Frequency-Domain Detection for Frequency-Division Multiplexing QEPAS
Abstract
:1. Introduction
2. Principle of QEPAS
3. Instrument Setup
4. Experimental Results
4.1. Frequency Response of QTF
4.2. Modulation Signal Optimization
4.3. Time-Domain 2f Signals with Frequency-Division Multiplexing Mode
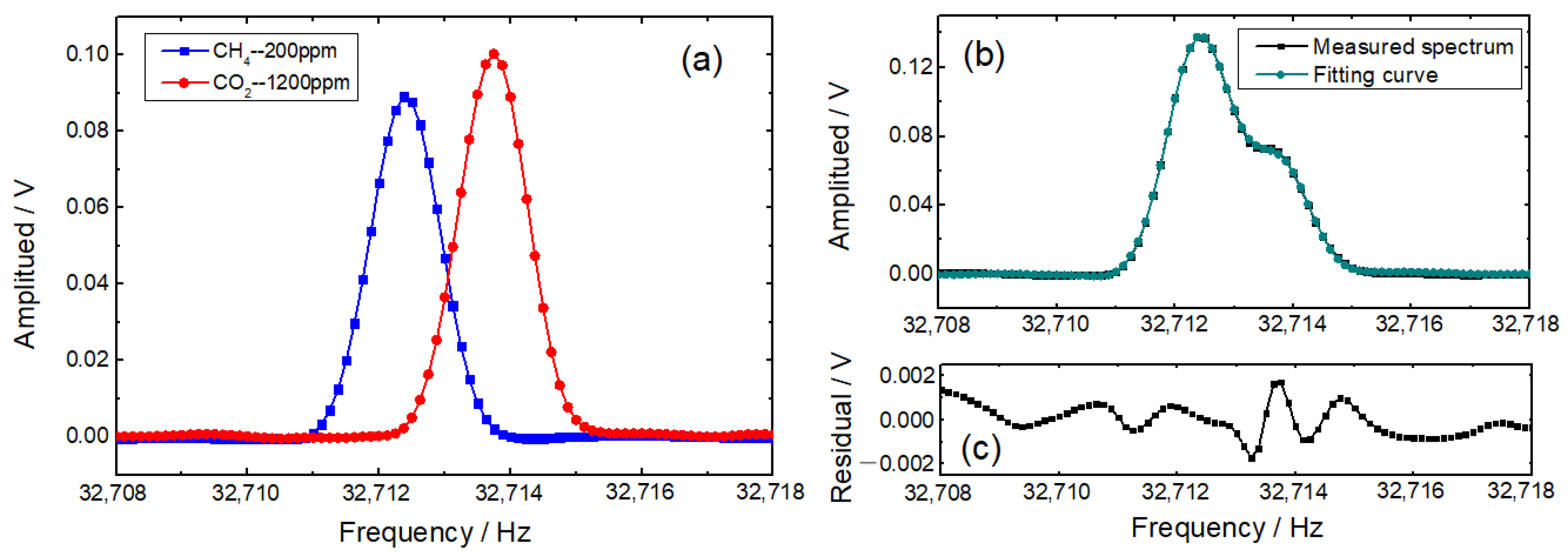
4.4. Frequency-Domain Analysis
5. Conclusions
Author Contributions
Funding
Institutional Review Board Statement
Informed Consent Statement
Data Availability Statement
Conflicts of Interest
References
- Milde, T.; Hoppe, M.; Tatenguem, H.; Rohling, H.; Schmidtmann, S.; Honsberg, M.; Schade, W.; Sacher, J. QEPAS sensor in a butterfly package and its application. Appl. Opt. 2021, 60, 55–59. [Google Scholar] [CrossRef] [PubMed]
- Zhang, H.; Jin, W.L.; Hu, M.P.; Hu, M.; Liang, J.Q.; Wang, Q. Investigation and Optimization of a Line-Locked Quartz Enhanced Spectrophone for Rapid Carbon Dioxide Measurement. Sensors 2021, 21, 5225. [Google Scholar] [CrossRef] [PubMed]
- Levy, R.; Duqesnoy, M.; Melkonian, J.M.; Raybaut, M.; Aoust, G. New Signal Processing for Fast and Precise QEPAS Measurements. IEEE Trans. Ultrason. Ferroelectr. Freq. Control 2020, 67, 1230–1235. [Google Scholar] [CrossRef]
- Sampaolo, A.; Yu, C.; Wei, T.T.; Zifarelli, A.; Giglio, M.; Patimisco, P.; Zhu, H.; Zhu, H.M.; He, L.; Wu, H.P.; et al. H2S quartz-enhanced photoacoustic spectroscopy sensor employing a liquid-nitrogen-cooled THz quantum cascade laser operating in pulsed mode. Photoacoustics 2021, 21, 100219. [Google Scholar] [CrossRef]
- Ma, Y.F. Recent advances in QEPAS and QEPTS based trace gas sensing: A review. Front. Phys. 2020, 8, 268. [Google Scholar] [CrossRef]
- Yi, H.M.; Chen, W.D.; Sun, S.W.; Liu, K.; Tan, T.; Gao, X.M. T-shape microresonator-based high sensitivity quartz-enhanced photoacoustic spectroscopy sensor. Opt. Express 2012, 20, 9187–9196. [Google Scholar] [CrossRef]
- Dong, L.; Wu, H.P.; Zheng, H.D.; Liu, Y.Y.; Liu, X.L.; Jiang, W.Z.; Zhang, L.; Ma, W.G.; Ren, W.; Yin, W.B.; et al. Double acoustic microresonator quartz-enhanced photoacoustic spectroscopy. Opt. Lett. 2014, 39, 2479–2482. [Google Scholar] [CrossRef]
- Johannes, P.W.; Harald, M.; Bernhard, L. Compact quantum cascade laser based quartz-enhanced photoacoustic spectroscopy sensor system for detection of carbon disulfide. Opt. Express 2016, 24, 6559–6571. [Google Scholar]
- Giglio, M.; Zifarelli, A.; Sampaolo, A.; Menduni, G.; Elefante, A.; Blanchard, R.; Pfluegl, C.; Witinski, M.F.; Vakhshoori, D.; Wu, H.P.; et al. Broadband detection of methane and nitrous oxide using a distributed-feedback quantum cascade laser array and quartz-enhanced photoacoustic sensing. Photoacoustics 2020, 17, 100159. [Google Scholar] [CrossRef]
- Wang, Z.; Wang, Q.; Ching, J.Y.; Wu, J.C.; Zhang, G.F.; Ren, W. A portable low-power QEPAS-based CO2 isotope sensor using a fiber-coupled interband cascade laser. Sens. Actuators B Chem. 2017, 246, 710–715. [Google Scholar] [CrossRef]
- Li, Y.; Wang, R.Z.; Tittel, F.K.; Ma, Y.F. Sensitive methane detection based on quartz-enhanced photoacoustic spectroscopy with a high-power diode laser and wavelet filtering. Opt. Lasers Eng. 2020, 132, 106155. [Google Scholar] [CrossRef]
- Kosterev, A.A.; Mosely, T.S.; Tittel, F.K. Impact of humidity on quartz-enhanced photoacoustic spectroscopy based detection of HCN. Appl. Phys. B 2006, 85, 295–300. [Google Scholar] [CrossRef]
- Ma, Y.F.; Yu, X.; Yu, G.; Li, X.D.; Zhang, J.B.; Chen, D.Y.; Sun, R.; Tittel, F.K. Multi-quartz-enhanced photoacoustic spectroscopy. Appl. Phys. Lett. 2015, 107, 021106. [Google Scholar] [CrossRef] [Green Version]
- Dong, L.; Wright, J.; Peters, B.; Ferguson, B.A.; Tittel, F.K.; McWhorter, S. Compact QEPAS sensor for trace methane and ammonia detection in impure hydrogen. Appl. Phys. B 2012, 107, 459–467. [Google Scholar] [CrossRef] [Green Version]
- Kosterev, A.; Dong, L.; Thomazy, D.; Tittle, F.K.; Overby, S. QEPAS for chemical analysis of multi-component gas mixtures. Appl. Phys. B 2010, 101, 649–659. [Google Scholar] [CrossRef]
- Zhang, Q.D.; Chang, J.; Cong, Z.H.; Sun, J.C.; Wang, Z.L. QEPAS sensor for simultaneous measurements of H2O, CH4, and C2H2 using different QTFs. IEEE Photonics J. 2018, 10, 1–8. [Google Scholar] [CrossRef]
- Wu, H.P.; Yin, X.K.; Dong, L.; Pei, K.L.; Sampaolo, A.; Patimisco, P.; Zheng, H.D.; Ma, W.G.; Zhang, L.; Yin, W.B.; et al. Simultaneous dual-gas QEPAS detection based on a fundamental and overtone combined vibration of quartz tuning fork. Appl. Phys. Lett. 2017, 110, 121104. [Google Scholar] [CrossRef] [Green Version]
- Liu, H.; Hu, M.; Chen, X.; Deng, H.; Xu, Z.Y.; Wang, Q.; Li, X.; Kan, R.F.; Zhang, X.Y. Sensitive Detection of CH4 and CO2 Using Frequency-Division-Multiplexing Based Quartz-Enhanced Photoacoustic Spectroscopy. Acta Opt. Sin. 2021, 41, 244–250. [Google Scholar]
- Liu, Y.H.; Lin, H.Y.; Montano, B.; Zhu, W.G.; Zhong, Y.C.; Kan, R.F.; Yuan, B.; Yu, J.H.; Shao, M.; Zheng, H.D. Integrated near-infrared QEPAS sensor based on a 28 kHz quartz tuning fork for online monitoring of CO2 in the greenhouse. Photoacoustics 2022, 25, 100332. [Google Scholar] [CrossRef]
- Wang, Q.; Wang, Z.; Ren, W.; Patimisco, P.; Sampaolo, A.; Spagnolo, V. Fiber-ring laser intracavity QEPAS gas sensor using a 7.2 kHz quartz tuning fork. Sens. Actuators B Chem. 2018, 268, 512–518. [Google Scholar] [CrossRef]
- Yi, H.M. Theoretical and Experimental Research of Quartz-Enhanced Photoacoustic Spectroscopy Technique. Ph.D. Thesis, Chinese Academy of Sciences, Beijing, China, 2012. [Google Scholar]
- Wei, M.; Liu, J.G.; Kan, R.F.; Wang, W.; Yao, L.; Xu, Z.Y.; Yuan, S.; Dai, Y.H.; Jia, L.Q. Study on Detection of Greenhouse Gases Based on Quantum Cascade Laser. Acta Opt. Sin. 2014, 34, 341–347. [Google Scholar]








Publisher’s Note: MDPI stays neutral with regard to jurisdictional claims in published maps and institutional affiliations. |
© 2022 by the authors. Licensee MDPI, Basel, Switzerland. This article is an open access article distributed under the terms and conditions of the Creative Commons Attribution (CC BY) license (https://creativecommons.org/licenses/by/4.0/).
Share and Cite
Chen, X.; Liu, H.; Hu, M.; Yao, L.; Xu, Z.; Deng, H.; Kan, R. Frequency-Domain Detection for Frequency-Division Multiplexing QEPAS. Sensors 2022, 22, 4030. https://doi.org/10.3390/s22114030
Chen X, Liu H, Hu M, Yao L, Xu Z, Deng H, Kan R. Frequency-Domain Detection for Frequency-Division Multiplexing QEPAS. Sensors. 2022; 22(11):4030. https://doi.org/10.3390/s22114030
Chicago/Turabian StyleChen, Xiang, Hao Liu, Mai Hu, Lu Yao, Zhenyu Xu, Hao Deng, and Ruifeng Kan. 2022. "Frequency-Domain Detection for Frequency-Division Multiplexing QEPAS" Sensors 22, no. 11: 4030. https://doi.org/10.3390/s22114030
APA StyleChen, X., Liu, H., Hu, M., Yao, L., Xu, Z., Deng, H., & Kan, R. (2022). Frequency-Domain Detection for Frequency-Division Multiplexing QEPAS. Sensors, 22(11), 4030. https://doi.org/10.3390/s22114030

