Atrioventricular Synchronization for Detection of Atrial Fibrillation and Flutter in One to Twelve ECG Leads Using a Dense Neural Network Classifier
Abstract
1. Introduction
2. Materials and Methods
2.1. ECG Databases
- ECG records that did not contain any of the annotation labels for the 30 clinical diagnoses defined for the Challenge.
- ECG records annotated as having low QRS voltages, poor R wave progression, or pacing rhythm.
2.2. Study Design
- Pre-processing: Analysis of full-length 12-lead ECG records with a focus on QRS, QRS onset, and P-/f-peak detection, as well as measurement of RR-intervals, lead-specific PQ-intervals, and PQ-amplitudes.
- DenseNet model design: Grid-search architectural design of dense NN classifiers with input features from different lead sets, including single lead, six limb leads, six chest leads, and all twelve leads.
- Optimization: Training and validation process for selection of the best models with maximal performance.
- Test: Performance evaluation on the independent test set, which derived conclusions on the importance of lead-set and input features.
2.3. Pre-Processing
2.3.1. Data Reading
2.3.2. ECG Filtering and Delineation
2.3.3. ECG Features
- RRi-mean and RRi-std (two global features) are computed as the mean and std values of the distances between consecutive R-wave fiducial points [73], detected in this study in reference lead I. If QRS detection is assumed correct, its application to any other lead is expected to give the same estimation of the heart rate; therefore, RRi-mean and RRi-std are considered global features.
- PQi-mean and PQi-std (two lead-specific features) are computed as the mean and std values of the time distances from P-/f-peaks to subsequent Q-waves in each of the 12 ECG leads. We note that the computed PQi-mean value differs from the standard definition of the PQ interval between the beginning of the P-wave and the beginning of the Q-wave [6]. The reason for this is that the embedded automatic delineation algorithms (Equation (2)) detects the most characteristic P-/f-peak more reliably than the wandering onset of the P-/f-wave. Although the computed PQ interval would be slightly shorter than the defined normal ranges [6], we consider its reliable measurement an important requirement for the proper investigation of the AF predictive potential of this feature.
- PQa-mean and PQa-std (two lead-specific features) were computed as the mean and std values of the amplitude differences between P-/f-peaks and subsequent Q-waves in each of the 12 ECG leads. We consider the PQa-mean value to represent the largest deflections of atrial electrical activity discernible before QRS onset and is therefore representative of the P-/f-wave amplitude. We believe that the detection of the Q-wave reference level is more reliable than searching for the P-wave onset, as defined in the standard P-wave amplitude measurement [6].
2.4. DenseNet Model Design
- Input layer: the number of nodes is equal to the number of features, as defined in Section 2.3.3., and computed by the formula: (2 + number of leads × 4), i.e., 6 features (DenseNet-SingleLeads), 26 features (DenseNet-LimbLeads, DenseNet-ChestLeads), and 50 features (DenseNet-12Leads).
- Batch normalization (BN) layer: a regularization technique that is known to accelerate training [74]. In our model, BN is applied for standardization of the input feature (x) by removing the mean and scaling to unit variance xBN = (x – mean)/(std) for each mini-batch. BN transform layer BNγ,β ≡ γxBN + β computes two trainable parameters (γ, β) for each input feature x.
- Hidden dense layers: a sequence of hidden dense layers for feature fusion and multilevel abstraction of feature maps [75]. One dense layer neuron processes the information of the feature vector x, according to the transform:
- -
- One to three hidden layers can be allocated.
- -
- The number of neurons in one dense layer cannot be larger than the number of neurons in the previous dense layer, limiting DenseNet to a shrinking architecture.
- -
- The number of neurons in a hidden dense layer can be any in the list:
- ✓
- [0, 4, 8, 16] for DenseNet-SingleLeads;
- ✓
- [0, 4, 8, 16, 32, 64] for DenseNet-LimbLeads or DenseNet-ChestLeads;
- ✓
- [0, 4, 8, 16, 32, 64, 128] for DenseNet-12Leads.
- Output layer: a dense layer with one neuron and sigmoid activation function, giving the probability of the feature vector x belonging to the AF class in the range [0; 1]:
2.5. DenseNet Model Training
- -
- δn is a binary indicator function, which is equal to 1 if the training sample xn belongs of the AF class, otherwise δn = 0;
- -
- wAF and wnon − AF are the weights for AF and non-AF classes, respecting the condition wAF + wnon – AF = 1. Considering the proportion of about 8% AF to 92% non-AF in the training database (Table 1), the class weights were configured to give a penalty to the larger class, computing was a reciprocal of the class prevalence, i.e., wAF = 0.92, wnon – AF = 0.08.
2.6. Performance Evaluation
2.7. Feature Importance
- SHAP valueFi is computed for the feature Fi, where i=1,2,…50 is the index of the input features of the DenseNet-12Leads model;
- M is the full set of features;
- S refers to a subset of features, which does not include the feature Fi;
- S ∪ Fi is a subset, which includes the features in S together with the feature Fi;
- S ⊆ M − i are all sets S, which are subsets of M and do not contain the feature Fi.
3. Results
3.1. DenseNet Model Optimization
- DenseNet-SingleLeads models with six input features from a single lead (Figure 5) presented validation BAC in the range 86.8–91.1%, reported as an average value for all 12 ECG leads where each lead was evaluated as an independent input. The best performance was observed for all architectures with two hidden dense layers with 16 neurons in the first layer. Our choice for the optimal model with high-ranked BAC = 91.1% was the DenseNet-SingleLeads [16,16,0].
- DenseNet-LimbLeads models with 26 input features from limb leads (Figure 6) presented validation BAC in the range 92–94.7%. Generally, the best performances (>94.2%) were observed for two and three hidden layer architectures with ≥32 neurons in the first layer. Our choice for the optimal model with high-ranked BAC = 94.7% was DenseNet-LimbLeads [32,32,32].
- DenseNet-ChestLeads models with 26 input features from chest leads (Figure 7) presented validation BAC in the range 91.8–94.6%. Generally, the best performances (>93.8%) were observed for two and three hidden layer architectures with ≥32 neurons in the first layer. Our choice for the optimal model with high-ranked BAC = 94.6% was DenseNet-ChestLeads [32,32,4].
- DenseNet-12Leads models with 50 input features from all 12 leads (Figure 8) presented validation BAC in the range 92.6–94.9%. The best performances (>94.8%) were observed for architectures with three hidden dense layers and ≥16 neurons in the first layer. Our choice of the optimal model with high-ranked BAC = 94.9% was DenseNet-12Leads [128,8,8].
3.2. Test Lead-Set Performance
3.3. Test Feature Importance
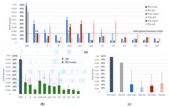
- Lead-set importance (Figure 10b):
- -
- Lead aVR is the most important lead due to three distinguished features: PQa-mean (61%), PQi-mean (43%), and PQa-std (26%).
- -
- Lead I is the second most important lead due to the same three features as aVR: PQa-mean (51%), PQi-mean (26%), and PQa-std (26%).
- -
- Lead aVL is ranked third for one feature: PQi-mean (50%).
- -
- Leads V2, aVF, and II have one highlighted feature: PQi-std (43-55%).
- -
- Lead V1 presents only one faintly distinguishable feature: PQa-std (28%).
- -
- Leads III, V3, V4, V5, and V6 do not present any important features.
- Feature importance (Figure 10c):
- -
- PQi-std is the most important feature mostly due to its high SHAP global metric in leads V2 (55%), aVF (52%), and II (43%).
- -
- PQa-mean is the second most important feature, distinguished in leads aVR (61%), I (51%), and II (26%).
- -
- PQi-mean is the third-ranked feature, distinguished in leads aVL (50%), aVR (43%), and I (26%).
- -
- PQa-std is the least important feature, weakly emphasized in leads V1 (28%), I (26%), and aVR (26%).
- Scatterplots (case study): feature values are scored in respect to their case feature importance (SHAP value).
- Box plots (group statistics): feature values are observed as global distributions (median value, interquartile range, non-outlier range, outliers, and extremes).
- RRi-mean: There is a trend showing that the shorter the RRi-mean, the greater the SHAP value for the importance of this parameter for TP (red dots), which can be explained by the usual rapid heart rates in AF. FP cases are also rapid rhythms, with an RRi-mean box plot distribution quite similar to TP (median RRi-mean = 600 ms, median heart rate HR = 100 bpm). Instead, the green dots present larger negative importance for TN detection for longer RRi-means (median RRi-mean = 880 ms, median HR = 68 bpm). The distribution of FN errors shows slightly decelerated AF rhythms (median RRi-mean = 650 ms, median HR = 92 bpm).
- RRi-std: A clearly visible trend shows that a greater RRi-std is directly proportional to greater SHAP importance for TP (red dots), associated with an increased heart rate variability in irregular ventricular activation during AF. FP cases also present increased RR-variability (median RRi-std = 100 ms). On the other hand, TN and FP cases are scored with reduced RR variability (median RRi-std < 20 ms).
- PQa-mean (aVR): The typically negative P-wave amplitude in the lead aVR of sinus rhythms (median PQa-mean = −0.025 mV) is highlighted with the strongest negative importance in the detection of TN (green dots). Conversely, the more positive the PQ amplitudes in aVR, the greater the SHAP importance for detecting TP (red dots), which can be linked to the disturbed atrial depolarization in AF with a high probability for inversion of the f-/F-wave polarities. FP cases have positive P-waves with a PQa-mean box plot distribution quite similar to TP (median PQa-mean = 0.025 mV). FP can be associated with a variety of arrhythmias included in the non-AF group with disturbed polarity of atrial depolarization. FN cases are characterized by very small f-/F-wave amplitudes (median PQa-mean = 0 mV, interquartile range ±0.1 mV).
- PQa-mean (I, II): The typically positive P-wave amplitude in leads I and II for sinus rhythms is recognized by the green box plot distributions of TN (median PQa-mean = 0.12–0.15 mV). SHAP highlights the lower f-/F-amplitudes as the most important for TP (median PQa-mean = 0.06–0.08 mV). FP cases are non-AF cases with relatively low PQ-amplitudes (median PQa-mean = 0.09–0.1 mV), whereas FN cases are AF with enhanced high f-/F-wave amplitudes (median PQa-mean = 0.08–0.12 mV).
- PQi-std (V2, aVF, II): There is a clearly visible trend that a larger PQi-std is directly proportional to larger SHAP importance for TP (red dots), associated with a large variance of the PQ interval during the chaotic AV synchronization in AF. PQi variation is most prominent in lead V2 for TP (median PQi-std = 52 ms) compared with its limited value for TN (median PQi-std = 5 ms). FPs are non-AF rhythms with enhanced PQi-std (median PQi-std = 39 ms), whereas FNs are AF rhythms with relatively constant PQi, such as in some AFL (median PQi-std = 10 ms in V2).
- PQi-mean (aVR, aVL, I): The three leads present very similar distributions for TPs (median PQi-mean = 116 ms); however, different SHAP importance is given for low and high values of PQi-mean, i.e., lower PQi-mean values have higher TP importance for the lead aVR, whereas higher PQi-mean values have higher TP importance for leads aVL and I. This phenomenon is due to different PQi-mean distributions in the TN group, i.e., representing a longer PQ duration in the lead aVR (median PQi-mean = 160 ms), and shorter ones in leads aVL and I (median PQi-mean = 80 ms). This could be linked to different times of excitation of the right and left atria during sinus rhythm, shifting when the P-peak is detected in specific ECG leads, i.e., the earliest right atrium activation is detected in lead aVR, followed by the leftward and inferior direction of the activation detected in leads aVL and I. FP errors are non-AF arrhythmias with disturbed timing of the P-wave pattern, appearing with relatively equal PQ intervals in the three leads aVR, aVL, and I (median PQi-mean = 100–120 ms), which overlap with the f-/F-wave timing in AF. Although FN errors present a slightly shorter PQ interval than TP in lead aVL (median PQi-mean = 95 ms vs. 116 ms), such errors cannot be strongly linked to the disturbance of PQi-mean, because overlapping distributions for FN and TP groups are observed in leads aVR and I.
- PQa-std (V1, I, aVR): PQa-std is associated with a larger deviation of PQ amplitudes for TP and FP (median PQa-std = 0.04-0.05 mV) and lower deviations for TN and FN (median PQa-std = 0.01–0.03 mV), although the interquartile ranges overlap considerably between groups. This overlap is considered unreliable for AF detection by DenseNet, limiting the maximum SHAP global importance of PQa-std close to the 25% threshold (Figure 10a). Furthermore, the detailed analysis of the PQa-std (aVR) scatterplot in Figure 11 indicates that SHAP value importance is negative for TP, which means that this parameter biases the detection toward the non-AF class. Some explanations might account for the low PQ amplitudes and the difficulty in accurately measuring their small deviations.
4. Discussion
- Even when the same datasets are used, direct comparison is not feasible due to the different test procedures—i.e., results are reported on either an independent test set (not used during training) or the validation dataset (total dataset or N-fold cross-validation) used in the NN training process.
5. Conclusions
- A few comprehensive measures of AV synchronization, related to the mean and standard deviation of the heart rate, AV conduction time, and P-/f-wave amplitude (RR-interval, PQ-interval, and PQ amplitude, respectively) in 12-lead ECGs were shown to be feasible for AF detection.
- Advanced NN classifiers with one to three hidden dense layers and up to 128 neurons per layer were optimized to detect AF with input features from one, six, and twelve ECG leads.
- Performance generalizability was demonstrated using independent datasets for training (50,332 records), validation (14,235 records), and test (6978 records), part of the six largest PhysioNet CinC Challenge 2021 databases, which were rich in data from healthy controls and patients showing various arrhythmias, including AF.
- We elucidated the decision-making process of the DenseNet model by the SHAP method and highlighted the 14 most important AF predictors. Statistical analysis of their distributions comprehensively explained the causes of correct (TP, TN) and false detections (FN, FP).
Author Contributions
Funding
Institutional Review Board Statement
Informed Consent Statement
Data Availability Statement
Conflicts of Interest
References
- Shah, S.R.; Luu, S.W.; Calestino, M.; David, J.; Christopher, B. Management of atrial fibrillation-flutter: Uptodate guideline paper on the current evidence. J. Community Hosp. Intern. Med. Perspect. 2018, 8, 269–275. [Google Scholar] [CrossRef] [PubMed]
- Naccarelli, G.; Varker, H.; Lin, J.; Schulman, K. Increasing prevalence of atrial fibrillation and flutter in the United States. Am. J. Cardiol. 2009, 104, 1534–1539. [Google Scholar] [CrossRef] [PubMed]
- Naydenov, S.; Runev, N.; Manov, E.; Vasileva, D.; Rangelov, Y.; Naydenova, N. Risk Factors, co-morbidities and treatment of in-hospital patients with atrial fibrillation in Bulgaria. Medicina 2018, 54, 34. [Google Scholar] [CrossRef] [PubMed]
- Naydenov, S.; Runev, N.; Manov, E. Are Three Weeks of Oral Anticoagulation Sufficient for Safe Cardioversion in Atrial Fibrillation? Medicina 2021, 57, 554. [Google Scholar] [CrossRef]
- January, C.T.; Wann, L.S.; Alpert, J.S.; Calkins, H.; Cigarroa, J.E.; Cleveland, J.C.; Conti, J.B.; Ellinor, P.T.; Ezekowitz, M.D.; Field, M.E.; et al. 2014 AHA/ACC/HRS guideline for the management of patients with atrial fibrillation: A report of the American College of Cardiology/American Heart Association Task Force on Practice Guidelines and the Heart Rhythm Society. J. Am. Coll. Cardiol. 2014, 64, e1–e76. [Google Scholar] [CrossRef]
- Gertsch, M. The Normal ECG and its (Normal) Variants. In The ECG: A Two-Step Approach to Diagnosis, 1st ed.; Springer: Berlin/Heidelberg, Germany, 2004; pp. 19–21. [Google Scholar]
- Hindricks, G.; Potpara, T.; Dagres, N.; Arbelo, E.; Bax, J.; Blomstrom-Lundqvist, C. 2020 ESC Guidelines for the diagnosis and management of atrial fibrillation developed in collaboration with the European Association of Cardio-Thoracic Surgery (EACTS). Eur. Heart J. 2020, 42, 373–498. [Google Scholar] [CrossRef]
- Dotsinsky, I. Atrial wave detection algorithm for discovery of some rhythm abnormalities. Physiol. Meas. 2007, 28, 595–610. [Google Scholar] [CrossRef]
- Du, X.; Rao, N.; Qian, M.; Liu, D.; Li, J.; Feng, W.; Yin, L.; Chen, X. A novel method for real-time atrial fibrillation detection in electrocardiograms using multiple parameters. Ann. Noninvasive Electrocardiol. 2014, 19, 217–225. [Google Scholar] [CrossRef]
- Christov, I.; Bortolan, G.; Daskalov, I. Sequential Analysis for Automatic Detection of Atrial Fibrillation and Flutter. In Proceedings of the 2001 Computers in Cardiology Conference, Rotterdam, The Netherlands, 23–26 September 2001; Volume 28, pp. 293–296. [Google Scholar]
- Ladavich, S.; Ghoraani, B. Rate-independent detection of atrial fibrillation by statistical modeling of atrial activity. Biomed. Signal Processing Control 2015, 18, 274–281. [Google Scholar] [CrossRef]
- Linker, D. Accurate, Automated Detection of Atrial Fibrillation in Ambulatory Recordings. Cardiovasc. Eng. Technol. 2016, 7, 182–189. [Google Scholar] [CrossRef]
- Petrėnas, A.; Marozas, V.; Sörnmo, L. Low-complexity detection of atrial fibrillation in continuous long-term monitoring. Comput. Biol. Med. 2015, 65, 184–191. [Google Scholar] [CrossRef]
- Lake, D.; Moorman, J. Accurate estimation of entropy in very short physiological time series: The problem of atrial fibrillation detection in implanted ventricular devices. Am. J. Physiol. Heart Circ. Physiol. 2011, 300, H319–H325. [Google Scholar] [CrossRef] [PubMed]
- Andersen, R.S.; Peimankar, A.; Puthusserypady, S. A deep learning approach for real-time detection of atrial fibrillation. Expert Syst. Appl. 2019, 115, 465–473. [Google Scholar] [CrossRef]
- Ebrahimzadeh, E.; Kalantari, M.; Joulani, M.; Shahraki, R.S.; Fayaz, F.; Ahmadi, F. Prediction of paroxysmal Atrial Fibrillation: A machine learning based approach using combined feature vector and mixture of expert classification on HRV signal. Comput. Methods Programs Biomed. 2018, 165, 53–67. [Google Scholar] [CrossRef] [PubMed]
- Boon, K.H.; Khalil-Hani, M.; Malarvili, M.B.; Sia, C.W. Paroxysmal atrial fibrillation prediction method with shorter HRV sequences. Comput. Methods Programs Biomed. 2016, 134, 187–196. [Google Scholar] [CrossRef] [PubMed]
- Faust, O.; Shenfield, A.; Kareem, M.; San, T.R.; Fujita, H.; Acharya, U.R. Automated detection of atrial fibrillation using long short-term memory network with RR interval signals. Comput. Biol. Med. 2018, 102, 327–335. [Google Scholar] [CrossRef] [PubMed]
- Babaeizadeh, S.; Gregg, R.; Helfenbein, E.; Lindauer, J.; Zhou, S. Improvements in atrial fibrillation detection for real-time monitoring. J. Electrocardiol. 2009, 42, 522–526. [Google Scholar] [CrossRef]
- Petrėnas, A.; Sörnmo, L.; Lukoševicius, A.; Marozas, V. Detection of occult paroxysmal atrial fibrillation. Med. Biol. Eng. Comput. 2015, 53, 287–297. [Google Scholar] [CrossRef]
- Larburu, N.; Lopetegi, T.; Romero, I. Comparative study of algorithms for atrial fibrillation detection. Comput. Cardiol. 2011, 38, 265–268. [Google Scholar]
- Tuboly, G.; Kozmann, G.; Kiss, O.; Merkely, B. Atrial fibrillation detection with and without atrial activity analysis using lead-I mobile ECG technology. Biomed. Signal Processing Control 2021, 66, 102462. [Google Scholar] [CrossRef]
- Soni, E.; Nagpal, A.; Chopra, K. Atrial fibrillation discrimination for real-time ECG monitoring based on QT interval variation. Indian J. Sci. Technol. 2022, 15, 767–777. [Google Scholar] [CrossRef]
- Dubatovka, A.; Buhmann, J.M. Automatic detection of atrial fibrillation from single-lead ECG using deep learning of the cardiac cycle. BME Front. 2022, 2022, 9813062. [Google Scholar] [CrossRef]
- Xia, Y.; Wulan, N.; Wang, K.; Zhang, H. Detecting atrial fibrillation by deep convolutional neural networks. Comput. Biol. Med. 2018, 93, 84–92. [Google Scholar] [CrossRef] [PubMed]
- Rouhi, R.; Clausel, M.; Oster, J.; Lauer, F. An interpretable hand-crafted feature-based model for atrial fibrillation detection. Front. Physiol. 2021, 12, 657304. [Google Scholar] [CrossRef] [PubMed]
- Krasteva, V.; Christov, I.; Naydenov, S.; Stoyanov, T.; Jekova, I. Application of dense neural networks for detection of atrial fibrillation and ranking of augmented ECG feature set. Sensors 2021, 21, 6848. [Google Scholar] [CrossRef] [PubMed]
- Wang, J. Automated detection of atrial fibrillation and atrial flutter in ECG signals based on convolutional and improved Elman neural network. Knowl.-Based Syst. 2020, 193, 105446. [Google Scholar] [CrossRef]
- Baek, Y.S.; Lee, S.C.; Choi, W.; Kim, D.H. A new deep learning algorithm of 12-lead electrocardiogram for identifying atrial fibrillation during sinus rhythm. Sci. Rep. 2021, 11, 12818. [Google Scholar] [CrossRef]
- Tutuko, B.; Nurmaini, S.; Tondas, A.E.; Rachmatullah, M.N.; Darmawahyuni, A.; Esafri, R.; Firdaus, F.; Sapitri, A.I. AFibNet: An implementation of atrial fibrillation detection with convolutional neural network. BMC Med. Inform. Decis. Mak. 2021, 21, 216. [Google Scholar] [CrossRef] [PubMed]
- Fan, X.; Yao, Q.; Cai, Y.; Miao, F.; Sun, F.; Li, Y. Multiscaled fusion of deep convolutional neural networks for screening atrial fibrillation from single lead short ECG recordings. IEEE J. Biomed. Health Inform. 2018, 22, 1744–1753. [Google Scholar] [CrossRef]
- Attia, Z.I.; Noseworthy, P.A.; Lopez-Jimenez, F.; Asirvatham, S.J.; Deshmukh, A.J.; Gersh, B.J.; Carter, R.E.; Yao, X.; Rabinstein, A.A.; Erickson, B.J.; et al. An artificial intelligence-enabled ECG algorithm for the identification of patients with atrial fibrillation during sinus rhythm: A retrospective analysis of outcome prediction. Lancet 2019, 394, 861–867. [Google Scholar] [CrossRef]
- Fujita, H.; Cimr, D. Computer aided detection for fibrillations and flutters using deep convolutional neural network. Inf. Sci. 2019, 486, 231–239. [Google Scholar] [CrossRef]
- Zhao, Z.; Särkkä, S.; Rad, A.B. Kalman-based spectro-temporal ECG analysis using deep convolutional networks for atrial fibrillation detection. J. Signal Process. Syst. 2020, 92, 621–636. [Google Scholar] [CrossRef]
- Nurmaini, S.; Tondas, A.E.; Darmawahyuni, A.; Rachmatullah, M.N.; Partan, R.U.; Firdaus, F.; Tutuko, B.; Pratiwi, F.; Juliano, A.H.; Khoirani, R. Robust detection of atrial fibrillation from short-term electrocardiogram using convolutional neural networks. Future Gener. Comput. 2020, 113, 304–317. [Google Scholar] [CrossRef]
- Baalman, S.W.; Schroevers, F.E.; Oakley, A.J.; Brouwer, T.F.; van der Stuijt, W.; Bleijendaal, H.; Ramos, L.A.; Lopes, R.R.; Marquering, H.A.; Knops, R.E.; et al. A morphology based deep learning model for atrial fibrillation detection using single cycle electrocardiographic samples. Int. J. Cardiol. 2020, 316, 130–136. [Google Scholar] [CrossRef] [PubMed]
- Mousavi, S.; Afghah, F.; Acharya, U.R. HAN-ECG: An interpretable atrial fibrillation detection model using hierarchical attention networks. Comput. Biol. Med. 2020, 127, 104057. [Google Scholar] [CrossRef] [PubMed]
- Cao, P.; Li, X.; Mao, K.; Lu, F.; Ning, G.; Fang, L.; Pan, Q. A novel data augmentation method to enhance deep neural networks for detection of atrial fibrillation. Biomed. Signal Process. Control 2020, 56, 101675. [Google Scholar] [CrossRef]
- Petmezas, G.; Haris, K.; Stefanopoulos, L.; Kilintzis, V.; Tzavelis, A.; Rogers, J.A.; Katsaggelos, A.K.; Maglaveras, N. Automated atrial fibrillation detection using a hybrid CNN-LSTM network on imbalanced ECG datasets. Biomed. Signal Process. Control 2021, 63, 102194. [Google Scholar] [CrossRef]
- Zhang, X.; Li, J.; Cai, Z.; Zhang, L.; Chen, Z.; Liu, C. Over-fitting suppression training strategies for deep learning-based atrial fibrillation detection. Med. Biol. Eng. Comput. 2021, 59, 165–173. [Google Scholar] [CrossRef]
- Tran, L.; Li, Y.; Nocera, L.; Shahabi, C.; Xiong, L. MultiFusionNet: Atrial fibrillation detection with deep neural networks. AMIA Jt. Summits Transl. Sci. Proc. 2020, 2020, 654–663. Available online: https://www.ncbi.nlm.nih.gov/pmc/articles/PMC7233068/ (accessed on 20 June 2022).
- Jin, Y.; Qin, C.; Huang, Y.; Zhao, W.; Liu, C. Multi-domain modeling of atrial fibrillation detection with twin attentional convolutional long short-term memory neural networks. Knowl.-Based Syst. 2020, 193, 105460. [Google Scholar] [CrossRef]
- Fan, X.; Hu, Z.; Wang, R.; Yin, L.; Li, Y.; Cai, Y. A novel hybrid network of fusing rhythmic and morphological features for atrial fibrillation detection on mobile ECG signals. Neural Comput. Appl. 2020, 32, 8101–8113. [Google Scholar] [CrossRef]
- Lai, D.; Bu, Y.; Su, Y.; Zhang, X.; Ma, C.S. Non-standardized patch-based ECG lead together with deep learning based algorithm for automatic screening of atrial fibrillation. IEEE J. Biomed. Health Inform. 2020, 24, 1569–1578. [Google Scholar] [CrossRef]
- Sawhney, N.S.; Anousheh, R.; Chen, W.C.; Feld, G.K. Diagnosis and management of typical atrial flutter. Cardiol. Clin. 2009, 27, 55–67. [Google Scholar] [CrossRef] [PubMed]
- Boyer, M.; Koplan, B. Atrial Flutter. Circulation 2005, 112, e334–e336. [Google Scholar] [CrossRef] [PubMed]
- Daoud, E.G.; Morady, F. Pathophysiology of Atrial Flutter. Annu. Rev. Med. 1998, 49, 77–83. [Google Scholar] [CrossRef] [PubMed]
- Morrison, S.; Macfarlane, P.W. Computer Detection of Atrial Flutter. Ann. Noninvasive Electrocardiol. 2000, 5, 358–364. [Google Scholar] [CrossRef]
- National Institute for Health and Care Excellence (NICE). Atrial Fibrillation: Diagnosis and Management. NICE Guideline [NG196]. 2021. Available online: https://www.nice.org.uk/guidance/ng196 (accessed on 20 June 2022).
- Zink, M.D.; Laureanti, R.; Hermans, B.J.M.; Pison, L.; Verheule, S.; Philippens, S.; Pluymaekers, N.; Vroomen, M.; Hermans, A.; van Hunnik, A.; et al. Extended ECG improves classification of paroxysmal and persistent atrial fibrillation based on P- and f-waves. Front. Physiol. 2022, 13, 779826. [Google Scholar] [CrossRef] [PubMed]
- Sasaki, N.; Okumura, Y.; Watanabe, I.; Madry, A.; Hamano, Y.; Nikaido, M.; Nagashima, K.; Sonoda, K.; Kogawa, R.; Takahashi, K.; et al. Frequency analysis of atrial fibrillation from the specific ECG leads V7–V9: A lower DF in lead V9 is a marker of potential atrial remodeling. J. Cardiol. 2015, 66, 388–394. [Google Scholar] [CrossRef][Green Version]
- Steinberg, J.S.; O’Connell, H.; Li, S.; Ziegler, P.D. Thirty-second gold standard definition of atrial fibrillation and its relationship with subsequent arrhythmia patterns: Analysis of a large prospective device database. Circ. Arrhythmia Electrophysiol. 2018, 11, e006274. [Google Scholar] [CrossRef]
- Ballatore, A.; Matta, M.; Saglietto, A.; Desalvo, P.; Bocchino, P.; Gaita, F.; De Ferrari, G.M.; Anselmino, M. Subclinical and Asymptomatic Atrial Fibrillation: Current Evidence and Unsolved Questions in Clinical Practice. Medicina 2019, 55, 497. [Google Scholar] [CrossRef]
- Rosero, S.Z.; Kutyifa, V.; Olshansky, B.; Zareba, W. Ambulatory ECG monitoring in atrial fibrillation management. Prog. Cardiovasc. Dis. 2013, 56, 143–152. [Google Scholar] [CrossRef] [PubMed]
- Duarte, R.; Stainthorpe, A.; Mahon, J.; Greenhalgh, J.; Richardson, M.; Nevitt, S.; Kotas, E.; Boland, A.; Thom, H.; Marshall, T.; et al. Lead-I ECG for detecting atrial fibrillation in patients attending primary care with an irregular pulse using single-time point testing: A systematic review and economic evaluation. PLoS ONE 2019, 14, e0226671. [Google Scholar] [CrossRef]
- Reyna, M.; Sadr, N.; Alday, E.; Gu, A.; Shah, A.; Robichaux, C.; Bahrami Rad, A.; Elola, A.; Seyedi, S.; Ansari, S.; et al. Will Two Do? Varying Dimensions in Electrocardiography: The PhysioNet/Computing in Cardiology Challenge 2021. In Proceedings of the 2021 Computing in Cardiology Conference (CinC 2021), Brno, Czech Republic, 13–15 September 2021; Volume 48. [Google Scholar] [CrossRef]
- Kropf, M.; Hayn, D.; Morris, D.; Radhakrishnan, A.K.; Belyavskiy, E.; Frydas, A.; Pieske-Kraigher, E.; Pieske, B.; Schreier, G. Cardiac anomaly detection based on time and frequency domain features using tree-based classifiers. Physiol. Meas. 2018, 39, 114001. [Google Scholar] [CrossRef] [PubMed]
- Shao, M.; Bin, G.; Wu, S.; Bin, G.; Huang, J.; Zhou, Z. Detection of atrial fibrillation from ECG recordings using decision tree ensemble with multi-level features. Physiol. Meas. 2018, 39, 094008. [Google Scholar] [CrossRef]
- Sodmann, P.; Vollmer, M.; Nath, N.; Kaderali, L. A convolutional neural network for ECG annotation as the basis for classification of cardiac rhythms. Physiol. Meas. 2018, 39, 104005. [Google Scholar] [CrossRef]
- Rizwan, M.; Whitaker, B.; Anderson, D. AF detection from ECG recordings using feature selection, sparse coding, and ensemble learning. Physiol. Meas. 2018, 39, 124007. [Google Scholar] [CrossRef] [PubMed]
- Mukherjeez, A.; Choudhuryz, A.; Datta, S.; Puri, C.; Banerjee, R.; Singh, R.; Ukil, A.; Bandyopadhyay, S.; Pal, A.; Khandelwal, S. Detection of atrial fibrillation and other abnormal rhythms from ECG using a multi-layer classifier architecture. Physiol. Meas. 2019, 40, 054006. [Google Scholar] [CrossRef]
- Wickramasinghe, N.L.; Athif, M. Multi-label classification of reduced-lead ECGs using an interpretable deep convolutional neural network. Physiol. Meas. 2022, 42, 064002. [Google Scholar] [CrossRef]
- Goldberger, A.L.; Amaral, L.A.N.; Glass, L.; Hausdorff, J.M.; Ivanov, P.C.; Mark, R.G.; Mietus, J.E.; Moody, G.B.; Peng, C.-K.; Stanley, H.E. PhysioBank, PhysioToolkit, and PhysioNet: Components of a new research resource for complex physiologic signals. Circulation 2000, 101, e215–e220. [Google Scholar] [CrossRef]
- Reyna, M.; Sadr, N.; Gu, A.; Perez Alday, E.A.; Liu, C.; Seyedi, S.; Shah, A.; Clifford, G.D. Will Two Do? Varying Dimensions in Electrocardiography: The PhysioNet/Computing in Cardiology Challenge 2021 (version 1.0.2). Comput. Cardiol. 2021, 48, 1–4. [Google Scholar] [CrossRef]
- Xie, C.; McCullum, L.; Johnson, A.; Pollard, T.; Gow, B.; Moody, B. Waveform Database Software Package (WFDB) for Python (version 3.4.1). Circulation 2021, 101, e215–e220. [Google Scholar] [CrossRef]
- Levkov, C.; Mihov, G.; Ivanov, R.; Daskalov, I.; Christov, I.; Dotsinsky, I. Removal of power-line interference from the ECG: A review of the subtraction procedure. BioMed. Eng. OnLine 2005, 4, 50. [Google Scholar] [CrossRef] [PubMed]
- Bortolan, G.; Christov, I.; Simova, I.; Dotsinsky, I. Noise processing in exercise ECG stress test for the analysis and the clinical characterization of QRS and T wave alternans. Biomed. Signal Process. Control 2015, 18, 378–385. [Google Scholar] [CrossRef]
- Christov, I.; Neycheva, T.; Schmid, R.; Stoyanov, T.; Abächerli, R. Pseudo real-time low-pass filter in ECG, self-adjustable to the frequency spectra of the waves. Med. Biol. Eng. Comput. 2017, 55, 1579–1588. [Google Scholar] [CrossRef] [PubMed]
- Christov, I.I. Real time electrocardiogram QRS detection using combined adaptive threshold. BioMed. Eng. Online 2004, 3, 28. [Google Scholar] [CrossRef] [PubMed]
- Daskalov, I.K.; Christov, I.I. Electrocardiogram signal preprocessing for automatic detection of QRS boundaries. Med. Eng. Phys. 1999, 21, 37–44. [Google Scholar] [CrossRef]
- Christov, I.; Simova, I. Fully automated method for QT interval measurement in ECG. Comput. Cardiol. 2006, 33, 321–334. [Google Scholar]
- Christov, I.; Krasteva, V.; Simova, I.; Neycheva, T.; Schmid, R. Ranking of the most reliable beat morphology and heart rate variability features for detection of atrial fibrillation in short single lead ECG. Physiol. Meas. 2018, 39, 094005. [Google Scholar] [CrossRef]
- Malik, M. Heart rate variability. Standards of measurement, physiological interpretation, and clinical use. Task Force of the European Society of Cardiology and the North American Society of Pacing and Electrophysiology. Eur. Heart J. 1996, 17, 354–381. [Google Scholar] [CrossRef]
- Ioffe, S.; Szegedy, C. Batch normalization: Accelerating deep network training by reducing internal covariate shift. In Proceedings of the 32nd International Conference on Machine Learning (ICML 2015), Lille, France, 6–11 July 2015; Volume 1, pp. 448–456. [Google Scholar]
- Ramsundar, B.; Zadeh, R.B. Chapter 4. Fully Connected Deep Networks. In TensorFlow for Deep Learning: From Linear Regression to Reinforcement Learning, 1st ed.; Roumeliotis, R., Young, A., Eds.; O’Reilly Media, Inc.: Sebastopol, CA, USA, 2018; pp. 81–102. [Google Scholar]
- Jekova, I.; Krasteva, V. Optimization of end-to-end convolutional neural networks for analysis of out-of-hospital cardiac arrest rhythms during cardiopulmonary resuscitation. Sensors 2021, 21, 4105. [Google Scholar] [CrossRef] [PubMed]
- Shapley, L.S. A value for n-person games. Contrib. Theory Games 1953, 2, 307–317. [Google Scholar] [CrossRef]
- Molnar, C. Interpretable Machine Learning. A Guide for Making Black Box Models Explainable, 2nd ed.; Independently published, 2022; pp. 1–329. ISBN 13979-8411463330. Available online: https://christophm.github.io/interpretable-ml-book/ (accessed on 21 June 2022).
- Warrick, P.A.; Lostanlen, V.; Eickenberg, M.; Homsi, M.N.; Rodrıguez, A.C.; Anden, J. Arrhythmia classification of reduced-lead electrocardiograms by scattering-recurrent networks. In Proceedings of the 2021 Computing in Cardiology Conference (CinC 2021), Brno, Czech Republic, 13–15 September 2021; Volume 48. [Google Scholar] [CrossRef]
- Crocker, H.J.; Costall, A.W. An inception time-inspired convolutional neural network to detect cardiac abnormalities in reduced-lead ECG data. In Proceedings of the 2021 Computing in Cardiology Conference (CinC 2021), Brno, Czech Republic, 13–15 September 2021; Volume 48. [Google Scholar] [CrossRef]
- Jiménez-Serrano, S.; Rodrigo, M.; Calvo, C.J.; Castells, F.; Millet, J. Multiple cardiac disease detection from minimal-lead ECG combining feedforward neural networks with a one-vs-rest approach. In Proceedings of the 2021 Computing in Cardiology Conference (CinC 2021), Brno, Czech Republic, 13–15 September 2021; Volume 48. [Google Scholar] [CrossRef]
- Rodrigues, R.; Couto, P. Semi-supervised learning for ECG classification. In Proceedings of the 2021 Computing in Cardiology Conference (CinC 2021), Brno, Czech Republic, 13–15 September 2021; Volume 48. [Google Scholar] [CrossRef]
- Mant, J.; Fitzmaurice, D.A.; Hobbs, F.D.; Jowett, S.; Murray, E.T.; Holder, R.; Davies, M.; Lip, G. Accuracy of diagnosing atrial fibrillation on electrocardiogram by primary care practitioners and interpretative diagnostic software: Analysis of data from screening for atrial fibrillation in the elderly (SAFE) trial. BMJ 2007, 335, 380. [Google Scholar] [CrossRef] [PubMed]
- Karregat, E.; Himmelreich, J.; Lucassen, W.; Busschers, W.; van Weert, H.; Harskamp, R. Evaluation of general practitioners’ single-lead electrocardiogram interpretation skills: A casevignette study. Fam. Pract. 2021, 38, 70–75. [Google Scholar] [CrossRef] [PubMed]














| Databases | ECG Records (Total Number) | ECG Duration (s) | Training | Validation | Test | |||
|---|---|---|---|---|---|---|---|---|
| AF | Non-AF | AF | Non-AF | AF | Non-AF | |||
| CPSC2018 training set | 5074 | 6–144 | 711 | 2866 | 203 | 795 | 102 | 397 |
| China 12-Lead ECG Challenge database (CPSC2018-Extra) | 1233 | 6–144 | 115 | 785 | 33 | 190 | 17 | 93 |
| PTB-XL electrocardiography database | 20,113 | 10–120 | 378 | 15,119 | 108 | 3461 | 53 | 994 |
| Georgia 12-Lead ECG Challenge database | 8565 | 5–10 | 130 | 6579 | 38 | 1245 | 18 | 555 |
| Chapman-Shaoxing database | 8244 | 10 | 650 | 5171 | 186 | 1568 | 93 | 576 |
| Ningbo database | 28,316 | 10 | 1929 | 15,899 | 551 | 5857 | 276 | 3804 |
| Total | 71,545 | 5–144 | 3913 | 46,419 | 1119 | 13,116 | 559 | 6419 |
| Architecture | Lead Set | Number of Input Features | Validation Dataset | Test Dataset | ||||||
|---|---|---|---|---|---|---|---|---|---|---|
| BAC (%) | Se (%) | Sp (%) | F1 Score | BAC (%) | Se (%) | Sp (%) | F1 Score | |||
| DenseNet-SingleLeads [16,16,0] | I | 6 | - | - | - | - | 89.3 | 86.2 | 92.3 | 0.629 |
| II | 6 | - | - | - | - | 88.5 | 84.3 | 92.8 | 0.63 | |
| III | 6 | - | - | - | - | 86.2 | 82.7 | 89.8 | 0.551 | |
| aVR | 6 | - | - | - | - | 84.5 | 81.9 | 87.1 | 0.497 | |
| aVL | 6 | - | - | - | - | 85.9 | 83.7 | 88.1 | 0.523 | |
| aVF | 6 | - | - | - | - | 88.5 | 85.0 | 92.0 | 0.615 | |
| V1 | 6 | - | - | - | - | 87.2 | 82.8 | 91.6 | 0.593 | |
| V2 | 6 | - | - | - | - | 89.4 | 88.0 | 90.7 | 0.598 | |
| V3 | 6 | - | - | - | - | 88.9 | 87.8 | 89.9 | 0.577 | |
| V4 | 6 | - | - | - | - | 88.6 | 87.8 | 89.3 | 0.565 | |
| V5 | 6 | - | - | - | - | 88.4 | 87.5 | 89.4 | 0.565 | |
| V6 | 6 | - | - | - | - | 88.4 | 84.8 | 91.9 | 0.612 | |
| DenseNet-SingleLeads [16,16,0] | Total single leads | 6 | 91.1 | 92.6 | 89.5 | 0.587 | 88.0 | 87.6 | 88.5 | 0.547 |
| DenseNet-LimbLeads [32,32,32] | Limb leads | 26 | 94.7 | 94.6 | 94.9 | 0.744 | 92.4 | 90.7 | 94.2 | 0.704 |
| DenseNet-ChestLeads [32,32,4] | Chest leads | 26 | 94.6 | 95.2 | 94.0 | 0.716 | 92.7 | 92.1 | 93.2 | 0.683 |
| DenseNet-12Leads [128,8,8] | 12-leads | 50 | 94.9 | 93.3 | 96.6 | 0.800 | 93.8 | 91.8 | 95.8 | 0.767 |
| Test Datasets | TP | FN | TN | FP | BAC (%) | Se (%) | Sp (%) | F1 Score |
|---|---|---|---|---|---|---|---|---|
| CPSC2018 training set | 100 | 2 | 351 | 46 | 93.2 | 98.0 | 88.4 | 0.806 |
| China 12-Lead ECG Challenge database | 15 | 2 | 88 | 5 | 91.4 | 88.2 | 94.6 | 0.811 |
| PTB-XL electrocardiography database | 50 | 3 | 965 | 29 | 95.7 | 94.3 | 97.1 | 0.758 |
| Georgia 12-Lead ECG Challenge database | 12 | 6 | 531 | 24 | 81.2 | 66.7 | 95.7 | 0.444 |
| Chapman-Shaoxing database | 88 | 5 | 551 | 25 | 95.1 | 94.6 | 95.7 | 0.854 |
| Ningbo database | 248 | 28 | 3667 | 137 | 93.1 | 89.9 | 96.4 | 0.750 |
| Total | 513 | 46 | 6153 | 266 | 93.8 | 91.8 | 95.9 | 0.767 |
| Study | Methodology | Database | Se (%) | Sp (%) | BAC (%) | F1 score |
|---|---|---|---|---|---|---|
| Single-lead ECG analysis | ||||||
| This study | Features: 6 AV synchronization features Classifier: DenseNet-SingleLeads [16,16,0] Test: Independent dataset | PhysioNet/CinC Challenge 2021 | 87.6 | 88.5 | 88.0 | 0.547 |
| [81] | Features: 109 heart rate variability features Classifier: NN Test: 3-fold cross validation | PhysioNet/CinC Challenge 2021 * | NA | NA | G = 85.4 #,$ | NA |
| [24] † | Features: Deep heartbeat encoding and aggregation by RNN Classifier: Fully connected NN Test: 10-fold cross-validation | Physionet/CinC Challenge 2017 MIT-BIH AF MIT-BIH Arrhythmia | 79.9 98.7 96.1 | 97.5 98.6 98.9 | 88.7 98.7 97.5 | 0.81 0.99 0.93 |
| [22] | Features: RR intervals and atrial activity Classifier: Decision rules Test: Long-Term AF database | MIT-BIH AF (training) Long-Term AF (test) | 97.4 95.6 | 98.7 99.3 | 98.1 97.5 | NA NA |
| [23] | Features: QT interval and heart rate Classifier: Error-Correcting Output Codes Test: 10-fold cross-validation | MIT-BIH AF MIT-BIH Arrhythmia | 100 | 90.0 | 95.0 | NA |
| [28] &,† | Features: Raw ECG Classifier: CNN and Elman NN Test: 10-fold cross-validation | MIT-BIH AF MIT-BIH Arrhythmia | 99.6 98.9 | 99.1 98.6 | 99.4 98.8 | NA NA |
| [30] | Features: Raw ECG Classifier: 13-layer CNN Test: Independent dataset | Long-Term AF, Paroxysmal AF, AF termination challenge, Fantasia, MIT-BIH Arrhythmia, Indonesian database | 93.7 | 96.9 | 95.3 | NA |
| Two-lead ECG analysis | ||||||
| [82] | Features: Encoder-decoder of raw ECG Classifier: NN Test: 3-fold cross validation | PhysioNet/CinC Challenge 2021 * | NA | NA | NA | 0.53 $ |
| Six lead-ECG analysis | ||||||
| This study | Features: 26 AV synchronization features Classifier: DenseNet-LimbLeads [32,32,32] Test: Independent dataset | PhysioNet/CinC Challenge 2021 | 90.7 | 94.2 | 92.4 | 0.704 |
| Features: 26 AV synchronization features Classifier: DenseNet-ChestLeads [32,32,4] Test: Independent dataset | PhysioNet/CinC Challenge 2021 | 92.1 | 93.2 | 92.7 | 0.683 | |
| [81] | Features: 109 heart rate variability features Classifier: NN Test: 3-fold cross validation | PhysioNet/CinC Challenge 2021 * | NA | NA | G = 86.7 #,$ | NA |
| 12-lead ECG analysis | ||||||
| This study | Features: 50 AV synchronization features Classifier: DenseNet-12Leads [128,8,8] Test: Independent dataset | PhysioNet/CinC Challenge 2021 | 91.8 | 95.8 | 93.8 | 0.767 |
| [62] | Features: Raw ECG and Fourier spectrum Classifier: 2 CNN, 1 fully connected layer Test: Validation data used during training | PhysioNet/CinC Challenge 2021 * | NA | NA | NA | 0.71 $ |
| [79] | Features: Short-term temporal ECG modulation features from scattering transform Classifier: CNN and LSTM layers Test: 10-fold cross-validation | PhysioNet/CinC Challenge 2021 * | NA | NA | NA | 0.72 $ |
| [80] | Features: Raw ECG Classifier: InceptionTime CNN Test: Validation data used during training | PhysioNet/CinC Challenge 2021 * | 52.0 $ | NA | NA | 0.53 $ |
| [81] | Features: 109 heart rate variability features Classifier: NN Test: 3-fold cross validation | PhysioNet/CinC Challenge 2021 * | NA | NA | G = 86.4 #,$ | NA |
| Lead Set | Study | Method | Se | Sp |
|---|---|---|---|---|
| 1-lead | [83] | 42 GPs | 85.5 | 86.4 |
| 41 practice nurses | 68.7 | 82.7 | ||
| [84] | 457 GPs | |||
| GP manual interpretation | 91.2 | 90.4 | ||
| GP + Diagnostic interpretative software * | 93.4 | 89.2 | ||
| This study | 6 AV synchronization features DenseNet-SingleLeads [16,16,0] | 87.6 | 88.5 | |
| Limb-leads | [83] | 42 GPs | 82.5 | 88.5 |
| 41 practice nurses | 72.0 | 83.4 | ||
| This study | 26 AV synchronization features DenseNet-LimbLeads [32,32,32] | 90.7 | 94.2 | |
| Chest-leads | [83] | 42 GPs | 84.8 | 86.4 |
| 41 practice nurses | 68.7 | 82.8 | ||
| This study | 26 AV synchronization features DenseNet-ChestLeads [32,32,4] | 92.1 | 93.2 | |
| 12-leads | [83] | 42 GPs | 79.8 | 91.6 |
| 41 practice nurses | 77.1 | 85.1 | ||
| Diagnostic interpretative software | 83.3 | 99.1 | ||
| GP + Diagnostic interpretative software ** | 91.9 | 91.1 | ||
| This study | 50 AV synchronization features DenseNet-12Leads [128,8,8] | 91.8 | 95.8 |
Publisher’s Note: MDPI stays neutral with regard to jurisdictional claims in published maps and institutional affiliations. |
© 2022 by the authors. Licensee MDPI, Basel, Switzerland. This article is an open access article distributed under the terms and conditions of the Creative Commons Attribution (CC BY) license (https://creativecommons.org/licenses/by/4.0/).
Share and Cite
Jekova, I.; Christov, I.; Krasteva, V. Atrioventricular Synchronization for Detection of Atrial Fibrillation and Flutter in One to Twelve ECG Leads Using a Dense Neural Network Classifier. Sensors 2022, 22, 6071. https://doi.org/10.3390/s22166071
Jekova I, Christov I, Krasteva V. Atrioventricular Synchronization for Detection of Atrial Fibrillation and Flutter in One to Twelve ECG Leads Using a Dense Neural Network Classifier. Sensors. 2022; 22(16):6071. https://doi.org/10.3390/s22166071
Chicago/Turabian StyleJekova, Irena, Ivaylo Christov, and Vessela Krasteva. 2022. "Atrioventricular Synchronization for Detection of Atrial Fibrillation and Flutter in One to Twelve ECG Leads Using a Dense Neural Network Classifier" Sensors 22, no. 16: 6071. https://doi.org/10.3390/s22166071
APA StyleJekova, I., Christov, I., & Krasteva, V. (2022). Atrioventricular Synchronization for Detection of Atrial Fibrillation and Flutter in One to Twelve ECG Leads Using a Dense Neural Network Classifier. Sensors, 22(16), 6071. https://doi.org/10.3390/s22166071

