Optical Fiber Sensor for Monitoring the Evaporation of Ethanol–Water Mixtures
Abstract
:1. Introduction
2. Principle of Operation
3. Materials and Methods
3.1. HSCF Sensor Fabrication
3.2. Experimental Setup and Spectral Characterization
3.3. Sensor Calibration
4. Results and Discussion
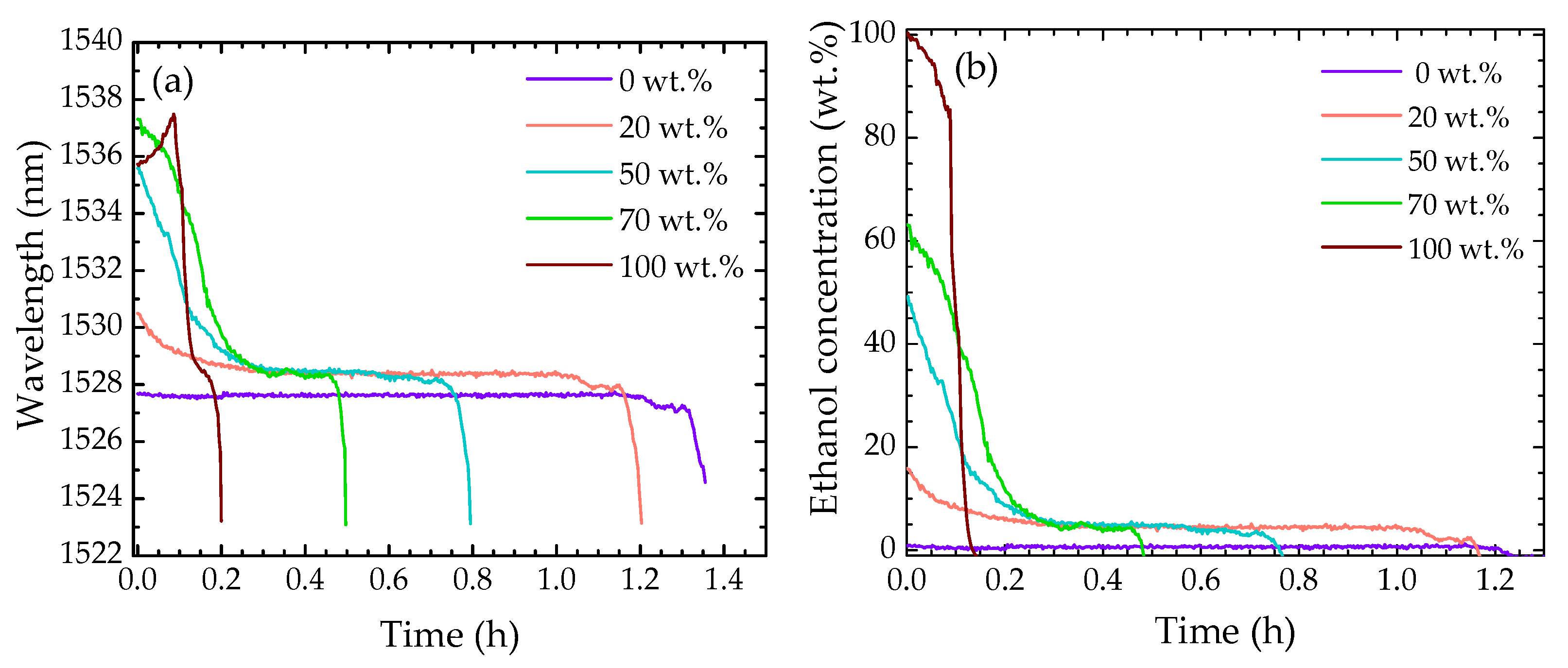
4.1. Evaporation Analysis
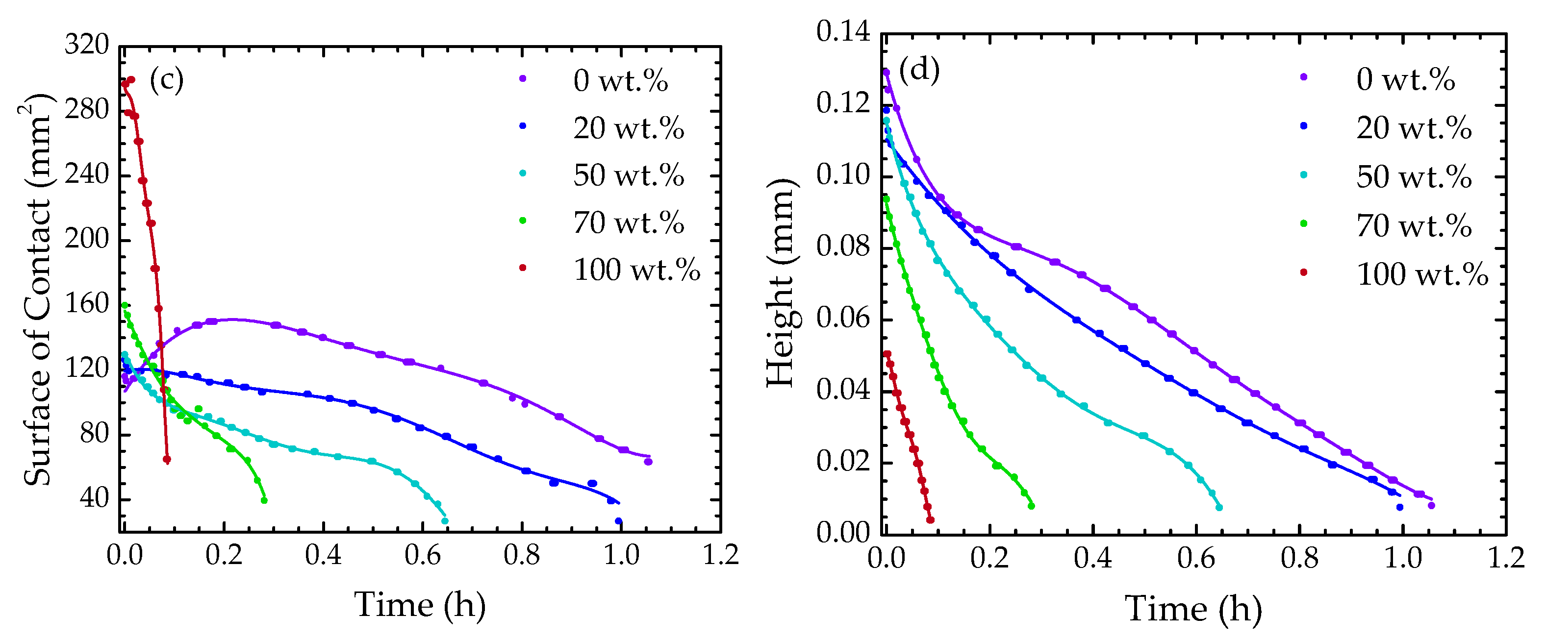
4.2. Image Analysis
4.3. Temperature Monitoring
5. Conclusions
Author Contributions
Funding
Institutional Review Board Statement
Informed Consent Statement
Data Availability Statement
Conflicts of Interest
References
- Nguyen, T.A.H.; Nguyen, A.V.; Hampton, M.A.; Xu, Z.P.; Huang, L.; Rudolph, V. Theoretical and experimental analysis of droplet evaporation on solid surfaces. Chem. Eng. Sci. 2012, 69, 522–529. [Google Scholar] [CrossRef]
- Diddens, C.; Kuerten, J.G.M.; van der Geld, C.W.M.; Wijshoff, H.M.A. Modeling the evaporation of sessile multi-component droplets. J. Colloid Interface Sci. 2017, 487, 426–436. [Google Scholar] [CrossRef] [PubMed]
- Majee, S.; Saha, A.; Chaudhuri, S.; Chakravortty, D.; Basu, S. Two-dimensional mathematical framework for evaporation dynamics of respiratory droplets. Phys. Fluids 2021, 33, 103302. [Google Scholar] [CrossRef] [PubMed]
- Sefiane, B.; Tadriste, L.; Douglas, M. Experimental study of evaporating water-ethanol sessile drop: Influence of concentration. Int. J. Heat Mass Transf. 2003, 46, 4527–4534. [Google Scholar] [CrossRef]
- Brutin, D.; Starov, V. Recent advances in droplet wetting and evaporation. Chem. Soc. Rev. 2018, 47, 558–585. [Google Scholar] [CrossRef]
- Liu, C.; Bonaccurso, E.; Butt, H. Evaporation of sessile water/ethanol drops in a controlled environment. Phys. Chem. Chem. Phys. 2008, 10, 7150–7157. [Google Scholar] [CrossRef]
- Innocenzi, P.; Malfatti, L.; Costacurta, S.; Kidchob, T.; Piccinini, M.; Marcelli, A. Evaporation of ethanol-water mixtures studied by time-resolved infrared spectroscopy. J. Phys. Chem. A 2008, 112, 6512–6516. [Google Scholar] [CrossRef]
- Kita, Y.; Okauchi, Y.; Fukatani, Y.; Orejon, D.; Kohno, M.; Takata, Y.; Sefiane, K. Quantifying vapor transfer into evaporating ethanol droplets in a humid atmosphere. Phys. Chem. Chem. Phys. 2018, 20, 19430–19440. [Google Scholar] [CrossRef]
- You, D.; Seon, Y.; Jang, Y.; Bang, J.; Oh, J.; Jung, K. A portable gas chromatography for real-time monitoring of aromatic organic compounds in air samples. J. Chromatogr. A 2020, 1625, 461267. [Google Scholar] [CrossRef]
- Langford, V.S.; Graves, I.; McEwan, M.J. Rapid monitoring of volatile organic compounds: A comparison between gas chromatography/mass spectrometry and selected ion flow tube mass spectrometry. Rapid Commun. Mass Spectrom. 2014, 28, 10–18. [Google Scholar] [CrossRef]
- Khan, S.; Le Calvé, S.; Newport, D. A review of optical interferometry techniques for VOC detection. Sens. Actuator A Phys. 2020, 302, 111782. [Google Scholar] [CrossRef]
- Novais, S.; Ferreira, M.S.; Pinto, J.L. Determination of thermo-optic coefficient of ethanol-water mixtures with optical fiber tip sensor. Opt. Fiber Technol. 2018, 45, 276–279. [Google Scholar] [CrossRef]
- Galstyan, V.; D’Arco, A.; Fabrizio, M.; Poli, N.; Lupi, S.; Comini, E. Detection of volatile organic compounds: From chemical gas sensors to terahertz spectroscopy. Rev. Anal. Chem. 2021, 40, 33–57. [Google Scholar] [CrossRef]
- Memon, S.F.; Wang, R.; Strunz, B.; Chowdhry, B.S.; Pembroke, J.T.; Lewis, E. A review of optical fibre ethanol sensors: Current state and future prospects. Sensors 2022, 22, 950. [Google Scholar] [CrossRef]
- Pathak, A.K.; Viphavakit, C. A review on all-optical fiber-based VOC sensors: Heading towards the development of promising technology. Sens. Actuator A Phys. 2022, 338, 113455. [Google Scholar] [CrossRef]
- Paixão, T.; Nunes, A.S.; Bierlich, J.; Kobelke, J.; Ferreira, M.S. Fabry-Perot interferometer based on a suspended core fiber for detection of gaseous ethanol. Appl. Sci. 2022, 12, 726. [Google Scholar] [CrossRef]
- Zheng, H.; Huang, B.; Li, Y.; Zhang, R.; Gu, X.; Li, Z.; Lin, H.; Zhu, W.; Tang, J.; Guan, H.; et al. Residual thickness enhanced core-removed D-shaped single-mode fiber and its application for VOC evaporation monitoring. Opt. Express 2020, 28, 15641–15651. [Google Scholar] [CrossRef]
- Hromadka, J.; Korposh, S.; Partridge, M.; James, S.W.; Davis, F.; Crump, D.; Tatam, R.P. Volatile organic compounds sensing using optical fibre long period grating with mesoporous nano-scale coating. Sensors 2017, 17, 205. [Google Scholar] [CrossRef] [Green Version]
- He, C.; Liu, L.; Korposh, S.; Correia, R.; Morgan, S.P. Volatile organic compound vapour measurements using a localised surface plasmon resonance optical fibre sensor decorated with a metal-organic framework. Sensors 2021, 21, 1420. [Google Scholar] [CrossRef]
- Preter, E.; Katims, R.A.; Artel, V.; Sukenik, C.N.; Donlagic, D.; Zadok, A. Monitoring and analysis of pendant droplets evaporation using bare and monolayer-coated optical fiber facets. Opt. Mater. Express 2014, 4, 903–9115. [Google Scholar] [CrossRef] [Green Version]
- Preter, E.; Preloznik, B.; Artel, V.; Sukenik, C.N.; Donlagic, D.; Zadok, A. Monitoring the evaporation of fluids from fiber-optic micro-cell cavities. Sensors 2013, 13, 15261–15273. [Google Scholar] [CrossRef] [PubMed] [Green Version]
- Moura, J.P.; Baierl, H.; Auguste, J.-L.; Jamier, R.; Roy, P.; Santos, J.L.; Frazão, O. Evaporation of volatile compounds in suspended-core fibers. Opt. Lett. 2014, 39, 3868–3871. [Google Scholar] [CrossRef] [PubMed]
- Gomes, A.D.; Ferreira, M.S.; Moura, J.P.; André, R.M.; Kobelke, J.; Bierlich, J.; Wondraczek, K.; Schuster, K.; Frazão, O. Acetone evaporation and water vapor detection using a caterpillar-like microstructured fiber. Microw. Opt. Technol. Lett. 2016, 58, 679–683. [Google Scholar] [CrossRef] [Green Version]
- Pereira, D.; Bierlich, J.; Kobelke, J.; Ferreira, M.S. Double antiresonance fiber sensor for the simultaneous measurement of curvature and temperature. Sensors 2021, 21, 7778. [Google Scholar] [CrossRef] [PubMed]
- Pereira, D.; Bierlich, J.; Kobelke, J.; Ferreira, M.S. Hybrid sensor based on a hollow square core fiber for temperature independent refractive index detection. Opt. Express 2022, 30, 17754–17766. [Google Scholar] [CrossRef]
- Ghoufi, A.; Artzner, F.; Malfreyt, P. Physical properties and hydrogen-bonding network of water-ethanol mixtures from molecular dynamics simulations. J. Phys. Chem. B 2016, 120, 793–802. [Google Scholar] [CrossRef]
- Noskov, S.Y.; Lamoureux, G.; Roux, B. Molecular dynamics study of hydration in ethanol-water mixtures using a polarizable force field. J. Phys. Chem. B 2005, 109, 6705–6713. [Google Scholar] [CrossRef]
- Bozorgmehr, B.; Murray, B.T. Numerical simulation of evaporation of ethanol-water mixture droplets on isothermal and heated substrates. ACS Omega 2021, 6, 12577–12590. [Google Scholar] [CrossRef]
- Middelburg, L.M.; Graaf, G.; Bossche, A.; Bastemeijer, J.; Ghaderi, M.; Wolffenbuttel, F.S.; Visser, J.; Soltis, R.; Wolffenbuttel, R.F. Multi-domain spectroscopy for composition measurement of water-containing bio-ethanol fuel. Fuel Process. Technol. 2017, 167, 127–135. [Google Scholar] [CrossRef]
- Brutin, D.; Sobac, B.; Nicloux, C. Influence of substrate nature on the evaporation of a sessile drop of blood. J. Heat Transf. 2012, 134, 061101. [Google Scholar] [CrossRef]
- Cheng, A.K.H.; Soolaman, D.M.; Yu, H. Evaporation of microdroplets of ethanol-water mixtures on gold surfaces modified with self-assembled monolayers. J. Phys. Chem. B 2006, 110, 11267–11271. [Google Scholar] [CrossRef] [PubMed]
- Stalder, A.F.; Kulik, G.; Sage, D.; Barbiere, L.; Hoffmann, P. A Snake-based approach to accurate determination of both contact points and contact angles. Colloids Surf. A Physicochem. Eng. 2006, 286, 92–103. [Google Scholar] [CrossRef] [Green Version]
- Gurrala, P.; Katre, P.; Balusamy, S.; Banerjee, S.; Sahu, K.C. Evaporation of ethanol-water sessile droplet of different compositions at an elevated substrate temperature. Int. J. Heat Mass Transf. 2019, 145, 118770. [Google Scholar] [CrossRef]











Publisher’s Note: MDPI stays neutral with regard to jurisdictional claims in published maps and institutional affiliations. |
© 2022 by the authors. Licensee MDPI, Basel, Switzerland. This article is an open access article distributed under the terms and conditions of the Creative Commons Attribution (CC BY) license (https://creativecommons.org/licenses/by/4.0/).
Share and Cite
Pereira, D.; Bierlich, J.; Kobelke, J.; Pereira, V.; Ferreira, M.S. Optical Fiber Sensor for Monitoring the Evaporation of Ethanol–Water Mixtures. Sensors 2022, 22, 5498. https://doi.org/10.3390/s22155498
Pereira D, Bierlich J, Kobelke J, Pereira V, Ferreira MS. Optical Fiber Sensor for Monitoring the Evaporation of Ethanol–Water Mixtures. Sensors. 2022; 22(15):5498. https://doi.org/10.3390/s22155498
Chicago/Turabian StylePereira, Diana, Jörg Bierlich, Jens Kobelke, Vanda Pereira, and Marta S. Ferreira. 2022. "Optical Fiber Sensor for Monitoring the Evaporation of Ethanol–Water Mixtures" Sensors 22, no. 15: 5498. https://doi.org/10.3390/s22155498
APA StylePereira, D., Bierlich, J., Kobelke, J., Pereira, V., & Ferreira, M. S. (2022). Optical Fiber Sensor for Monitoring the Evaporation of Ethanol–Water Mixtures. Sensors, 22(15), 5498. https://doi.org/10.3390/s22155498

