Pose Estimation for Visible Light Systems Using a Quadrature Angular Diversity Aperture Receiver
Abstract
:1. Introduction
- We first model the RSS vector of the QADA at an arbitrary pose using the perspective projection model. With the help of this model, we derive an explicit expression relating the RSS with the intrinsic parameters, i.e., the aperture height and the misalignment of the aperture, and the extrinsic parameters, i.e., the position and orientation of the receiver.
- We use the strategy of the normalized differences of the RSS values to make the estimator robust against variations in the transmitted power and radiation pattern. To be able to derive a simple estimation algorithm, we replace the complex true PDF of the resulting observations by an approximated Gaussian PDF based on the first order Taylor series approximation of the observation.
- Using this approximated PDF, we propose a calibration algorithm based on the least squares (LS) principle. The algorithm jointly estimates the intrinsic and extrinsic parameters from which the intrinsic parameters are extracted. This estimation is performed in an iterative way, where the principle of optimization on manifolds is used. After calibration, a simplified version of the estimation algorithm is used to extract the pose, as now we use the calibrated intrinsic parameters as prior knowledge for the misalignment.
- To evaluate the optimality of the proposed algorithms, we derive the misspecified Cramér-Rao bound (MCRB) to take into account the effect of the approximated PDF. We compare the MCRB with the Cramér-Rao bound (CRB) for the detected RSS values to quantify the performance loss due to using the normalized differences of the RSS values to make the estimator robust against imperfect knowledge of the transmitted power and radiation pattern. The designed algorithms are verified by Monte Carlo simulations.
2. System Description
2.1. Receiver Structure
2.2. Channel Link Model
- Step A: This step converts the LED coordinates in the system frame to the coordinates in the receiver frame using the matrix .
- Step B: This scales along the projection line with the factor where and gets rid of the last component of the homogeneous coordinates through the matrix , consisting of the identity matrix extended with a zero column, as this last component is irrelevant for the determination of the position of the light spot. This results in the position of the light spot in the receiver frame.
- Step C: This transforms into the 2D coordinates by discarding the z coordinate through the mapping of on the matrix and adds the misalignment vector .
- The light spot has area , implying .
- Taking into account that the area of a circular segment with central angle , equals , we find that and .
- The overlap area with the first quadrant is a combination of a circle sector with central angle having an area , a rectangle with area and two triangles with areas , .
2.3. Approximation to the PDF of the Observation
- is independent of the channel gain parameters and the transmitted power.
- At high SNR, the distribution of is given by with
3. Calibration and Pose Estimation
3.1. Calibration Procedure
3.2. Theoretical Lower Bound
3.3. Pose Estimation
4. Numerical Assessment
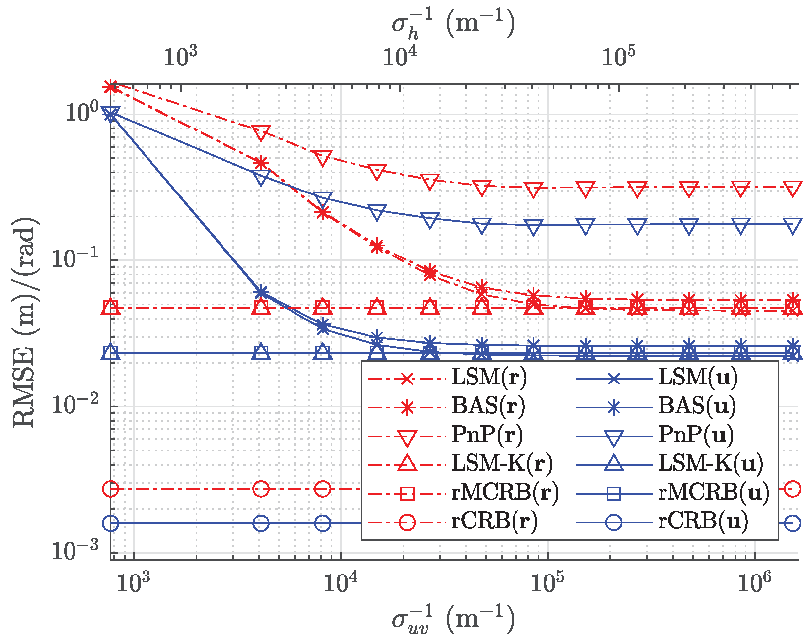
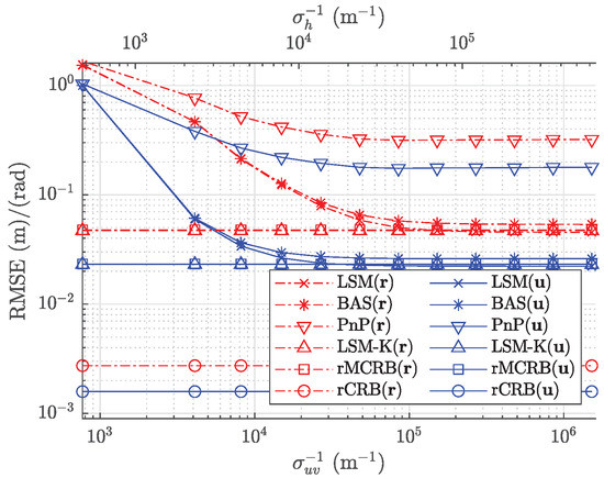
4.1. Calibration
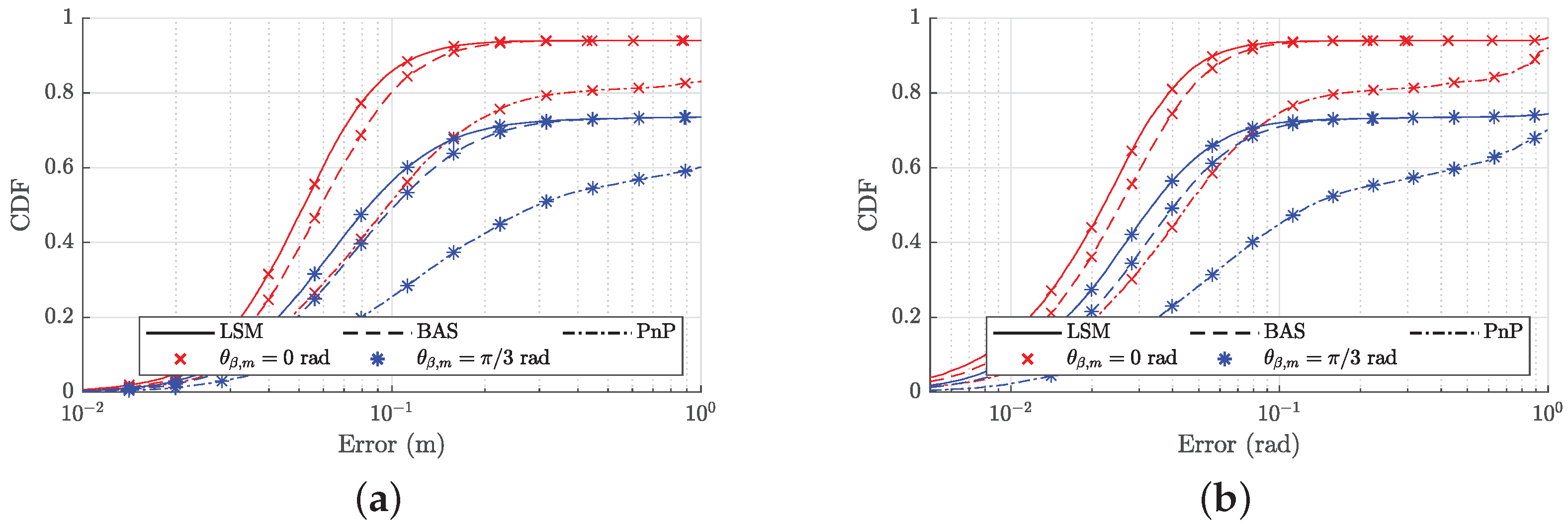
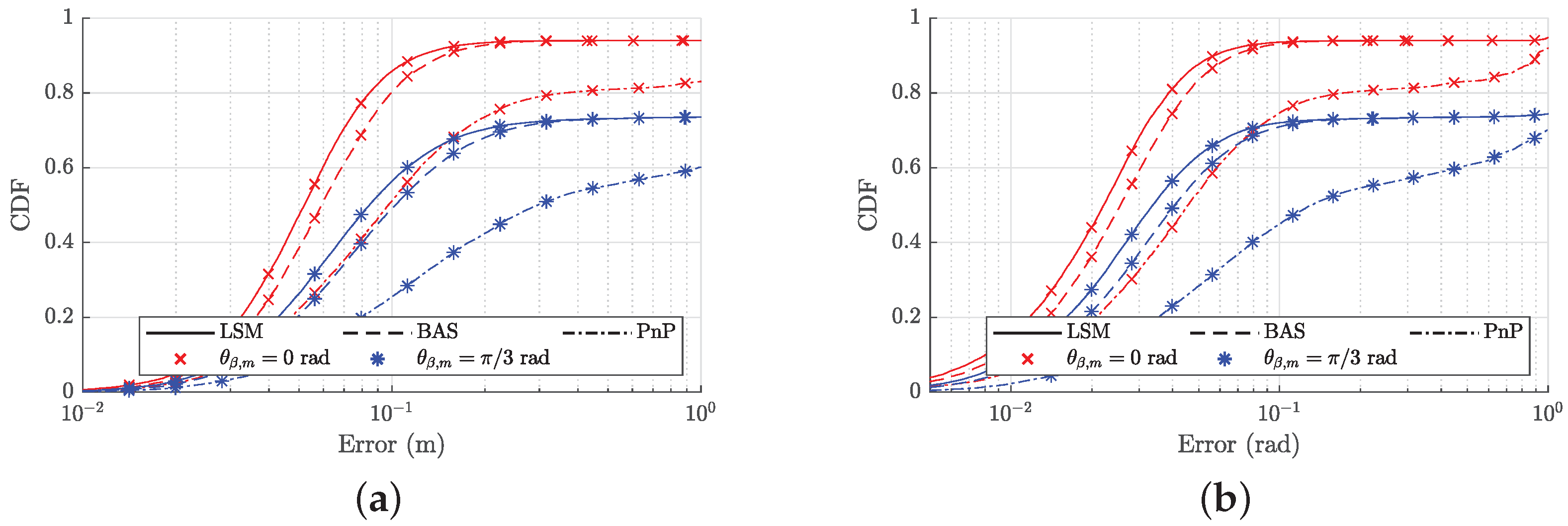
4.2. Pose Estimation
5. Conclusions
Author Contributions
Funding
Institutional Review Board Statement
Informed Consent Statement
Data Availability Statement
Conflicts of Interest
Appendix A. The Expressions for the Gradient ∇Θμi,j
References
- Hassan, N.U.; Naeem, A.; Pasha, M.A.; Jadoon, T.; Yuen, C. Indoor Positioning Using Visible LED Lights: A Survey. ACM Comput. Surv. 2015, 48, 1–32. [Google Scholar] [CrossRef]
- Zhang, X.; Gao, Q.; Gong, C.; Xu, Z. User grouping and power allocation for NOMA visible light communication multi-cell networks. IEEE Commun. Lett. 2016, 21, 777–780. [Google Scholar] [CrossRef]
- Alsaadi, F.E.; Elmirghani, J.M. High-speed spot diffusing mobile optical wireless system employing beam angle and power adaptation and imaging receivers. J. Light. Technol. 2010, 28, 2191–2206. [Google Scholar] [CrossRef]
- Eroglu, Y.S.; Anjinappa, C.K.; Guvenc, I.; Pala, N. Slow Beam Steering and NOMA for Indoor Multi-User Visible Light Communications. IEEE Trans. Mob. Comput. 2021, 20, 1627–1641. [Google Scholar] [CrossRef]
- Eroglu, Y.S.; Guvenc, I.; Sahin, A.; Pala, N.; Yuksel, M. Diversity combining and piezoelectric beam steering for multi-element VLC networks. In Proceedings of the 3rd Workshop on Visible Light Communication Systems, New York, NY, USA, 3–7 October 2016; pp. 25–30. [Google Scholar]
- Rahaim, M.B.; Morrison, J.; Little, T.D.C. Beam Control for Indoor FSO and Dynamic Dual-Use VLC Lighting Systems. J. Commun. Inf. Netw. 2017, 2, 11–27. [Google Scholar] [CrossRef]
- Beysens, J.; Wang, Q.; Van Den Abeele, M.; Pollin, S. BlendVLC: A Cell-free VLC Network Architecture Empowered by Beamspot Blending. In Proceedings of the IEEE Conference on Computer Communications, INFOCOM 2021, Vancouver, BC, Canada, 10–13 May 2021; pp. 1–10. [Google Scholar]
- Cincotta, S.; He, C.; Neild, A.; Armstrong, J. High angular resolution visible light positioning using a quadrant photodiode angular diversity aperture receiver (QADA). Opt. Express 2018, 26, 9230–9242. [Google Scholar] [CrossRef]
- Cincotta, S.; He, C.; Neild, A.; Armstrong, J. Indoor Visible Light Positioning: Overcoming the Practical Limitations of the Quadrant Angular Diversity Aperture Receiver (QADA) by Using the Two-Stage QADA-Plus Receiver. Sensors 2019, 19, 956. [Google Scholar] [CrossRef] [Green Version]
- Aparicio-Esteve, E.; Hernández, A.; Ureña, J.; Villadangos, J.M. Visible Light Positioning System based on a Quadrant Photodiode and Encoding Techniques. IEEE Trans. Instrum. Meas. 2019, 69, 5589–5603. [Google Scholar] [CrossRef]
- Aparicio-Esteve, E.; Hernández, A.; Ureña, J.; Villadangos, J.M.; Ciudad, F. Estimation of the Polar Angle in a 3D Infrared Indoor Positioning System based on a QADA receiver. In Proceedings of the 2019 International Conference on Indoor Positioning and Indoor Navigation (IPIN), Pisa, Italy, 30 September–3 October 2019; pp. 1–8. [Google Scholar]
- Aparicio-Esteve, E.; Hernández, A.; Ureña, J. Design, Calibration, and Evaluation of a Long-Range 3-D Infrared Positioning System Based on Encoding Techniques. IEEE Trans. Instrum. Meas. 2021, 70, 1–13. [Google Scholar] [CrossRef]
- Mohammed, M.; He, C.; Cincotta, S.; Neild, A.; Armstrong, J. Communication aspects of visible light positioning (VLP) systems using a quadrature angular diversity aperture (QADA) receiver. Sensors 2020, 20, 1977. [Google Scholar] [CrossRef] [Green Version]
- Aparicio-Esteve, E.; Ureña, J.; Hernández, A.; Pizarro, D.; Moltó, D. Using Perspective-n-Point Algorithms for a Local Positioning System Based on LEDs and a QADA Receiver. Sensors 2021, 21, 6537. [Google Scholar] [CrossRef] [PubMed]
- Lepetit, V.; Fua, P. Monocular Model-Based 3D Tracking of Rigid Objects; Now Publishers: Norwell, MA, USA, 2005. [Google Scholar]
- Lin, B.; Tang, X.; Ghassemlooy, Z.; Li, Y.; Zhang, S.; Wu, Y.; Li, H. An indoor VLC positioning system based on OFDMA. In Proceedings of the Asia Communications and Photonics Conference 2016, Wuhan, China, 2–5 November 2016. [Google Scholar]
- Lin, B.; Tang, X.; Ghassemlooy, Z.; Lin, C.; Li, Y. Experimental demonstration of an indoor VLC positioning system based on OFDMA. IEEE Photonics J. 2017, 9, 1–9. [Google Scholar] [CrossRef]
- Steendam, H.; Wang, T.Q.; Armstrong, J. Theoretical Lower Bound for Indoor Visible Light Positioning Using Received Signal Strength Measurements and an Aperture-Based Receiver. J. Light. Technol. 2017, 35, 309–319. [Google Scholar] [CrossRef] [Green Version]
- Hartley, R.; Zisserman, A. Multiple View Geometry in Computer Vision; Cambridge University Press: Cambridge, UK, 2003. [Google Scholar]
- Kahn, J.M.; Barry, J.R. Wireless infrared communications. Proc. IEEE 1997, 85, 265–298. [Google Scholar] [CrossRef] [Green Version]
- Marsaglia, G. Ratios of normal variables. J. Stat. Softw. 2006, 16, 1–10. [Google Scholar] [CrossRef]
- Curtiss, J.H. On the Distribution of the Quotient of Two Chance Variables. Ann. Math. Stat. 1941, 12, 409–421. [Google Scholar] [CrossRef]
- Hayya, J.; Armstrong, D.; Gressis, N. A note on the ratio of two normally distributed variables. Manag. Sci. 1975, 21, 1338–1341. [Google Scholar] [CrossRef] [Green Version]
- Zhang, Z. A flexible new technique for camera calibration. IEEE Trans. Pattern Anal. Mach. Intell. 2000, 22, 1330–1334. [Google Scholar] [CrossRef] [Green Version]
- Nguyen, H.T.; Kreinovich, V. Applications of Continuous Mathematics to Computer Science; Springer: Berlin/Heidelberg, Germany, 1997; Volume 38. [Google Scholar]
- Absil, P.A.; Mahony, R.; Sepulchre, R. Optimization Algorithms on Matrix Manifolds; Princeton University Press: Princeton, NJ, USA, 2009. [Google Scholar]
- Shen, S.; Li, S.; Steendam, H. Simultaneous Position and Orientation Estimation for Visible Light Systems with Multiple LEDs and Multiple PDs. IEEE J. Sel. Areas Commun. 2020, 38, 1866–1879. [Google Scholar] [CrossRef]
- Fortunati, S.; Gini, F.; Greco, M.S.; Richmond, C.D. Performance Bounds for Parameter Estimation under Misspecified Models: Fundamental Findings and Applications. IEEE Signal Process. Mag. 2017, 34, 142–157. [Google Scholar] [CrossRef] [Green Version]
- Rasmussen, C.E. Gaussian processes in machine learning. In Summer School on Machine Learning; Springer: Berlin/Heidelberg, Germany, 2003; pp. 63–71. [Google Scholar]
- Kay, S.M. Fundamentals of Statistical Signal Processing: Estimation Theory; Prentice-Hall: Upper Saddle River, NJ, USA, 1993. [Google Scholar]
- Pissanetzky, S. Rigid Body Kinematics and C++ Code; SciControls.com: Houston, TX, USA, 2005. [Google Scholar]
- Steendam, H. A 3-D Positioning Algorithm for AOA-Based VLP With an Aperture-Based Receiver. IEEE J. Sel. Areas Commun. 2018, 36, 23–33. [Google Scholar] [CrossRef]
- Bouguet, J.Y. Camera Calibration Toolbox for Matlab. 2008. Available online: http://www.vision.caltech.edu/bouguetj/calib_doc (accessed on 23 June 2022).
- Plets, D.; Bastiaens, S.; Martens, L.; Joseph, W.; Stevens, N. On the impact of LED power uncertainty on the accuracy of 2D and 3D Visible Light Positioning. Optik 2019, 195, 163027. [Google Scholar] [CrossRef]











| Publisher’s Note: MDPI stays neutral with regard to jurisdictional claims in published maps and institutional affiliations. | 
© 2022 by the authors. Licensee MDPI, Basel, Switzerland. This article is an open access article distributed under the terms and conditions of the Creative Commons Attribution (CC BY) license (https://creativecommons.org/licenses/by/4.0/).
Share and Cite
Shen, S.; Menéndez Sánchez, J.M.; Li, S.; Steendam, H. Pose Estimation for Visible Light Systems Using a Quadrature Angular Diversity Aperture Receiver. Sensors 2022, 22, 5073. https://doi.org/10.3390/s22145073
Shen S, Menéndez Sánchez JM, Li S, Steendam H. Pose Estimation for Visible Light Systems Using a Quadrature Angular Diversity Aperture Receiver. Sensors. 2022; 22(14):5073. https://doi.org/10.3390/s22145073
Chicago/Turabian StyleShen, Shengqiang, Jose Miguel Menéndez Sánchez, Shiyin Li, and Heidi Steendam. 2022. "Pose Estimation for Visible Light Systems Using a Quadrature Angular Diversity Aperture Receiver" Sensors 22, no. 14: 5073. https://doi.org/10.3390/s22145073
APA StyleShen, S., Menéndez Sánchez, J. M., Li, S., & Steendam, H. (2022). Pose Estimation for Visible Light Systems Using a Quadrature Angular Diversity Aperture Receiver. Sensors, 22(14), 5073. https://doi.org/10.3390/s22145073
 
         
                                                

