Optimization of Magnetoplasmonic ε-Near-Zero Nanostructures Using a Genetic Algorithm
Abstract
:1. Introduction
2. Methodology
2.1. Materials
2.2. GA for TMOKE and Sensitivity Optimization
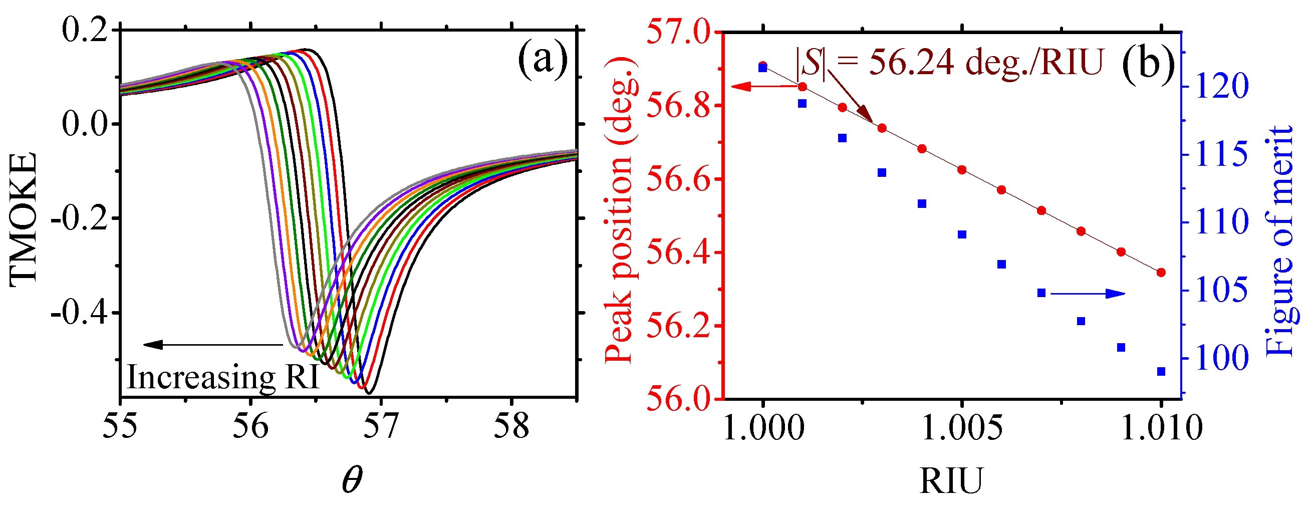
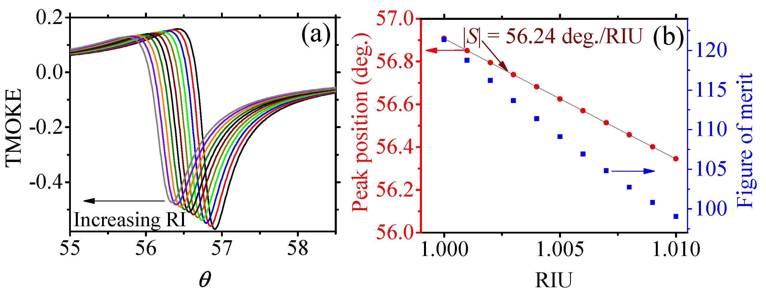
3. Results and Discussion
4. Conclusions
Author Contributions
Funding
Institutional Review Board Statement
Informed Consent Statement
Data Availability Statement
Conflicts of Interest
References
- Mejía-Salazar, J.R.; Oliveira, O.N., Jr. Plasmonic biosensing: Focus review. Chem. Rev. 2018, 118, 10617–10625. [Google Scholar] [CrossRef] [PubMed]
- Fang, Y.; Sun, M. Nanoplasmonic waveguides: Towards applications in integrated nanophotonic circuits. Light. Sci. Appl. 2015, 4, e294. [Google Scholar] [CrossRef] [Green Version]
- Dhiman, M. Plasmonic nanocatalysis for solar energy harvesting and sustainable chemistry. J. Mater. Chem. A 2020, 8, 10074–10095. [Google Scholar] [CrossRef]
- Brongersma Mark, L.; Shalaev Vladimir, M. The Case for Plasmonics. Science 2010, 328, 440–441. [Google Scholar] [CrossRef] [PubMed]
- Schuller, J.A.; Barnard, E.S.; Cai, W.; Jun, Y.C.; White, J.S.; Brongersma, M.L. Plasmonics for extreme light concentration and manipulation. Nat. Mater. 2010, 9, 193–204. [Google Scholar] [CrossRef] [PubMed]
- Fedyanin, D.Y.; Yakubovsky, D.I.; Kirtaev, R.V.; Volkov, V.S. Ultralow-Loss CMOS Copper Plasmonic Waveguides. Nano Lett. 2016, 16, 362–366. [Google Scholar] [CrossRef]
- Xu, Y.; Gao, B.; He, A.; Zhang, T.; Zhang, J. Three-dimensional plasmonic nano-router via optical antennas. Nanophotonics 2021, 10, 1931–1939. [Google Scholar] [CrossRef]
- He, X.; Hu, H.; Yang, Z.; Cai, Y.; Wang, W.; Han, Z.; Shi, J.; Xu, H. On-Chip Detection of Multiwavelength Surface Plasmon Polaritons Based on Plasmonic Demultiplexers. ACS Photonics 2022, 9, 391–397. [Google Scholar] [CrossRef]
- Mossayebi, M.; Parini, A.; Wright, A.J.; Somekh, M.G.; Bellanca, G.; Larkins, E.C. Hybrid photonic-plasmonic platform for high-throughput single-molecule studies. Opt. Mater. Express 2019, 9, 2511–2522. [Google Scholar] [CrossRef]
- Giannini, V.; Fernández-Domínguez, A.I.; Heck, S.C.; Maier, S.A. Plasmonic nanoantennas: Fundamentals and their use in controlling the radiative properties of nanoemitters. Chem. Rev. 2011, 111, 3888–3912. [Google Scholar] [CrossRef]
- Agrawal, A.K.; Ninawe, A.; Dhawan, A. Non-Uniform Narrow Groove Plasmonic Nano-Gratings for SPR Sensing and Imaging. IEEE Access 2021, 9, 10136–10152. [Google Scholar] [CrossRef]
- Traviss, D.; Bruck, R.; Mills, B.; Abb, M.; Muskens, O.L. Ultrafast plasmonics using transparent conductive oxide hybrids in the epsilon-near-zero regime. Appl. Phys. Lett. 2013, 102, 121112. [Google Scholar] [CrossRef] [Green Version]
- Halterman, K.; Elson, J.M. Near-perfect absorption in epsilon-near-zero structures with hyperbolic dispersion. Opt. Express 2014, 22, 7337–7348. [Google Scholar] [CrossRef] [Green Version]
- Yoon, J.; Zhou, M.; Badsha, M.A.; Kim, T.Y.; Jun, Y.C.; Hwangbo, C.K. Broadband Epsilon-Near-Zero Perfect Absorption in the Near-Infrared. Sci. Rep. 2015, 5, 12788. [Google Scholar] [CrossRef] [Green Version]
- Wang, Z.; Zhou, P.; Zheng, G. Electrically switchable highly efficient epsilon-near-zero metasurfaces absorber with broadband response. Results Phys. 2019, 14, 102376. [Google Scholar] [CrossRef]
- Sadatgol, M.; Rahman, M.; Forati, E.; Levy, M.; Güney, D.O. Enhanced Faraday rotation in hybrid magneto-optical metamaterial structure of bismuth-substituted-iron-garnet with embedded-gold-wires. J. Appl. Phys. 2016, 119, 103105. [Google Scholar] [CrossRef]
- Armelles, G.; Cebollada, A.; García-Martín, A.; González, M.U. Magnetoplasmonics: Combining magnetic and plasmonic functionalities. Adv. Opt. Mater. 2013, 1, 10–35. [Google Scholar] [CrossRef] [Green Version]
- David, S.; Polonschii, C.; Luculescu, C.; Gheorghiu, M.; Gáspár, S.; Gheorghiu, E. Magneto-plasmonic biosensor with enhanced analytical response and stability. Biosens. Bioelectron. 2015, 63, 525–532. [Google Scholar] [CrossRef]
- Maccaferri, N.; Gregorczyk, K.E.; de Oliveira, T.V.A.G.; Kataja, M.; van Dijken, S.; Pirzadeh, Z.; Dmitriev, A.; Akerman, J.; Knez, M.; Vavassori, P. Ultrasensitive and label-free molecular-level detection enabled by light phase control in magnetoplasmonic nanoantennas. Nat. Commun. 2015, 6, 6150. [Google Scholar] [CrossRef]
- Manera, M.G.; Pellegrini, G.; Lupo, P.; Bello, V.; de Julián Fernández, C.; Casoli, F.; Rella, S.; Malitesta, C.; Albertini, F.; Mattei, G.; et al. Functional magneto-plasmonic biosensors transducers: Modelling and nanoscale analysis. Sens. Actuators B Chem. 2017, 239, 100–112. [Google Scholar] [CrossRef]
- Rizal, C.; Manera, M.G.; Ignatyeva, D.O.; Mejía-Salazar, J.R.; Rella, R.; Belotelov, V.I.; Pineider, F.; Maccaferri, N. Magnetophotonics for sensing and magnetometry toward industrial applications. J. Appl. Phys. 2021, 130, 230901. [Google Scholar] [CrossRef]
- Girón-Sedas, J.A.; Reyes Gómez, F.; Albella, P.; Mejía-Salazar, J.R.; Oliveira, O.N. Giant enhancement of the transverse magneto-optical Kerr effect through the coupling of ε-near-zero and surface plasmon polariton modes. PRB 2017, 96, 075415. [Google Scholar] [CrossRef] [Green Version]
- Moncada-Villa, E.; Oliveira, O.N.; Mejía-Salazar, J.R. ε-Near-Zero Materials for Highly Miniaturizable Magnetoplasmonic Sensing Devices. J. Phys. Chem. C 2019, 123, 3790–3794. [Google Scholar] [CrossRef]
- Moncada-Villa, E.; Oliveira, O.N.; Mejía-Salazar, J.R. Uniaxial ε-near-zero metamaterials for giant enhancement of the transverse magneto-optical Kerr effect. PRB 2020, 102, 165304. [Google Scholar] [CrossRef]
- Johnson, J.M.; Rahmat-Samii, V. Genetic algorithms in engineering electromagnetics. IEEE Antennas Propag. Mag. 1997, 39, 7–21. [Google Scholar] [CrossRef] [Green Version]
- de Figueiredo, F.A.P.; Ynoguti, C.A. Blind Source Separation in Reverberant Environments Using Genetic Algorithms. In Proceedings of the International Workshop on Telecommunications—IWT2011, Santa Rita do Sapucaí, Brazil, 5 May 2011. [Google Scholar]
- Li, D.; Zhou, H.; Hui, X.; He, X.; Mu, X. Plasmonic Biosensor Augmented by a Genetic Algorithm for Ultra-Rapid, Label-Free, and Multi-Functional Detection of COVID-19. Anal. Chem. 2021, 93, 9437–9444. [Google Scholar] [CrossRef]
- Mayer, A.; Bi, H.; Griesse-Nascimento, S.; Hackens, B.; Loicq, J.; Mazur, E.; Deparis, O.; Lobet, M. Genetic-algorithm-aided ultra-broadband perfect absorbers using plasmonic metamaterials. Opt. Express 2022, 30, 1167–1181. [Google Scholar] [CrossRef]
- Chen, X.; Zhang, C.; Yang, F.; Liang, G.; Li, Q.; Guo, L.J. Plasmonic Lithography Utilizing Epsilon Near Zero Hyperbolic Metamaterial. ACS Nano 2017, 11, 9863–9868. [Google Scholar] [CrossRef]
- Wang, X.; Choi, J.; Liu, J.; Malis, O.; Li, X.; Bermel, P.; Zhang, X.; Wang, H. 3D Hybrid Trilayer Heterostructure: Tunable Au Nanorods and Optical Properties. ACS Appl. Mater. Interfaces 2020, 12, 45015–45022. [Google Scholar] [CrossRef]
- Alekseyev, L.V.; Narimanov, E.E.; Tumkur, T.; Li, H.; Barnakov, Y.A.; Noginov, M.A. Uniaxial epsilon-near-zero metamaterial for angular filtering and polarization control. Appl. Phys. Lett. 2010, 97, 131107. [Google Scholar] [CrossRef]
- Aschenbach, B. X-ray telescopes. Rep. Prog. Phys. 1985, 48, 579–629. [Google Scholar] [CrossRef]
- Caballero, B.; García-Martín, A.; Cuevas, J.C. Generalized scattering-matrix approach for magneto-optics in periodically patterned multilayer systems. PRB 2012, 85, 245103. [Google Scholar] [CrossRef] [Green Version]
- Ferreiro-Vila, E.; González-Díaz, J.B.; Fermento, R.; González, M.U.; García-Martín, A.; García-Martín, J.M.; Cebollada, A.; Armelles, G.; Meneses-Rodríguez, D.; Sandoval, E.M.n. Intertwined magneto-optical and plasmonic effects in Ag/Co/Ag layered structures. Phys. Rev. B 2009, 80, 125132. [Google Scholar] [CrossRef] [Green Version]
- Bingham, J.M.; Anker, J.N.; Kreno, L.E.; Van Duyne, R.P. Gas Sensing with High-Resolution Localized Surface Plasmon Resonance Spectroscopy. J. Am. Chem. Soc. 2010, 132, 17358–17359. [Google Scholar] [CrossRef] [Green Version]
- Pfaffenbach, E.S.; Carvalho, W.O.; Oliveira, O.N., Jr.; Mejía-Salazar, J.R. Design of Nanoarchitectures for Magnetoplasmonic Biosensing with Near-Zero-Transmittance Conditions. ACS Appl. Mater. Interfaces 2021, 13, 60672–60677. [Google Scholar] [CrossRef]






Publisher’s Note: MDPI stays neutral with regard to jurisdictional claims in published maps and institutional affiliations. |
© 2022 by the authors. Licensee MDPI, Basel, Switzerland. This article is an open access article distributed under the terms and conditions of the Creative Commons Attribution (CC BY) license (https://creativecommons.org/licenses/by/4.0/).
Share and Cite
de Figueiredo, F.A.P.; Moncada-Villa, E.; Mejía-Salazar, J.R. Optimization of Magnetoplasmonic ε-Near-Zero Nanostructures Using a Genetic Algorithm. Sensors 2022, 22, 5789. https://doi.org/10.3390/s22155789
de Figueiredo FAP, Moncada-Villa E, Mejía-Salazar JR. Optimization of Magnetoplasmonic ε-Near-Zero Nanostructures Using a Genetic Algorithm. Sensors. 2022; 22(15):5789. https://doi.org/10.3390/s22155789
Chicago/Turabian Stylede Figueiredo, Felipe A. P., Edwin Moncada-Villa, and Jorge Ricardo Mejía-Salazar. 2022. "Optimization of Magnetoplasmonic ε-Near-Zero Nanostructures Using a Genetic Algorithm" Sensors 22, no. 15: 5789. https://doi.org/10.3390/s22155789
APA Stylede Figueiredo, F. A. P., Moncada-Villa, E., & Mejía-Salazar, J. R. (2022). Optimization of Magnetoplasmonic ε-Near-Zero Nanostructures Using a Genetic Algorithm. Sensors, 22(15), 5789. https://doi.org/10.3390/s22155789

