Multi-Conditional Constraint Generative Adversarial Network-Based MR Imaging from CT Scan Data
Abstract
:1. Introduction
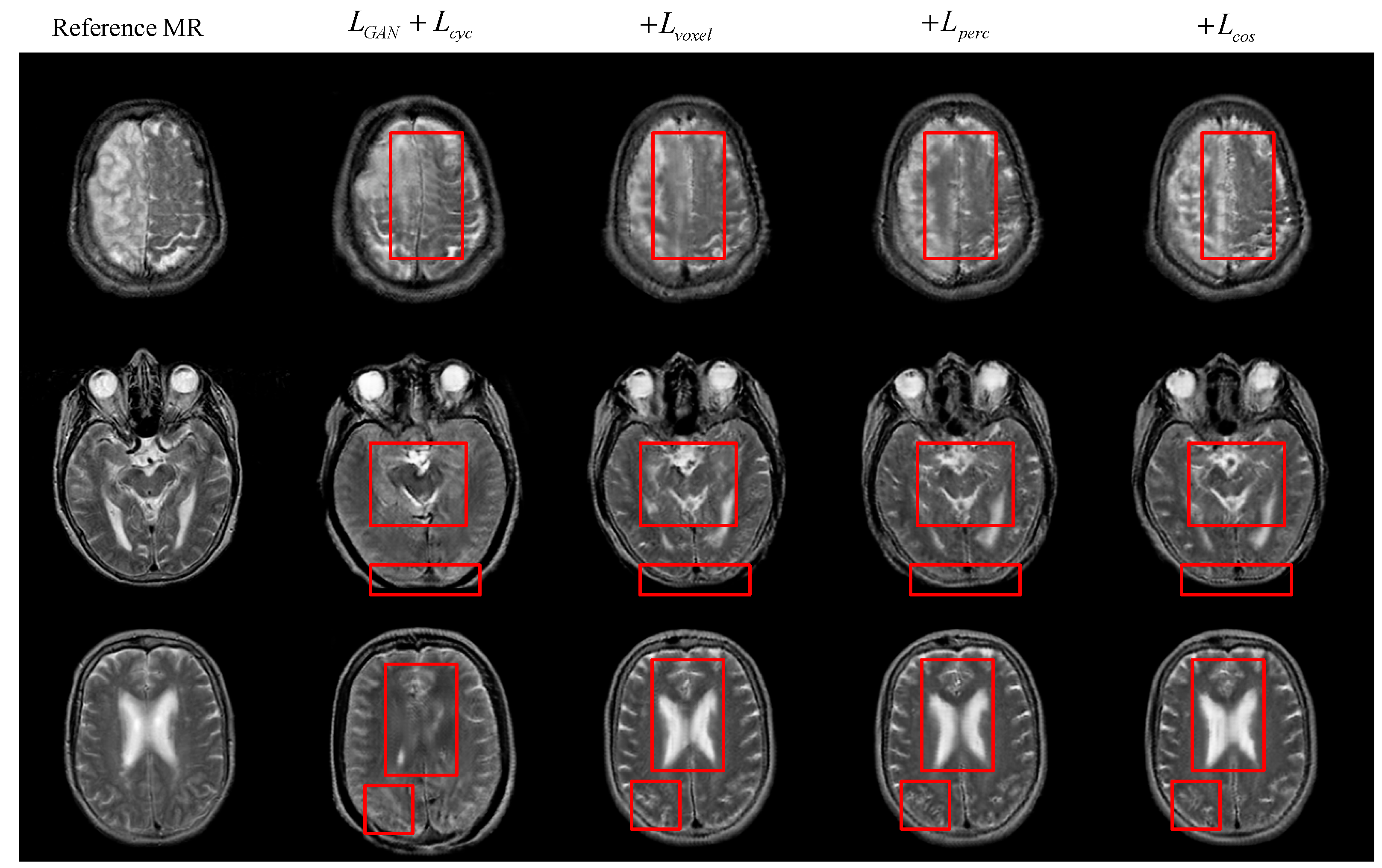
- We treat MR image synthesis as an object re-identification problem and introduce cosine loss, which combines with voxel error and perception error as the model function.
- We modify the generator based on cycleGAN and design the discriminator based on PatchGAN under the constraint of the paired CT-MR dataset.
2. The Working Principle of GAN and cGAN
3. Multi-Condition Constraint GAN Model
3.1. Model Architecture
3.2. Loss Function
| Algorithm 1: MR imaging modality transformation algorithm with CT as input. |
| Input: CT-MR dataset with corresponding relationship, initial model weight |
| Output: model weight W * after training |
| 1: for i = 1 to n//n indicates the number of training sessions |
| 2: Randomly read data from the corresponding CT-MR dataset |
| 3: if i%3==0: |
| 4: Update the parameters and of the discriminator in the model through the objective optimization function |
| 5: End if |
| 6: Update the parameters of the generator and of the inverse generator in the model through the objective optimization function |
| 7: End for |
| 8: Return generator |
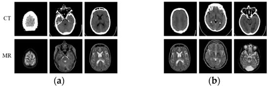
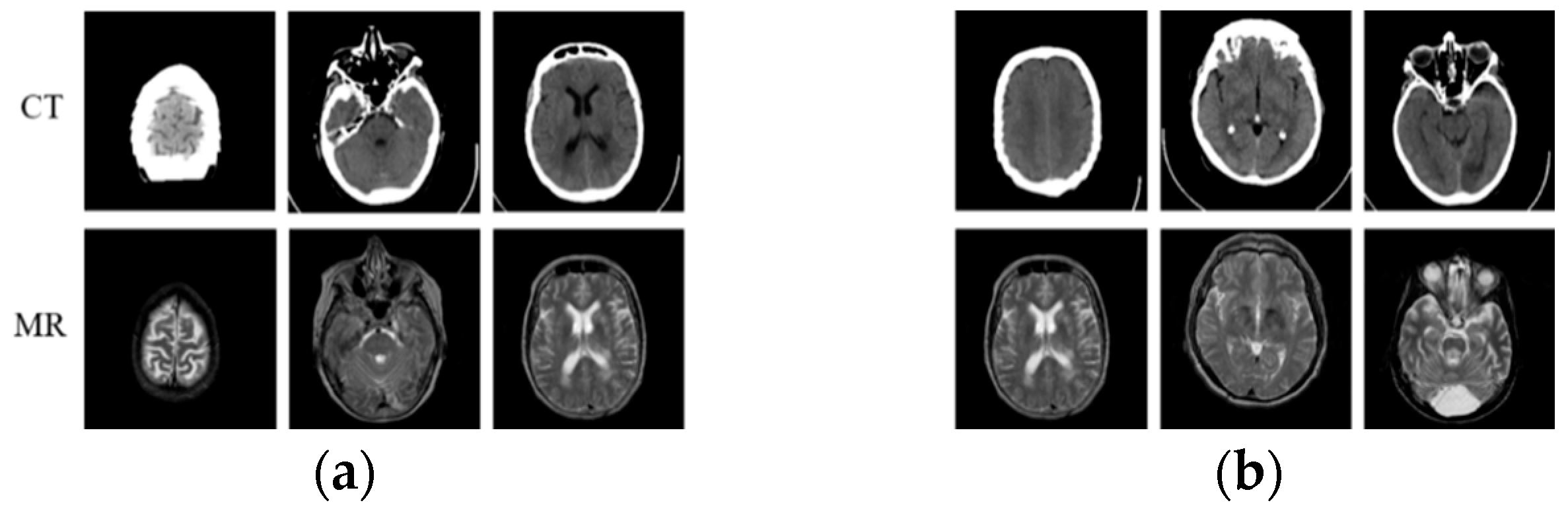
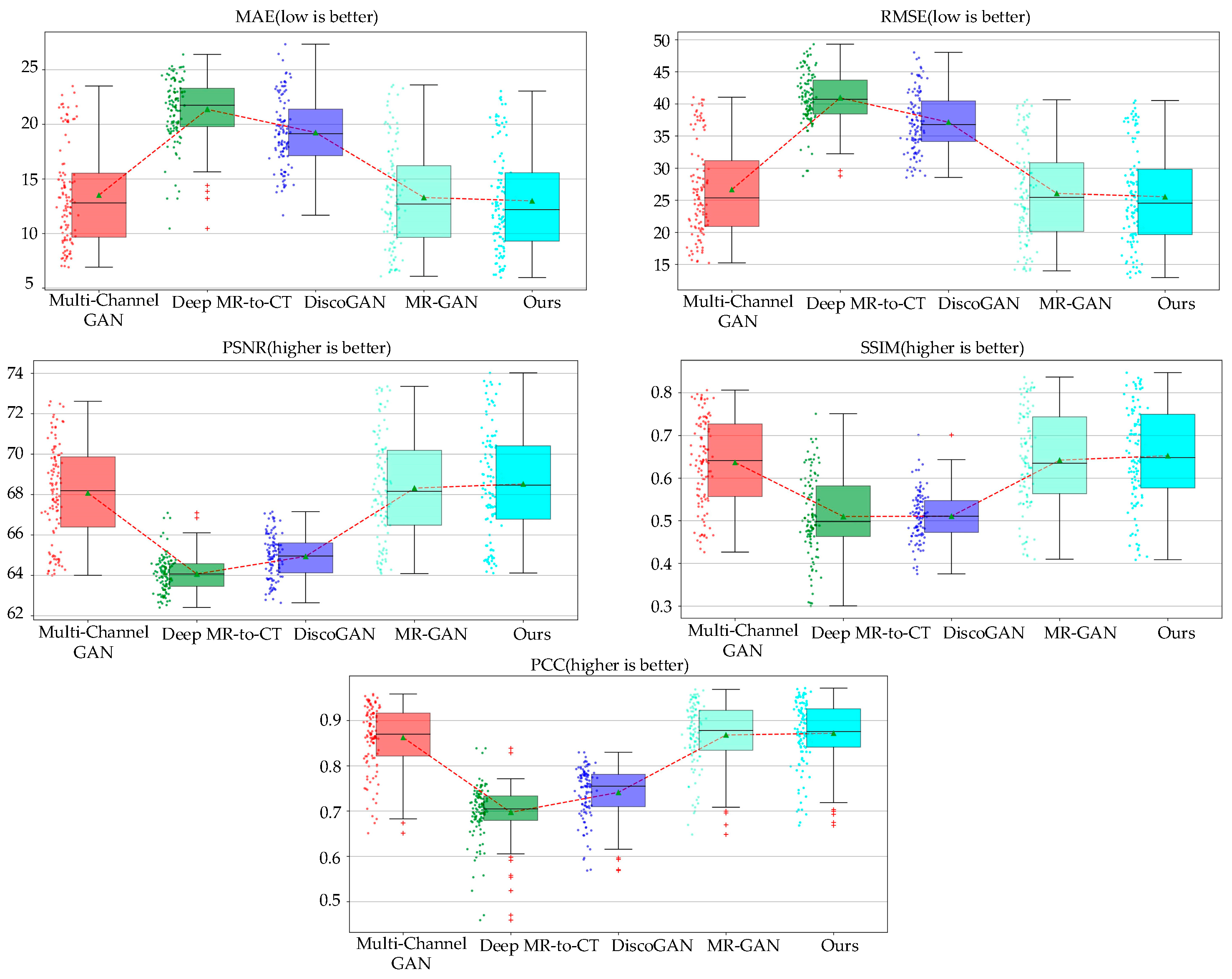
4. Results and Analysis
4.1. Performance Evaluation Index
4.2. Comparison of Results under Different Objective Optimization Functions
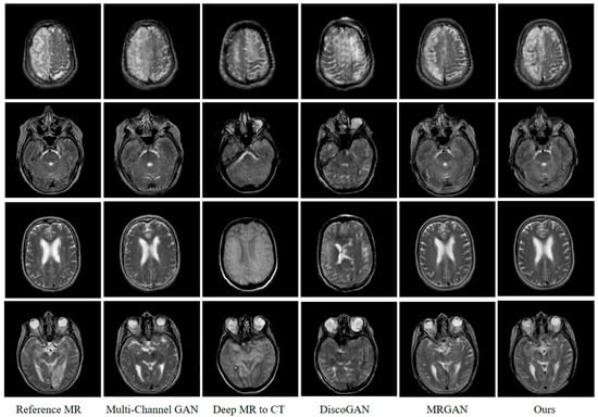
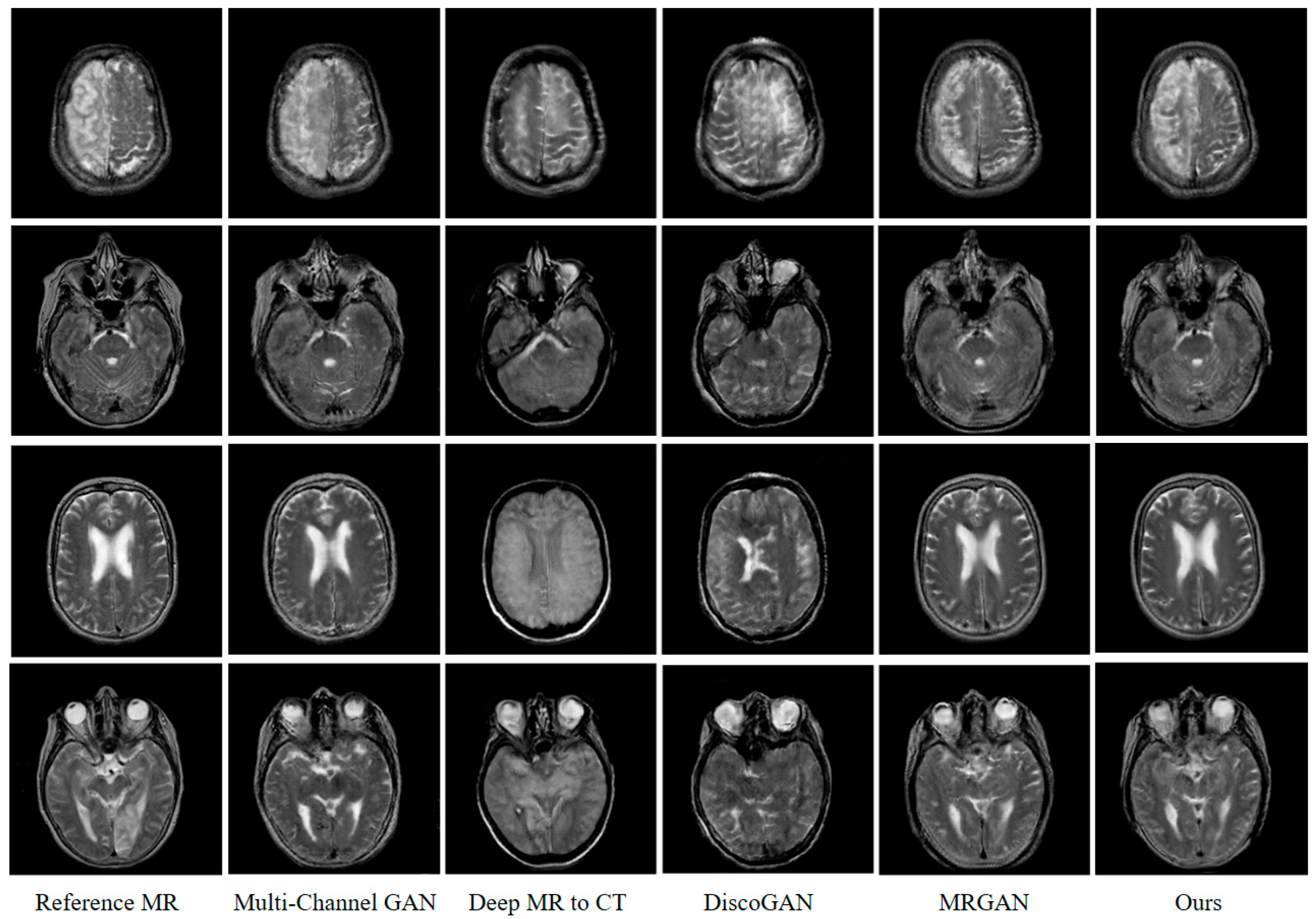
4.3. Comparison of Results under Different GAN Models
5. Conclusions
Author Contributions
Funding
Conflicts of Interest
References
- Vaughan, J.T.; Snyder, C.; DelaBarre, L.; Tian, J.; Akgun, C.; Ugurbil, K.; Olson, C.; Gopinath, A. Current and Future Trends in Magnetic Resonance Imaging (MRI). In Proceedings of the 2006 IEEE MTT-S International Microwave Symposium Digest, Piscataway, NJ, USA, 11–16 June 2006; pp. 211–212. [Google Scholar]
- Mackin, D.; Ger, R.; Dodge, C.; Fave, X.; Chi, P.-C.; Zhang, L.; Yang, J.; Bache, S.; Dodge, C.; Jones, A.K. Effect of tube current on computed tomography radiomic features. Sci. Rep. 2018, 8, 1–10. [Google Scholar] [CrossRef] [PubMed]
- De Deene, Y.; De Wagter, C.; Van Duyse, B.; Derycke, S.; Mersseman, B.; De Gersem, W.; Voet, T.; Achten, E.; De Neve, W. Validation of MR-based polymer gel dosimetry as a preclinical three-dimensional verification tool in conformal radiotherapy. Magn. Reson. Med. Off. J. Int. Soc. Magn. Reson. Med. 2000, 43, 116–125. [Google Scholar] [CrossRef]
- Guerquin-Kern, M.; Lejeune, L.; Pruessmann, K.P.; Unser, M. Realistic Analytical Phantoms for Parallel Magnetic Resonance Imaging. IEEE Trans. Med. Imaging 2012, 31, 626–636. [Google Scholar] [CrossRef] [PubMed] [Green Version]
- Litjens, G.; Kooi, T.; Bejnordi, B.E.; Setio, A.A.A.; Ciompi, F.; Ghafoorian, M.; van der Laak, J.A.W.M.; van Ginneken, B.; Sánchez, C.I. A survey on deep learning in medical image analysis. Med. Image Anal. 2017, 42, 60–88. [Google Scholar] [CrossRef] [PubMed] [Green Version]
- Nie, D.; Trullo, R.; Lian, J.; Wang, L.; Petitjean, C.; Ruan, S.; Wang, Q.; Shen, D. Medical Image Synthesis with Deep Convolutional Adversarial Networks. IEEE Trans. Biomed. Eng. 2018, 65, 2720–2730. [Google Scholar] [CrossRef] [PubMed]
- Yu, B.; Zhou, L.; Wang, L.; Fripp, J.; Bourgeat, P. 3D cGAN based cross-modality MR image synthesis for brain tumor segmentation. In Proceedings of the 2018 IEEE 15th International Symposium on Biomedical Imaging (ISBI 2018), Washington, DC, USA, 4–7 April 2018; pp. 626–630. [Google Scholar]
- Huynh, T.; Gao, Y.; Kang, J.; Wang, L.; Zhang, P.; Lian, J.; Shen, D.; Alzheimer’s Disease Neuroimaging, I. Estimating CT Image From MRI Data Using Structured Random Forest and Auto-Context Model. IEEE Trans. Med. Imaging 2016, 35, 174–183. [Google Scholar] [CrossRef] [PubMed] [Green Version]
- Jog, A.; Carass, A.; Prince, J.L. Improving magnetic resonance resolution with supervised learning. In Proceedings of the 2014 IEEE 11th International Symposium on Biomedical Imaging (ISBI), Beijing China, 29 April–2 May 2014; pp. 987–990. [Google Scholar]
- Catana, C.; van der Kouwe, A.; Benner, T.; Michel, C.J.; Hamm, M.; Fenchel, M.; Fischl, B.; Rosen, B.; Schmand, M.; Sorensen, A.G. Toward implementing an MRI-based PET attenuation-correction method for neurologic studies on the MR-PET brain prototype. J. Nucl. Med. 2010, 51, 1431–1438. [Google Scholar] [CrossRef] [PubMed] [Green Version]
- Andreasen, D.; Van Leemput, K.; Edmund, J.M. A patch-based pseudo-CT approach for MRI-only radiotherapy in the pelvis. Med. Phys. 2016, 43, 4742. [Google Scholar] [CrossRef] [PubMed] [Green Version]
- Arabi, H.; Koutsouvelis, N.; Rouzaud, M.; Miralbell, R.; Zaidi, H. Atlas-guided generation of pseudo-CT images for MRI-only and hybrid PET-MRI-guided radiotherapy treatment planning. Phys. Med. Biol. 2016, 61, 6531–6552. [Google Scholar] [CrossRef] [PubMed]
- Krizhevsky, A.; Sutskever, I.; Hinton, G.E. Imagenet classification with deep convolutional neural networks. In Proceedings of the Advances in Neural Information Processing Systems 25 (NIPS 2012), Lake Tahoe, NV, USA, 3–8 December 2012. [Google Scholar]
- Szegedy, C.; Vanhoucke, V.; Ioffe, S.; Shlens, J.; Wojna, Z. Rethinking the inception architecture for computer vision. In Proceedings of the IEEE Conference on Computer Vision and Pattern Recognition, Las Vegas, NV, USA, 26 June–1 July 2016; pp. 2818–2826. [Google Scholar]
- Szegedy, C.; Liu, W.; Jia, Y.; Sermanet, P.; Reed, S.; Anguelov, D.; Erhan, D.; Vanhoucke, V.; Rabinovich, A. Going deeper with convolutions. In Proceedings of the IEEE Conference on Computer Vision and Pattern Recognition, Boston, MA, USA, 7–12 June 2015; pp. 1–9. [Google Scholar]
- Zhao, C.; Carass, A.; Lee, J.; He, Y.; Prince, J.L. Whole brain segmentation and labeling from CT using synthetic MR images. In Proceedings of the International Workshop on Machine Learning in Medical Imaging, Quebec City, QC, Canada, 10 September 2017; pp. 291–298. [Google Scholar]
- Ronneberger, O.; Fischer, P.; Brox, T. U-Net: Convolutional Networks for Biomedical Image Segmentation. In Proceedings of the 18th International Conference on Medical Image Computing and Computer-Assisted Intervention (MICCAI), Munich, Germany, 5–9 October 2015; pp. 234–241. [Google Scholar]
- Rocca, M.A.; Valsasina, P.; Damjanovic, D.; Horsfield, M.A.; Mesaros, S.; Stosic-Opincal, T.; Drulovic, J.; Filippi, M. Voxel-wise mapping of cervical cord damage in multiple sclerosis patients with different clinical phenotypes. J. Neurol. Neurosurg. Psychiatry 2013, 84, 35–41. [Google Scholar] [CrossRef] [PubMed]
- Nie, D.; Trullo, R.; Lian, J.; Petitjean, C.; Ruan, S.; Wang, Q.; Shen, D. Medical image synthesis with context-aware generative adversarial networks. In Proceedings of the International Conference on Medical Image Computing and Computer-Assisted Intervention, Quebec City, QC, Canada, 10–14 September 2017; pp. 417–425. [Google Scholar]
- Goodfellow, I.; Pouget-Abadie, J.; Mirza, M.; Xu, B.; Warde-Farley, D.; Ozair, S.; Courville, A.; Bengio, Y. Generative adversarial nets. In Proceedings of the Advances in Neural Information Processing Systems, Montreal, QC, Canada, 8–13 December 2014; pp. 2672–2680. [Google Scholar]
- Han, X. MR-based synthetic CT generation using a deep convolutional neural network method. Med. Phys. 2017, 44, 1408–1419. [Google Scholar] [CrossRef] [PubMed] [Green Version]
- Bi, L.; Kim, J.; Kumar, A.; Feng, D.G.; Fulham, M. Synthesis of Positron Emission Tomography (PET) Images via Multi-channel Generative Adversarial Networks (GANs). In Proceedings of the 5th International Workshop on Computat Methods for Mol Imaging (CMMI)/2nd International Workshop on Reconstruct & Analysis of Moving Body Organs (RAMBO)/1st International Stroke Workshop on Imaging & Treatment Challenges (SWITCH), Quebec City, QC, Canada, 14 September 2017; pp. 43–51. [Google Scholar]
- Ben-Cohen, A.; Klang, E.; Raskin, S.P.; Amitai, M.M.; Greenspan, H. Virtual PET images from CT data using deep convolutional networks: Initial results. In Proceedings of the International Workshop on Simulation and Synthesis in Medical Imaging, Quebec City, QC, Canada, 10 September 2017; pp. 49–57. [Google Scholar]
- Kim, T.; Cha, M.; Kim, H.; Lee, J.K.; Kim, J. Learning to Discover Cross-Domain Relations with Generative Adversarial Networks. In Proceedings of the 34th International Conference on Machine Learning, Sydney, Australia, 6–11 August 2017; pp. 1857–1865. [Google Scholar]
- Wolterink, J.M.; Dinkla, A.M.; Savenije, M.H.; Seevinck, P.R.; van den Berg, C.A.; Išgum, I. Deep MR to CT synthesis using unpaired data. In Proceedings of the International Workshop on Simulation and Synthesis in Medical Imaging, Quebec City, QC, Canada, 10 September 2017; pp. 14–23. [Google Scholar]
- Zhu, J.Y.; Park, T.; Isola, P.; Efros, A.A. Unpaired image-to-image translation using cycle-consistent adversarial networks. In Proceedings of the Proceedings of the IEEE International Conference on Computer Vision, Venice, Italy, 22–29 October 2017; pp. 2223–2232. [Google Scholar]
- Jin, C.B.; Kim, H.; Liu, M.; Jung, W.; Joo, S.; Park, E.; Ahn, Y.S.; Han, I.H.; Lee, J.I.; Cui, X. Deep CT to MR Synthesis Using Paired and Unpaired Data. Sensors 2019, 19, 2361. [Google Scholar] [CrossRef] [PubMed] [Green Version]
- Jin, C.-B.; Kim, H.; Liu, M.; Han, I.H.; Lee, J.I.; Lee, J.H.; Joo, S.; Park, E.; Ahn, Y.S.; Cui, X. DC2Anet: Generating Lumbar Spine MR Images from CT Scan Data Based on Semi-Supervised Learning. Appl. Sci. 2019, 9, 2521. [Google Scholar] [CrossRef] [Green Version]
- Yi, Z.; Zhang, H.; Tan, P.; Gong, M. DualGAN: Unsupervised dual learning for image-to-image translation. In Proceedings of the Proceedings of the IEEE International Conference on Computer Vision, Venice, Italy, 22–29 October 2017; pp. 2849–2857. [Google Scholar]
- Barz, B.; Rodner, E.; Garcia, Y.G.; Denzler, J. Detecting Regions of Maximal Divergence for Spatio-Temporal Anomaly Detection. IEEE Trans. Pattern Anal. Mach. Intell. 2019, 41, 1088–1101. [Google Scholar] [CrossRef] [PubMed] [Green Version]
- Li, W.; Li, Y.; Qin, W.; Liang, X.; Xu, J.; Xiong, J.; Xie, Y. Magnetic resonance image (MRI) synthesis from brain computed tomography (CT) images based on deep learning methods for magnetic resonance (MR)-guided radiotherapy. Quant. Imaging Med. Surg. 2020, 10, 1223–1236. [Google Scholar] [CrossRef] [PubMed]
- Mirza, M.; Osindero, S. Conditional generative adversarial nets. arXiv arXiv:1411.1784, 2014.
- Vondrick, C.; Pirsiavash, H.; Torralba, A. Generating Videos with Scene Dynamics. In Proceedings of the Advances in Neural Information Processing Systems 29 (NIPS 2016), Barcelona, Spain, 5–10 December 2016. [Google Scholar]
- Denton, E.L.; Chintala, S.; Fergus, R. Deep generative image models using a Laplacian pyramid of adversarial networks. In Proceedings of the Advances in Neural Information Processing Systems, Montreal, QC, Canada, 7–12 December 2015; pp. 1486–1494. [Google Scholar]
- Johnson, J.; Alahi, A.; Fei-Fei, L. Perceptual losses for real-time style transfer and super-resolution. In Proceedings of the European Conference on Computer Vision, Amsterdam, The Netherlands, 8–16 October 2016; pp. 694–711. [Google Scholar]
- He, K.M.; Zhang, X.Y.; Ren, S.Q.; Sun, J. IEEE. Deep Residual Learning for Image Recognition. In Proceedings of the 2016 IEEE Conference on Computer Vision and Pattern Recognition (CVPR), Seattle, WA, USA, 27–30 June 2016; pp. 770–778. [Google Scholar]
- Ulyanov, D.; Vedaldi, A.; Lempitsky, V. Instance normalization: The missing ingredient for fast stylization. arXiv 2016, arXiv:1607.08022. [Google Scholar]
- Fan, E. Extended tanh-function method and its applications to nonlinear equations. Phys. Lett. A 2000, 277, 212–218. [Google Scholar] [CrossRef]
- Isola, P.; Zhu, J.-Y.; Zhou, T.; Efros, A.A. Image-to-image translation with conditional adversarial networks. In Proceedings of the Proceedings of the IEEE Conference on Computer Vision and Pattern Recognition, Honolulu, HI, USA, 21–26 July 2017; pp. 1125–1134. [Google Scholar]
- Xu, B.; Wang, N.; Chen, T.; Li, M. Empirical evaluation of rectified activations in convolutional network. arXiv 2015, arXiv:1505.00853. [Google Scholar]
- Simonyan, K.; Zisserman, A. Very deep convolutional networks for large-scale image recognition. arXiv 2014, arXiv:1409.1556. [Google Scholar]







| Multi-Channel GAN [22] | Deep MR-to-CT [24] | DiscoGAN [25] | MR-GAN [27] | |
|---|---|---|---|---|
| Model | Pix2Pix | cycleGAN | DiscoGAN | MR-GAN |
| Generator | U-Net | Residual Net | Customized | Residual Net |
| Number of Layers in Generator | 16 | 24 | 8 | 24 |
| Discriminator | Patch GAN | Patch GAN | Patch GAN | Patch GAN |
| Number of Layers in Discriminator | 5 | 5 | 5 | 5 |
| Objective function | Adversarial and voxel-wise | Least-squares adversarial and cycle-consistent | Adversarial and cycle-consistent | Adversarial, voxel-wise, and cycle-consistent |
| Output Size | Filter Size/Stride | Number of Conv. Layers | |
|---|---|---|---|
| Input image | \ | \ | |
| Conv 1 | 1 | ||
| Conv 2 | 1 | ||
| Conv 3 | 1 | ||
| Residual Block 1 | 2 | ||
| Residual Block 2 | 2 | ||
| Residual Block 3 | 2 | ||
| Residual Block 4 | 2 | ||
| Residual Block 5 | 2 | ||
| Residual Block 6 | 2 | ||
| Residual Block 7 | 2 | ||
| Residual Block 8 | 2 | ||
| Residual Block 9 | 2 | ||
| Fractional Conv 1 | 1 | ||
| Fractional Conv 2 | 1 | ||
| Conv 4 | 1 |
| MAE ↓ | RMSE ↓ | PSNR ↑ | SSIM ↑ | PCC ↑ | |
|---|---|---|---|---|---|
| LGAN | 19.054 | 36.343 | 65.157 | 0.52 | 0.761 |
| +Lvoxel | 13.163 | 25.844 | 68.423 | 0.647 | 0.869 |
| +Lperc | 13.141 | 25.636 | 68.476 | 0.645 | 0.87 |
| +Lcos | 12.981 | 25.532 | 68.519 | 0.652 | 0.872 |
| MAE ↓ | RMSE ↓ | PSNR ↑ | SSIM ↑ | PCC ↑ | Imaging Rate | |
|---|---|---|---|---|---|---|
| Multi-Channel GAN | 23.513 | 26.647 | 68.076 | 0.637 | 0.862 | 25.74 ms |
| Deep MR-to-CT | 21.362 | 40.941 | 64.063 | 0.51 | 0.697 | 51.47 ms |
| DiscoGAN | 19.245 | 37.143 | 64.932 | 0.511 | 0.741 | 22.81 ms |
| MR-GAN | 13.293 | 26.061 | 68.312 | 0.642 | 0.868 | 54.38 ms |
| Ours | 12.981 | 25.532 | 68.519 | 0.652 | 0.872 | 70.51 ms |
Publisher’s Note: MDPI stays neutral with regard to jurisdictional claims in published maps and institutional affiliations. |
© 2022 by the authors. Licensee MDPI, Basel, Switzerland. This article is an open access article distributed under the terms and conditions of the Creative Commons Attribution (CC BY) license (https://creativecommons.org/licenses/by/4.0/).
Share and Cite
Liu, M.; Zou, W.; Wang, W.; Jin, C.-B.; Chen, J.; Piao, C. Multi-Conditional Constraint Generative Adversarial Network-Based MR Imaging from CT Scan Data. Sensors 2022, 22, 4043. https://doi.org/10.3390/s22114043
Liu M, Zou W, Wang W, Jin C-B, Chen J, Piao C. Multi-Conditional Constraint Generative Adversarial Network-Based MR Imaging from CT Scan Data. Sensors. 2022; 22(11):4043. https://doi.org/10.3390/s22114043
Chicago/Turabian StyleLiu, Mingjie, Wei Zou, Wentao Wang, Cheng-Bin Jin, Junsheng Chen, and Changhao Piao. 2022. "Multi-Conditional Constraint Generative Adversarial Network-Based MR Imaging from CT Scan Data" Sensors 22, no. 11: 4043. https://doi.org/10.3390/s22114043
APA StyleLiu, M., Zou, W., Wang, W., Jin, C.-B., Chen, J., & Piao, C. (2022). Multi-Conditional Constraint Generative Adversarial Network-Based MR Imaging from CT Scan Data. Sensors, 22(11), 4043. https://doi.org/10.3390/s22114043

