State-of-Charge Estimation for Lithium-Ion Batteries Using Residual Convolutional Neural Networks
Abstract
:1. Introduction
2. Existing Deep-Learning-Based Methods for SOC Estimation
2.1. Deep Neural Network (DNN)
2.2. Gated Recurrent Neural Network
3. Proposed Network Model for SOC Estimation
3.1. CNNs and Residual Blocks
3.2. Architecture of the Proposed Network
4. Battery Datasets
5. Experiments and Discussion
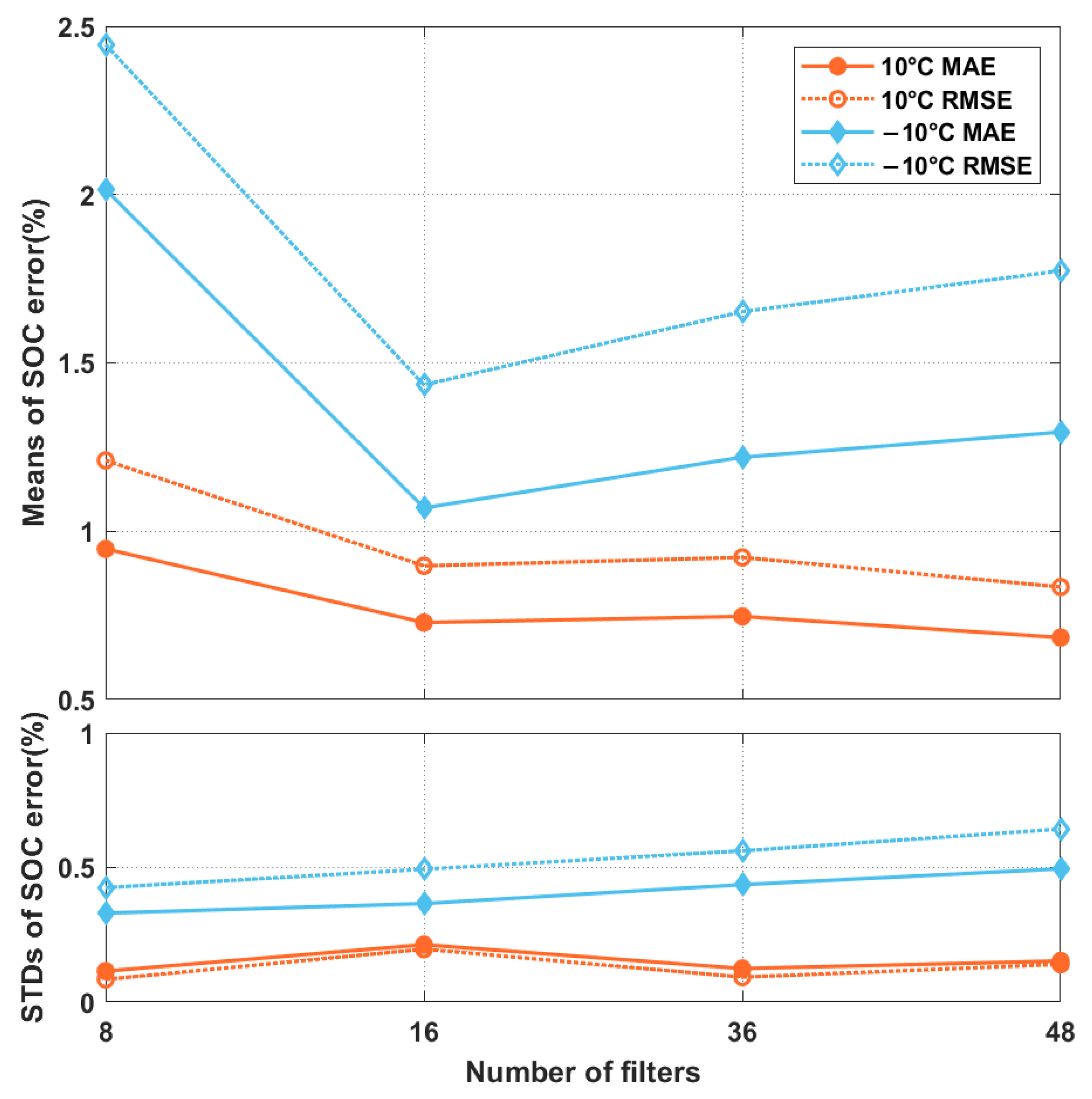
5.1. Experimental Details
5.2. Results and Discussion
6. Conclusions
Author Contributions
Funding
Institutional Review Board Statement
Informed Consent Statement
Data Availability Statement
Acknowledgments
Conflicts of Interest
References
- Manthiram, A. An outlook on lithium ion battery technology. ACS Cent. Sci. 2017, 3, 1063–1069. [Google Scholar] [PubMed] [Green Version]
- Chemali, E.; Preindl, M.; Malysz, P.; Emadi, A. Electrochemical and electrostatic energy storage and management systems for electric drive vehicles: State-of-the-art review and future trends. IEEE J. Emerg. Sel. Top. Power Electron. 2016, 4, 1117–1134. [Google Scholar]
- Meng, J.; Ricco, M.; Luo, G.; Swierczynski, M.; Stroe, D.-I.; Stroe, A.-I.; Teodorescu, R. An overview and comparison of online implementable SOC estimation methods for lithium-ion battery. IEEE Trans. Ind. Appl. 2017, 54, 1583–1591. [Google Scholar]
- Ng, K.S.; Moo, C.-S.; Chen, Y.-P.; Hsieh, Y.-C. Enhanced Coulomb counting method for estimating state-of-charge and state-of-health of lithium-ion batteries. Appl. Energy 2009, 86, 1506–1511. [Google Scholar]
- Stefanopoulou, A.; Kim, Y. System-level management of rechargeable lithium-ion batteries. Recharg. Lithium Batter. 2015, 281–302. [Google Scholar] [CrossRef]
- Roscher, M.A.; Sauer, D.U. Dynamic electric behavior and open-circuit-voltage modeling of LiFePO4-based lithium ion secondary batteries. J. Power Sources 2011, 196, 331–336. [Google Scholar]
- Waag, W.; Fleischer, C.; Sauer, D.U. Critical review of the methods for monitoring of lithium-ion batteries in electric and hybrid vehicles. J. Power Sources 2014, 258, 321–339. [Google Scholar]
- How, D.N.; Hannan, M.; Lipu, M.H.; Ker, P.J. State of charge estimation for lithium-ion batteries using model-based and data-driven methods: A review. IEEE Access 2019, 7, 136116–136136. [Google Scholar]
- Li, J.; Barillas, J.K.; Guenther, C.; Danzer, M.A. A comparative study of state of charge estimation algorithms for LiFePO4 batteries used in electric vehicles. J. Power Sources 2013, 230, 244–250. [Google Scholar]
- Liu, L.; Chen, Z.; Wang, C.; Lin, F.; Wang, H. Integrated system identification and state-of-charge estimation of battery systems. IEEE Trans. Energy Convers. 2012, 28, 12–23. [Google Scholar]
- Shrivastava, P.; Soon, T.K.; Idris, M.Y.I.B.; Mekhilef, S. Overview of model-based online state-of-charge estimation using Kalman filter family for lithium-ion batteries. Renew. Sustain. Energy Rev. 2019, 113, 109233. [Google Scholar]
- He, H.; Qin, H.; Sun, X.; Shui, Y. Comparison study on the battery SoC estimation with EKF and UKF algorithms. Energies 2013, 6, 5088–5100. [Google Scholar]
- Anton, J.C.A.; Nieto, P.J.G.; Viejo, C.B.; Vilán, J.A.V. Support vector machines used to estimate the battery state of charge. IEEE Trans. Power Electron. 2013, 28, 5919–5926. [Google Scholar]
- He, W.; Williard, N.; Chen, C.; Pecht, M. State of charge estimation for Li-ion batteries using neural network modeling and unscented Kalman filter-based error cancellation. Int. J. Electr. Power Energy Syst. 2014, 62, 783–791. [Google Scholar]
- Zuo, H.; Zhang, B.; Huang, Z.; Wei, K.; Zhu, H.; Tan, J. Effect analysis on SOC values of the power lithium manganate battery during discharging process and its intelligent estimation. Energy 2022, 238, 121854. [Google Scholar]
- LeCun, Y.; Bengio, Y.; Hinton, G. Deep learning. Nature 2015, 521, 436–444. [Google Scholar] [PubMed]
- Chemali, E.; Kollmeyer, P.J.; Preindl, M.; Emadi, A. State-of-charge estimation of Li-ion batteries using deep neural networks: A machine learning approach. J. Power Sources 2018, 400, 242–255. [Google Scholar]
- Yang, F.; Li, W.; Li, C.; Miao, Q. State-of-charge estimation of lithium-ion batteries based on gated recurrent neural network. Energy 2019, 175, 66–75. [Google Scholar]
- Li, C.; Xiao, F.; Fan, Y. An approach to state of charge estimation of lithium-ion batteries based on recurrent neural networks with gated recurrent unit. Energies 2019, 12, 1592. [Google Scholar]
- Lin, T.-H.; Wang, T.-C.; Wu, S.-C. Deep learning schemes for event identification and signal reconstruction in nuclear power plants with sensor faults. Ann. Nucl. Energy 2021, 154, 108113. [Google Scholar]
- Song, X.; Yang, F.; Wang, D.; Tsui, K.-L. Combined CNN-LSTM network for state-of-charge estimation of lithium-ion batteries. IEEE Access 2019, 7, 88894–88902. [Google Scholar]
- He, K.; Zhang, X.; Ren, S.; Sun, J. Deep residual learning for image recognition. In Proceedings of the 2016 IEEE Conference on Computer Vision and Pattern Recognition (CVPR), Las Vegas, NV, USA, 27–30 June 2016; pp. 770–778. [Google Scholar]
- Dahl, G.E.; Sainath, T.N.; Hinton, G.E. Improving deep neural networks for LVCSR using rectified linear units and dropout. In Proceedings of the 2013 IEEE ICASSP, Vancouver, BC, Canada, 26–31 May 2013; pp. 8609–8613. [Google Scholar]
- Glorot, X.; Bordes, A.; Bengio, Y. Deep sparse rectifier neural networks. In Proceedings of the Fourteenth International Conference Artificial Intelligence and Statistics, Ft. Lauderdale, FL, USA, 11–13 April 2011; pp. 315–323. [Google Scholar]
- Cho, K.; Van Merriënboer, B.; Gulcehre, C.; Bahdanau, D.; Bougares, F.; Schwenk, H.; Bengio, Y. Learning phrase representations using RNN encoder-decoder for statistical machine translation. arXiv 2014, arXiv:1406.1078. [Google Scholar]
- Knypiński, Ł.; Pawełoszek, K.; Le Menach, Y. Optimization of low-power line-start PM motor using gray wolf metaheuristic algorithm. Energies 2020, 13, 1186. [Google Scholar]
- Yamashita, R.; Nishio, M.; Do, R.K.G.; Togashi, K. Convolutional neural networks: An overview and application in radiology. Insights Imaging 2018, 9, 611–629. [Google Scholar] [PubMed] [Green Version]
- Krizhevsky, A.; Sutskever, I.; Hinton, G.E. Imagenet classification with deep convolutional neural networks. Adv. Neural Inf. Processing Syst. 2012, 25, 1097–1105. [Google Scholar]
- Géron, A. Hands-on Machine Learning with Scikit-Learn, Keras, and TensorFlow: Concepts, Tools, and Techniques to Build Intelligent Systems; O’Reilly Media: Sebastopol, CA, USA, 2019. [Google Scholar]
- Shimobaba, T.; Kakue, T.; Ito, T. Convolutional neural network-based regression for depth prediction in digital holography. arXiv 2018, arXiv:1802.00664. [Google Scholar]
- Liu, T.; Chen, M.; Zhou, M.; Du, S.S.; Zhou, E.; Zhao, T. Towards understanding the importance of shortcut connections in residual networks. arXiv 2019, arXiv:1909.04653. [Google Scholar]
- Orr, G.B.; Müller, K.-R. Neural Networks: Tricks of the Trade; Springer: Berlin/Heidelberg, Germany, 2003. [Google Scholar]
- Kingma, D.P.; Ba, J. Adam: A method for stochastic optimization. arXiv 2014, arXiv:1412.6980. [Google Scholar]
- Sun, S.; Cao, Z.; Zhu, H.; Zhao, J. A survey of optimization methods from a machine learning perspective. IEEE Trans. Cybern. 2019, 50, 3668–3681. [Google Scholar]
- Hytti, H.; Takalo, R.; Ihalainen, H. Tutorial on multivariate autoregressive modelling. J. Clin. Monit. Comput. 2006, 20, 101–108. [Google Scholar]
- Baccala, L.A.; Sameshima, K. Methods in Brain Connectivity Inference through Multivariate Time Series Analysis; CRC Press: Boca Raton, FL, USA, 2016; p. 16. [Google Scholar]
- Kollmeyer, P. Panasonic 18650PF Li-ion battery data. Mendeley Data 2018. Version 1. [Google Scholar] [CrossRef]
- Dynamometer Driving Schedules. Available online: https://www.epa.gov/vehicle-and-fuel-emissions-testing/dynamometer-drive-schedules (accessed on 27 August 2021).
- Chemali, E.; Kollmeyer, P.J.; Preindl, M.; Ahmed, R.; Emadi, A. Long short-term memory networks for accurate state-of-charge estimation of Li-ion batteries. IEEE Trans. Ind. Electron. 2017, 65, 6730–6739. [Google Scholar] [CrossRef]
- Luo, J.-H.; Wu, J.; Lin, W. Thinet: A filter level pruning method for deep neural network compression. In Proceedings of the IEEE International Conference on Computer Vision (ICCV), Venice, Italy, 22–29 October 2017; pp. 5058–5066. [Google Scholar]
- Hayes, M.H. Statistical Digital Signal Processing and Modeling; John Wiley & Sons: Hoboken, NJ, USA, 2009. [Google Scholar]
- Jain, V.; Seung, S. Natural image denoising with convolutional networks. NIPS 2008, 21. Available online: https://proceedings.neurips.cc/paper/2008/hash/c16a5320fa475530d9583c34fd356ef5-Abstract.html (accessed on 27 August 2021).
- Neklyudov, K.; Molchanov, D.; Ashukha, A.; Vetrov, D. Structured bayesian pruning via log-normal multiplicative noise. arXiv 2017, arXiv:1705.07283. [Google Scholar]







| Temp. | UDDS | LA92 | US06 | HWFET | NN | Cycle 1 | Cycle 2 | Cycle 3 | Cycle 4 |
|---|---|---|---|---|---|---|---|---|---|
| 25 °C | Train | Train | Train | Train | Validation | Test | Test | Test | Test |
| 10 °C | Train | Train | Train | Train | Validation | Test | Test | Test | Test |
| 0 °C | Train | Train | Train | Train | Validation | Test | Test | Test | Test |
| −10 °C | Train | Train | Train | Train | Validation | Test | Test | Test | Test |
| −20 °C | Train | Train | Train | Train | Validation | Test | Test | Test | Test |
| Voltage (V) | Current (A) | Temperature (°C) | |
|---|---|---|---|
| Max | 4.4 | 10 | 30 |
| Min | 2.5 | −10 | −25 |
| Temp. | Operating Condition | MAE (%) | RMSE (%) | MAX (%) | ||||||
|---|---|---|---|---|---|---|---|---|---|---|
| DNN | GRU | Proposed | DNN | GRU | Proposed | DNN | GRU | Proposed | ||
| 25 °C | Cycle 1 | 1.543 | 0.460 | 0.673 | 1.734 | 0.549 | 0.846 | 4.072 | 1.557 | 1.817 |
| Cycle 2 | 1.281 | 0.386 | 0.410 | 1.557 | 0.520 | 0.515 | 5.196 | 1.535 | 2.106 | |
| Cycle 3 | 1.416 | 0.376 | 0.515 | 1.662 | 0.487 | 0.644 | 4.350 | 1.262 | 1.709 | |
| Cycle 4 | 1.258 | 0.342 | 0.457 | 1.535 | 0497 | 0.604 | 4.664 | 1.770 | 2.030 | |
| 10 °C | Cycle 1 | 1.438 | 0.696 | 0.689 | 1.708 | 0.774 | 0.853 | 5.364 | 1.448 | 2.890 |
| Cycle 2 | 2.420 | 0.705 | 1.101 | 2.677 | 0.842 | 1.179 | 5.792 | 1.859 | 2.828 | |
| Cycle 3 | 1.553 | 0.635 | 0.580 | 1.807 | 0.738 | 0.720 | 4.539 | 1.525 | 2.214 | |
| Cycle 4 | 1.214 | 0.596 | 0.649 | 1.532 | 0.714 | 0.838 | 4.798 | 2.001 | 2.780 | |
| 0 °C | Cycle 1 | 1.327 | 1.174 | 1.107 | 1.572 | 1.497 | 1.348 | 4.456 | 3.171 | 3.330 |
| Cycle 2 | 1.365 | 1.135 | 1.120 | 1.704 | 1.286 | 1.267 | 4.828 | 2.210 | 2.619 | |
| Cycle 3 | 0.874 | 0.804 | 0.792 | 1.101 | 1.130 | 0.925 | 3.744 | 2.635 | 2.294 | |
| Cycle 4 | 1.469 | 0.769 | 0.725 | 1.865 | 0.888 | 0.853 | 6.085 | 2.147 | 2.445 | |
| −10 °C | Cycle 1 | 1.684 | 1.633 | 1.739 | 2.177 | 2.206 | 2.157 | 6.765 | 5.162 | 6.356 |
| Cycle 2 | 1.670 | 1.347 | 1.112 | 2.018 | 1.609 | 1.349 | 5.311 | 2.982 | 3.653 | |
| Cycle 3 | 1.595 | 0.788 | 0.951 | 1.990 | 1.015 | 1.132 | 6.332 | 2.651 | 3.061 | |
| Cycle 4 | 2.022 | 0.823 | 0.800 | 2.377 | 1.017 | 1.101 | 6.444 | 1.986 | 3.822 | |
| −20 °C | Cycle 1 | 3.557 | 1.126 | 1.826 | 4.195 | 1.303 | 2.887 | 11.677 | 3.886 | 8.673 |
| Cycle 2 | 2.966 | 2.079 | 1.782 | 3.673 | 2.904 | 2.336 | 10.175 | 6.870 | 6.012 | |
| Cycle 3 | 2.483 | 0.716 | 1.282 | 2.899 | 0.936 | 1.621 | 7.720 | 2.980 | 4.553 | |
| Cycle 4 | 3.255 | 1.800 | 1.659 | 3.999 | 2.711 | 2.028 | 14.062 | 5.854 | 5.956 | |
| Average | 1.820 | 0.920 | 0.998 | 2.189 | 1.181 | 1.260 | 6.319 | 2.775 | 3.557 | |
Publisher’s Note: MDPI stays neutral with regard to jurisdictional claims in published maps and institutional affiliations. |
© 2022 by the authors. Licensee MDPI, Basel, Switzerland. This article is an open access article distributed under the terms and conditions of the Creative Commons Attribution (CC BY) license (https://creativecommons.org/licenses/by/4.0/).
Share and Cite
Wang, Y.-C.; Shao, N.-C.; Chen, G.-W.; Hsu, W.-S.; Wu, S.-C. State-of-Charge Estimation for Lithium-Ion Batteries Using Residual Convolutional Neural Networks. Sensors 2022, 22, 6303. https://doi.org/10.3390/s22166303
Wang Y-C, Shao N-C, Chen G-W, Hsu W-S, Wu S-C. State-of-Charge Estimation for Lithium-Ion Batteries Using Residual Convolutional Neural Networks. Sensors. 2022; 22(16):6303. https://doi.org/10.3390/s22166303
Chicago/Turabian StyleWang, Yu-Chun, Nei-Chun Shao, Guan-Wen Chen, Wei-Shen Hsu, and Shun-Chi Wu. 2022. "State-of-Charge Estimation for Lithium-Ion Batteries Using Residual Convolutional Neural Networks" Sensors 22, no. 16: 6303. https://doi.org/10.3390/s22166303
APA StyleWang, Y.-C., Shao, N.-C., Chen, G.-W., Hsu, W.-S., & Wu, S.-C. (2022). State-of-Charge Estimation for Lithium-Ion Batteries Using Residual Convolutional Neural Networks. Sensors, 22(16), 6303. https://doi.org/10.3390/s22166303

