Enhanced Angle-of-Arrival and Polarization Parameter Estimation Using Localized Hybrid Dual-Polarized Arrays
Abstract
:1. Introduction
- We develop an enhanced AoA estimation algorithm for dual-polarized arrays, which effectively improves the calibration of differential signals and thus the estimate of phase offset between adjacent subarrays. Given the phase offset, an initial AoA estimate can be obtained and used to update the phase offset estimation, which improves the accuracy of AoA estimation.
- To improve the accuracy of the polarization parameter estimation, based on the AoA estimation results, we further propose a cross-correlation-to-power ratio based estimation approach, which exploits the total received power of signals for ratio calculation instead of only using one axis dipole. Furthermore, the proposed approach calculates the cross-correlation and power before digital beamforming rather than after digital beamforming in [8], which can achieve a higher average SNR for polarization estimation.
- To evaluate the estimation performance, we derive the mean square error lower bounds (MSELBs) of AoA estimation, and analyse the average SNRs for polarization parameter estimation. It is analytically shown that the proposed approach has higher average SNRs than that in [8].
2. System Models
Hybrid Dual-Polarized Array with Localized Subarrays
3. Enhanced Aoa Estimation Approach
3.1. Estimation of
3.2. Estimation of u
| Algorithm 1 Enhanced AoA Estimation |
3.3. Extension to Uniform Planar Array
4. Enhanced Polarization State Estimation Approach
4.1. Estimation of Polarization State
| Algorithm 2 Enhanced Polarization Estimation |
4.2. Extension to Planar Arrays
4.3. Extension to EMVS with z-Axis Dipole
5. Estimation Performance Evaluation
5.1. The MSELBs of AoA Estimation
5.2. Analysis of Polarization Estimation Performance
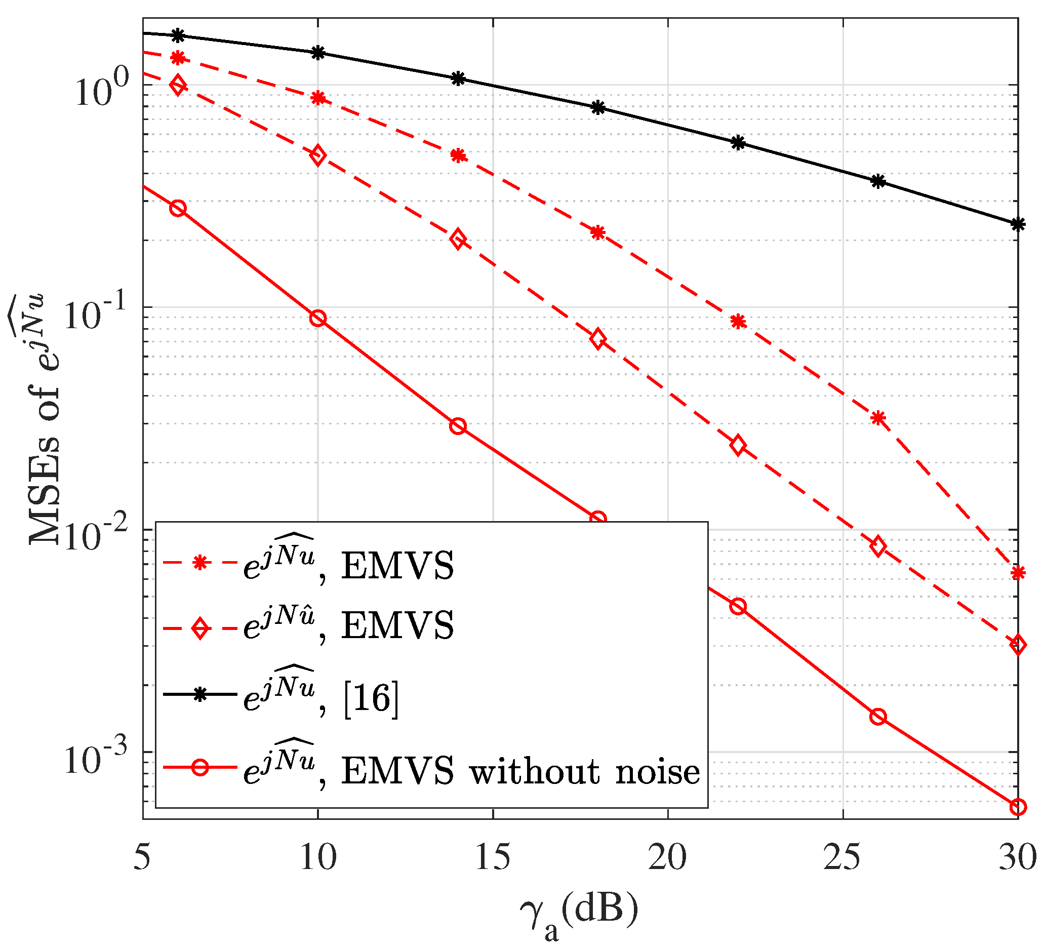
6. Numerical and Simulation Results
7. Conclusions
Author Contributions
Funding
Institutional Review Board Statement
Informed Consent Statement
Data Availability Statement
Conflicts of Interest
References
- Heath, R.W.; Gonzalez-Prelcic, N.; Rangan, S.; Roh, W.; Sayeed, A.M. An overview of signal processing techniques for millimeter wave MIMO systems. IEEE J. Sel. Topics Signal Process. 2016, 10, 436–453. [Google Scholar] [CrossRef]
- Swindlehurst, A.L.; Ayanoglu, E.; Heydari, P.; Capolino, F. Millimeter-wave massive MIMO: The next wireless revolution? IEEE Commun. Mag. 2014, 52, 56–62. [Google Scholar] [CrossRef]
- Sohrabi, F.; Yu, W. Hybrid digital and analog beamforming design for large-scale antenna arrays. IEEE J. Sel. Topics Signal Process. 2016, 10, 501–513. [Google Scholar] [CrossRef] [Green Version]
- Chuang, S.; Wu, W.; Liu, Y. High-Resolution AoA Estimation for Hybrid Antenna Arrays. IEEE Trans. Antennas Propag. 2015, 63, 2955–2968. [Google Scholar] [CrossRef]
- Pi, Z.; Khan, F. An introduction to millimeter-wave mobile broadband systems. IEEE Antennas Propag Mag. 2011, 49, 101–107. [Google Scholar] [CrossRef]
- Ta, S.X.; Park, I.; Ziolkowski, R.W. Crossed dipole antennas: A review. IEEE Antennas Propag Mag. 2015, 57, 107–122. [Google Scholar] [CrossRef]
- Sung, L.; Park, D.; Cho, D.-H. Limited Feedback Hybrid Beamforming Based on Dual Polarized Array Antenna. IEEE Commun. Lett. 2018, 22, 1486–1489. [Google Scholar] [CrossRef]
- Li, H.; Wang, T.Q.; Huang, X. Joint Adaptive AoA and Polarization Estimation Using Hybrid Dual-Polarized Antenna Arrays. IEEE Access 2019, 7, 76353–76366. [Google Scholar] [CrossRef]
- Li, X.; Wang, S. Energy management and operational control methods for grid battery energy storage systems. CSEE JPES 2021, 7, 1026–1040. [Google Scholar]
- Zhang, N.; Sun, Q.; Yang, L.; Li, Y. Event-Triggered Distributed Hybrid Control Scheme for the Integrated Energy System. IEEE Trans. Industr. Inform. 2021, 18, 835–846. [Google Scholar] [CrossRef]
- Zhang, J.A.; Huang, X.; Dyadyuk, V.; Guo, Y.J. Massive hybrid antenna array for millimeter-wave cellular communications. IEEE Wireless Commun. 2015, 22, 79–87. [Google Scholar] [CrossRef]
- Zhang, J.A.; Huang, X.; Guo, Y.J. Adaptive searching and tracking algorithm for AoA estimation in localized hybrid array. In Proceedings of the 2015 IEEE International Conference on Communication Workshop (ICCW), London, UK, 8–12 June 2015; pp. 1095–1100. [Google Scholar]
- Huang, X.; Guo, Y.J.; Bunton, J.D. A hybrid adaptive antenna array. IEEE Trans. Wireless Commun. 2010, 9, 1770–1779. [Google Scholar] [CrossRef]
- Huang, X.; Guo, Y.J. Frequency-Domain AoA Estimation and Beamforming with Wideband Hybrid Arrays. IEEE Trans. Wireless Commun. 2011, 10, 2543–2553. [Google Scholar] [CrossRef]
- Zhang, J.A.; Ni, W.; Cheng, P.; Lu, Y. Angle-of-Arrival Estimation Using Different Phase Shifts Across Subarrays in Localized Hybrid Arrays. IEEE Commun. Lett. 2016, 20, 2205–2208. [Google Scholar] [CrossRef] [Green Version]
- Wu, K.; Ni, W.; Su, T.; Liu, R.P.; Guo, Y.J. Robust Unambiguous Estimation of Angle-of-Arrival in Hybrid Array with Localized Analog Subarrays. IEEE Trans. Wireless Commun. 2018, 17, 2987–3002. [Google Scholar] [CrossRef]
- Wu, K.; Ni, W.; Su, T.; Liu, R.P.; Guo, Y.J. Fast and Accurate Estimation of Angle-of-Arrival for Satellite-Borne Wideband Communication System. IEEE J. Sel. Areas Commun. 2018, 36, 314–326. [Google Scholar] [CrossRef]
- Li, J.; Compton, R.T. Angle and polarization estimation using ESPRIT with a polarization sensitive array. IEEE Trans. Antennas Propag. 1991, 39, 1376–1383. [Google Scholar] [CrossRef]
- Li, J.; Compton, R.T. Two-dimensional angle and polarization estimation using the ESPRIT algorithm. IEEE Trans. Antennas Propag. 1992, 40, 550–555. [Google Scholar] [CrossRef]
- Wong, K.T.; Zoltowski, M.D. Uni-vector-sensor ESPRIT for multisource azimuth, elevation, and polarization estimation. IEEE Trans. Antennas Propag. 1997, 45, 1467–1474. [Google Scholar] [CrossRef] [Green Version]
- Hou, C.; Fang, C.; Deng, Z.; Wang, Y.; Si, W. Two-Dimensional Direction-of-Arrival and Polarization Parameter Estimation Using Parallel Co-Prime Polarization Sensitive Array. IEEE Access. 2020, 8, 6566–6574. [Google Scholar] [CrossRef]
- Si, W.; Wang, Y.; Zhang, C. Three-Parallel Co-Prime Polarization Sensitive Array for 2-D DOA and Polarization Estimation via Sparse Representation. IEEE Access. 2019, 7, 15404–15413. [Google Scholar] [CrossRef]
- Wan, L.; Liu, K.; Liang, Y.-C.; Zhu, T. DOA and Polarization Estimation for Non-Circular Signals in 3-D Millimeter Wave Polarized Massive MIMO Systems. IEEE Trans. Wireless Commun. 2021, 20, 3152–3167. [Google Scholar] [CrossRef]






Publisher’s Note: MDPI stays neutral with regard to jurisdictional claims in published maps and institutional affiliations. |
© 2022 by the authors. Licensee MDPI, Basel, Switzerland. This article is an open access article distributed under the terms and conditions of the Creative Commons Attribution (CC BY) license (https://creativecommons.org/licenses/by/4.0/).
Share and Cite
Yu, X.; Li, H.; Zhang, J.A.; Huang, X.; Cheng, Z. Enhanced Angle-of-Arrival and Polarization Parameter Estimation Using Localized Hybrid Dual-Polarized Arrays. Sensors 2022, 22, 5207. https://doi.org/10.3390/s22145207
Yu X, Li H, Zhang JA, Huang X, Cheng Z. Enhanced Angle-of-Arrival and Polarization Parameter Estimation Using Localized Hybrid Dual-Polarized Arrays. Sensors. 2022; 22(14):5207. https://doi.org/10.3390/s22145207
Chicago/Turabian StyleYu, Xiaolu, Hang Li, Jian Andrew Zhang, Xiaojing Huang, and Zhiqun Cheng. 2022. "Enhanced Angle-of-Arrival and Polarization Parameter Estimation Using Localized Hybrid Dual-Polarized Arrays" Sensors 22, no. 14: 5207. https://doi.org/10.3390/s22145207
APA StyleYu, X., Li, H., Zhang, J. A., Huang, X., & Cheng, Z. (2022). Enhanced Angle-of-Arrival and Polarization Parameter Estimation Using Localized Hybrid Dual-Polarized Arrays. Sensors, 22(14), 5207. https://doi.org/10.3390/s22145207

