A.; Dovica, M.; Toth, T.; Husakova, N.; Taraba, V.; Kelemen, M. Failure analysis of irreversible changes in the construction of rubber–textile conveyor belt damaged by sharp-edge material impact. Eng. Ail. Anal. 2014, 39, 135–148. [Google Scholar] [CrossRef]
- Chamorro, J.; Vallejo, L.; Maynard, C.; Guevara, S.; Solorio, J.A.; Soto, N.; Newell, B. Health monitoring of a conveyor belt system using machine vision and real-time sensor data. CIRP J. Manuf. Sci. Technol. 2022, 38, 38–50. [Google Scholar] [CrossRef]
- Chen, G.; Zheng, H.; Qatu, M. Decomposition of noise sources of synchronous belt drives. J. Sound. Vib. 2013, 332, 2239–2252. [Google Scholar] [CrossRef]
- Kagotani, M.; Ueda, H. Influence of installation tension on transmission error due to resonance in a synchronous belt. J. Mech. Design. 2015, 137, 083301. [Google Scholar] [CrossRef]
- Shi, Y.; Chen, G.; Li, Z.; Li, Q.; Tang, W. Simulation Analysis Method of Synchronous Belt Transmission Noise Prediction. J. Nanoelectron. Optoelectron. 2020, 15, 1004–1011. [Google Scholar] [CrossRef]
- Perdan, B.; Bračun, D.; Diaci, J. Automated detection of surface defects on power transmission belts. Int. J. Adv. Manuf. Tech. 2011, 53, 267–273. [Google Scholar] [CrossRef]
- Kim, S.H.; Hwang, Y. A survey on deep learning based methods and datasets for monocular 3D object detection. Electronics 2021, 10, 517. [Google Scholar] [CrossRef]
- Yuan, Q.; Luo, Y.; Wang, H. 3D point cloud recognition of substation equipment based on plane detection. Results Eng. 2022, 15, 100545. [Google Scholar] [CrossRef]
- Mitsuyuki, T.; Hiekata, K.; Kasahara, T. Development of manufacturing support system for ship curved shell plate using laser scanner. Results Eng. 2020, 7, 100157. [Google Scholar] [CrossRef]
- Gao, H.; Aoyama, T.; Takaki, T.; Ishii, I. A Self-projected Structured Light System for Fast Three-dimensional Shape Inspection. Int. J. Robot. Autom. 2015, 30, 458–470. [Google Scholar] [CrossRef]
- Li, Y.; Qiu, Y.; Chen, Y.; Guan, K. A novel orientation and position measuring system for large & medium scale precision assembly. Opt. Laser. Eng. 2014, 62, 31–37. [Google Scholar] [CrossRef]
- See, J. Visual inspection reliability for precision manufactured parts. Hum. Factors 2015, 57, 1427–1442. [Google Scholar] [CrossRef] [PubMed] [Green Version]
- Li, C.; Gao, F.; Han, X.; Zhang, B. A New Density-Based Clustering Method Considering Spatial Distribution of Lidar Point Cloud for Object Detection of Autonomous Driving. Electronics 2021, 10, 2005. [Google Scholar] [CrossRef]
- Biglia, A.; Zaman, S.; Gay, P.; Aimonino, D.R.; Comba, L. 3D point cloud density-based segmentation for vine rows detection and localisation. Comput. Electron. Agric. 2022, 199, 107166. [Google Scholar] [CrossRef]
- Sun, Y.; Luo, Y.; Chai, X.; Zhang, P.; Zhang, Q.; Xu, L.; Wei, L. Double-threshold segmentation of panicle and clustering adaptive density estimation for mature rice plants based on 3D point cloud. Electronics 2021, 10, 872. [Google Scholar] [CrossRef]
- Chen, X.; Ravikumar, N.; Xia, Y.; Attar, R.; Diaz-Pinto, A.; Piechnik, S.K.; Frangi, A.F. Shape registration with learned deformations for 3D shape reconstruction from sparse and incomplete point clouds. Med. Image. Anal. 2021, 74, 102228. [Google Scholar] [CrossRef]
- Yang, Y.; Li, M.; Ma, X. An Advanced Vehicle Body Part Inspection Scheme Based on Scattered Point Cloud Data. Appl. Sci. 2020, 10, 5379. [Google Scholar] [CrossRef]
- Zhou, Y.; Wang, S.; Mei, X.; Yin, W.; Lin, C.; Hu, Q.; Mao, Q. Railway tunnel clearance inspection method based on 3D point cloud from mobile laser scanning. Sensors 2017, 17, 2055. [Google Scholar] [CrossRef]
- Guo, X.; Shi, Z.; Yu, B.; Zhao, B.; Li, K.; Sun, Y. 3D measurement of gears based on a line structured light sensor. Precis. Eng. 2020, 61, 160–169. [Google Scholar] [CrossRef]
- Long, K.; Xie, Q.; Lu, D.; Wu, Q.; Liu, Y.; Wang, J. Aircraft skin gap and flush measurement based on seam region extraction from 3D point cloud. Measurement 2021, 176, 109169. [Google Scholar] [CrossRef]
- Fan, J.; Ma, L.; Sun, A.; Zou, Z. An approach for extracting curve profiles based on scanned point cloud. Measurement 2020, 149, 107023. [Google Scholar] [CrossRef]
- Xu, S.; Cheng, G.; Pang, Y.; Jin, Z.; Kang, B. Identifying and Characterizing Conveyor Belt Longitudinal Rip by 3D Point Cloud Processing. Sensors 2021, 21, 6650. [Google Scholar] [CrossRef]
- Liang, J.; Gu, X. Development and application of a non-destructive pavement testing system based on linear structured light three-dimensional measurement. Constr. Build. Mater. 2020, 260, 119919. [Google Scholar] [CrossRef]
- Zhang, D.; Zou, Q.; Lin, H.; Xu, X.; He, L.; Gui, R.; Li, Q. Automatic pavement defect detection using 3D laser profiling technology. Autom. Constr. 2018, 96, 350–365. [Google Scholar] [CrossRef]
- Ren, Y.; Li, T.; Xu, J.; Hong, W.; Zheng, Y.; Fu, B. Overall Filtering Algorithm for Multiscale Noise Removal from Point Cloud Data. IEEE Access. 2021, 9, 110723–110734. [Google Scholar] [CrossRef]
- Rusu, R.B.; Marton, Z.C.; Blodow, N.; Dolha, M.; Beetz, M. Towards 3D point cloud based object maps for household environments. Robot. Auton. Syst. 2008, 56, 927–941. [Google Scholar] [CrossRef]
- Shuuji, M.; Song, X.; Liao, Z.; Chen, P. Low-speed bearing fault diagnosis based on improved statistical filtering and convolutional neural network. Meas. Sci. Technol. 2021, 32, 115009. [Google Scholar] [CrossRef]
- Wang, S.; Hu, Q.; Xiao, D.; He, L.; Liu, R.; Xiang, B.; Kong, Q. A New Point Cloud Simplification Method with Feature and Integrity Preservation by Partition Strategy. Measurement 2022, 197, 111173. [Google Scholar] [CrossRef]
- Xu, X.; Li, K.; Ma, Y.; Geng, G.; Wang, J.; Zhou, M.; Cao, X. Feature-preserving simplification framework for 3D point cloud. Sci. Rep. 2022, 12, 9450. [Google Scholar] [CrossRef] [PubMed]
- Lv, C.; Lin, W.; Zhao, B. Approximate intrinsic voxel structure for point cloud simplification. IEEE. Trans. Image Process. 2021, 30, 7241–7255. [Google Scholar] [CrossRef]
- Xu, G.; Pang, Y.; Bai, Z.; Wang, Y.; Lu, Z. A fast point clouds registration algorithm for laser scanners. Appl. Sci. 2021, 11, 3426. [Google Scholar] [CrossRef]
- Xu, M.; Lu, J. Distributed RANSAC for the robust estimation of three-dimensional reconstruction. IET Comput. Vis. 2012, 6, 324–333. [Google Scholar] [CrossRef]
- Han, H.; Han, X.; Sun, F.; Huang, C. Point cloud simplification with preserved edge based on normal vector. Optik 2015, 126, 2157–2162. [Google Scholar] [CrossRef]
- Zeybek, M.; Şanlıoğlu, İ. Point cloud filtering on UAV based point cloud. Measurement 2019, 133, 99–111. [Google Scholar] [CrossRef]
- Gao, H.; Xu, G.; Zhang, Z.; Zhou, W.; Wu, Q. A novel probability iterative closest point with normal vector algorithm for robust rail profile registration. Optik 2021, 243, 166936. [Google Scholar] [CrossRef]
- Chen, W.; Li, X.; Ge, H.; Wang, L.; Zhang, Y. Trajectory planning for spray painting robot based on point cloud slicing technique. Electronics 2020, 9, 908. [Google Scholar] [CrossRef]
- Nurunnabi, A.; Sadahiro, Y.; Laefer, D.F. Robust statistical approaches for circle fitting in laser scanning three-dimensional point cloud data. Pattern. Recogn. 2018, 81, 417–431. [Google Scholar] [CrossRef]















| Number | Projection Method | Manual Method | Our Method | ||||||
|---|---|---|---|---|---|---|---|---|---|
| Pb/mm | ht/mm | hs/mm | Pb/mm | ht/mm | hs/mm | Pb/mm | ht/mm | hs/mm | |
| 1 | 4.960 | 2.000 | 4.140 | 5.061 | 2.110 | 4.109 | 5.009 | 2.020 | 4.149 |
| 2 | 5.020 | 2.060 | 4.120 | 5.043 | 2.108 | 4.114 | 5.020 | 1.983 | 4.142 |
| 3 | 4.980 | 1.980 | 4.080 | 5.025 | 2.099 | 4.100 | 4.979 | 1.990 | 4.159 |
| 4 | 4.960 | 2.020 | 4.120 | 5.033 | 2.051 | 4.125 | 5.004 | 1.998 | 4.146 |
| 5 | 5.000 | 2.060 | 4.100 | 5.053 | 2.109 | 4.115 | 5.022 | 1.987 | 4.145 |
| 6 | 4.980 | 2.040 | 4.140 | 5.035 | 2.073 | 4.112 | 5.004 | 2.001 | 4.159 |
| 7 | 5.020 | 2.000 | 4.160 | 5.037 | 2.108 | 4.108 | 5.003 | 1.995 | 4.133 |
| 8 | 5.040 | 2.020 | 4.140 | 5.023 | 2.064 | 4.122 | 4.991 | 1.991 | 4.159 |
| 9 | 4.980 | 2.040 | 4.180 | 5.054 | 2.073 | 4.111 | 5.020 | 2.015 | 4.143 |
| 10 | 4.980 | 2.040 | 4.160 | 5.043 | 2.104 | 4.117 | 4.997 | 2.006 | 4.134 |
| Average | 4.992 | 2.026 | 4.134 | 5.041 | 2.090 | 4.113 | 5.005 | 1.999 | 4.147 |
| Error | 0.049 | 0.064 | 0.021 | 0.013 | 0.027 | 0.013 | |||
Publisher’s Note: MDPI stays neutral with regard to jurisdictional claims in published maps and institutional affiliations. |
© 2022 by the authors. Licensee MDPI, Basel, Switzerland. This article is an open access article distributed under the terms and conditions of the Creative Commons Attribution (CC BY) license (https://creativecommons.org/licenses/by/4.0/).
Share and Cite
Zhang, Z.; Pang, M.; Teng, C. Research on Measurement of Tooth Profile Parameters of Synchronous Belt Based on Point Cloud Data. Sensors 2022, 22, 6372. https://doi.org/10.3390/s22176372
Zhang Z, Pang M, Teng C. Research on Measurement of Tooth Profile Parameters of Synchronous Belt Based on Point Cloud Data. Sensors. 2022; 22(17):6372. https://doi.org/10.3390/s22176372
Chicago/Turabian StyleZhang, Zijian, Mao Pang, and Chuanchao Teng. 2022. "Research on Measurement of Tooth Profile Parameters of Synchronous Belt Based on Point Cloud Data" Sensors 22, no. 17: 6372. https://doi.org/10.3390/s22176372
APA StyleZhang, Z., Pang, M., & Teng, C. (2022). Research on Measurement of Tooth Profile Parameters of Synchronous Belt Based on Point Cloud Data. Sensors, 22(17), 6372. https://doi.org/10.3390/s22176372
