Low-Complexity Channel Codes for Reliable Molecular Communication via Diffusion
Abstract
:1. Introduction
- We introduced a new low complexity coding scheme, the TCH codes, targeted to the typically tightly constrained MC applications.
- We propose adequate symbol detection schemes for the MC channel which enable low-complexity hard and soft decision TCH decoding.
- The efficiency of the TCH encoder and decoder is analyzed and compared with other existing alternatives proposed in the literature. A thorough performance assessment of the resulting scheme is accomplished through an end-to-end MC simulator incorporating a diffusion-based channel model. Different pulse types and modulations are considered in this evaluation.
- We also present a macro-scale MC experiment, using pH as the information carrier combined with Manchester pulses, that was implemented for this study. This experiment aimed to validate the reliability of the TCH codes in an MC environment.
2. Materials and Methods
2.1. Diffusion-Based Channel
2.2. Types of Pulses
2.3. Modulation
2.4. Detection and Bit Decision
2.5. TCH Codes
2.6. Experimental Setup
2.6.1. Transmitter
2.6.2. Channel
2.6.3. Receiver
3. Results and Discussion
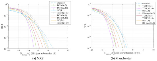
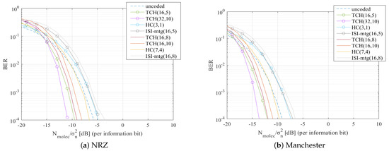
3.1. Simulation Results
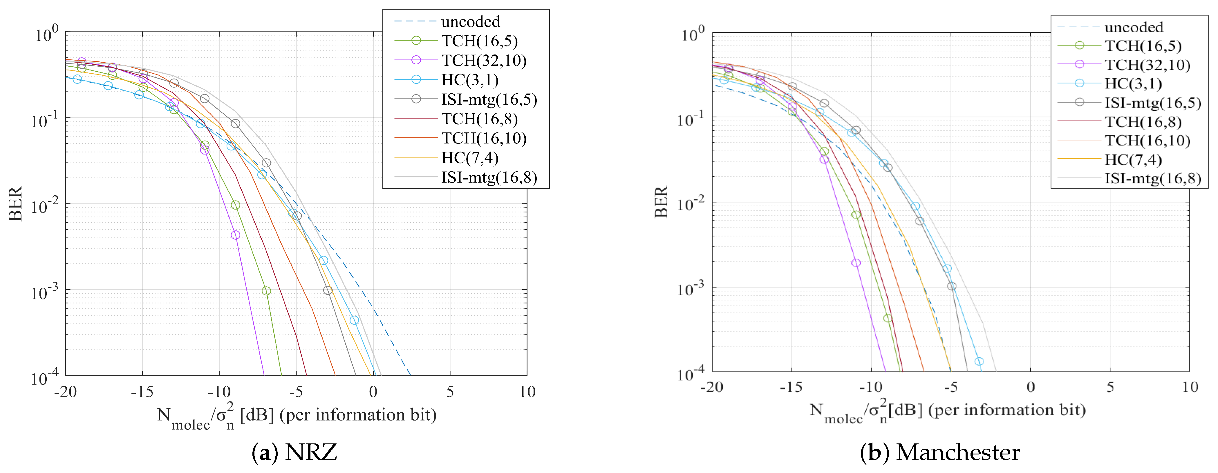
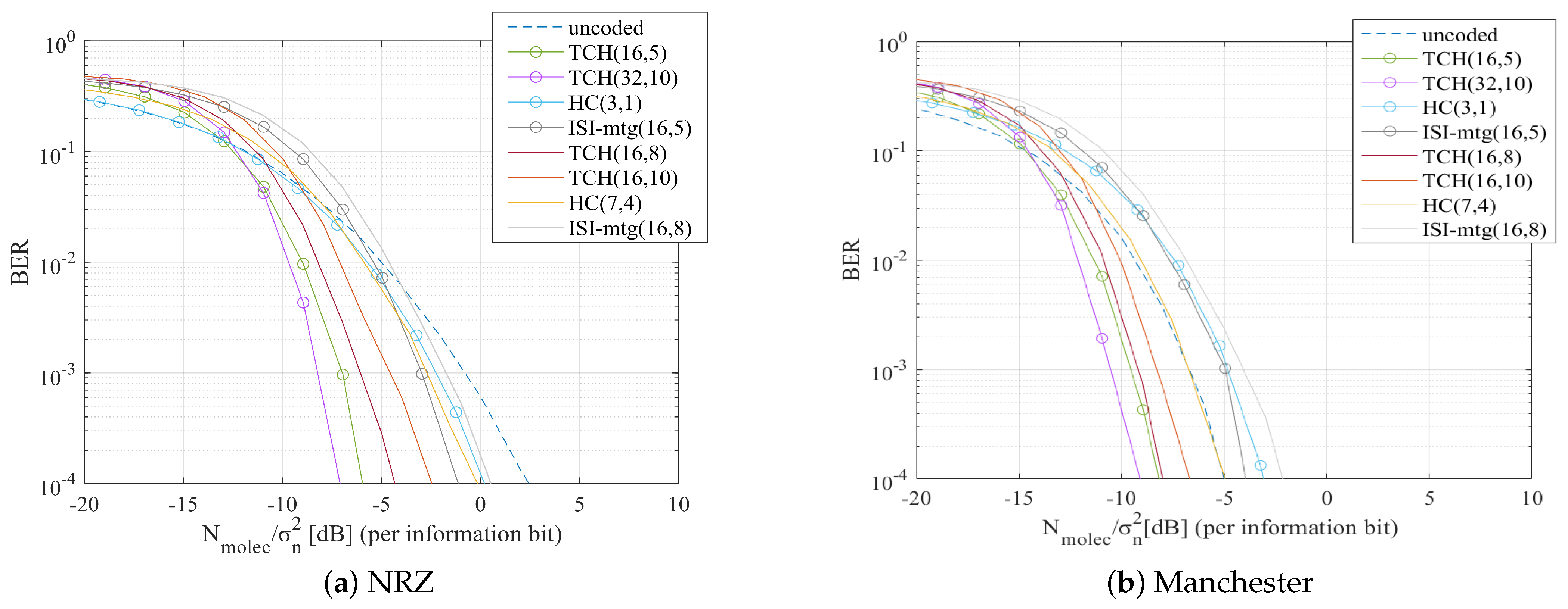
- TCH(16,5) and TCH(32,10) codes performed better than HC(3,1) and ISI-mtg(16,5). For instance, in Figure 6b for a BER reference of it can be observed a gain between 4 dB to 5 dB in terms of ;
- TCH(16,8) and TCH(16,10) codes performed better than HC(7,4) and ISI-mtg(16,8). This is illustrated, for example, in Figure 7a for a BER reference of , they had a gain between 1 dB to 2 dB compared with the HC(7,4) and a gain between 3 dB to 4 dB compared with the ISI-mtg(16,8).
- TCH(16,8) and TCH(16,10) were able to perform better than the HC(3,1) and the ISI-mtg(16,5). For example, in Figure 8a and considering a BER reference of , it can be observed a gain between 2 dB to 3 dB in terms of .
3.2. Experimental Results
4. Conclusions
Author Contributions
Funding
Institutional Review Board Statement
Informed Consent Statement
Acknowledgments
Conflicts of Interest
References
- Chowdhury, M.Z.; Shahjalal, M.; Ahmed, S.; Jang, Y.M. 6G Wireless Communication Systems: Applications, Requirements, Technologies, Challenges, and Research Directions. IEEE open j. Commun. Soc. 2020, 1, 957–975. [Google Scholar] [CrossRef]
- Chen, C.; Li, J.; Balasubramaniam, V.; Wu, Y.; Zhang, Y.; Wan, S. Contention Resolution in Wi-Fi 6-Enabled Internet of Things Based on Deep Learning. IEEE Internet Things J. 2021, 8, 5309–5320. [Google Scholar] [CrossRef]
- Juwono, F.H.; Reine, R.; Wong, W.K.; Sim, Z.A.; Gopal, L. Envisioning 6G Molecular Communication for IoBNT Diagnostic Systems. In Proceedings of the GECOST, Miri, Malaysia, 7–9 July 2021; pp. 1–5. [Google Scholar] [CrossRef]
- Shen, Q.; Wu, J.; Li, J.; Zhang, X.; Wang, K. Communication Modeling for Targeted Delivery under Bio-DoS Attack in 6G Molecular Networks. In Proceedings of the ICC 2021—IEEE International Conference on Communications, Montreal, QC, Canada, 14–23 June 2021; pp. 1–6. [Google Scholar] [CrossRef]
- Akyildiz, F.; Pierobon, M.; Balasubramaniam, S. Moving forward with molecular communication: From theory to human health applications [point of view]. Proc. IEEE 2019, 107, 858–865. [Google Scholar] [CrossRef] [Green Version]
- Kuscu, M.; Dinc, E.; Bilgin, B.A.; Ramezani, H.; Akan, O.B. Transmitter and Receiver Architectures for Molecular Communications: A Survey on Physical Design With Modulation, Coding, and Detection Techniques. Proc. IEEE 2019, 107, 1302–1341. [Google Scholar] [CrossRef] [Green Version]
- Yang, K.; Bi, D.; Deng, Y.; Zhang, R.; Rahman, M.M.U.; Ali, N.A.; Imran, M.A.; Jornet, J.M.; Abbasi, Q.H.; Alomainy, A. A comprehensive survey on hybrid communication in context of molecular communication and terahertz communication for body-centric nanonetworks. IEEE Trans. Mol. Biol. Multi-Scale Commun. 2020, 6, 107–133. [Google Scholar] [CrossRef]
- Canovas-Carrasco, S.; Garcia-Sanchez, A.; Garcia-Haro, J. The IEEE 1906.1 Standard: Some Guidelines for Strengthening Future Normalization in Electromagnetic Nanocommunications. IEEE Commun. Mag. 2018, 2, 26–32. [Google Scholar] [CrossRef]
- Lu, Y.; Ni, R.; Zhu, Q. Wireless Communication in Nanonetworks: Current Status, Prospect and Challenges. IEEE Trans. Mol. Biol. Multi-Scale Commun. 2020, 6, 71–80. [Google Scholar] [CrossRef]
- Abd El-atty, S.M.; El-taweel, A.; El-Rabaie, S. Aspects of nanoscale information transmission in nanonetworks-based molecular communication. In Proceedings of the JEC-ECC, Cairo, Egypt, 31 May–2 June 2016; pp. 131–134. [Google Scholar] [CrossRef]
- Kadloor, S.; Adve, R.S.; Eckford, A.W. Molecular Communication Using Brownian Motion With Drift. IEEE Trans. Nanobiosci. 2012, 11, 89–99. [Google Scholar] [CrossRef] [Green Version]
- Pierobon, M.; Akyildiz, I.F. A physical end-to-end model for molecular communication in nanonetworks. IEEE J. Sel. Areas Commun. 2010, 28, 602–611. [Google Scholar] [CrossRef]
- Bi, D.; Almpanis, A.; Noel, A.; Deng, Y.; Schober, R. A Survey of Molecular Communication in Cell Biology: Establishing a New Hierarchy for Interdisciplinary Applications. IEEE Commun. Surv. Tutor. 2021, 23, 1494–1545. [Google Scholar] [CrossRef]
- Kislal, A.O.; Akdeniz, B.C.; Lee, C.; Pusane, A.E.; Tugcu, T.; Chae, C.-B. ISI-Mitigating Channel Codes for Molecular Communication Via Diffusion. IEEE Access 2020, 8, 24588–24599. [Google Scholar] [CrossRef]
- Farsad, N.; Pan, D.; Goldsmith, A. A Novel Experimental Platform for In-Vessel Multi-Chemical Molecular Communications. In Proceedings of the GLOBECOM, Singapore, 4–8 December 2017; pp. 1–6. [Google Scholar] [CrossRef] [Green Version]
- Tepekule, B.; Pusane, A.E.; Yilmaz, H.B.; Chae, C.; Tugcu, T. ISI Mitigation Techniques in Molecular Communication. IEEE Trans. Mol. Biol. Multi-Scale Commun. 2015, 1, 202–216. [Google Scholar] [CrossRef] [Green Version]
- Kuran, M.Ş.; Yilmaz, H.B.; Demirkol, I.; Farsad, N.; Goldsmith, A. A Survey on Modulation Techniques in Molecular Communication via Diffusion. IEEE Commun. Surv. Tutor. 2021, 23, 7–28. [Google Scholar] [CrossRef]
- Gursoy, M.C.; Nasiri-Kenari, M.; Mitra, U. Towards High Data-Rate Diffusive Molecular Communications: Performance Enhancement Strategies. Digital Signal Process. 2021, 103161, 1051–2004. [Google Scholar] [CrossRef]
- Huang, Y.; Ji, F.; Wei, Z.; Wen, M.; Chen, X.; Tang, Y.; Guo, W. Frequency Domain Analysis and Equalization for Molecular Communication. IEEE Trans. Signal Process. 2021, 69, 1952–1967. [Google Scholar] [CrossRef]
- Damrath, M.; Hoeher, P.A. Low-complexity adaptive threshold detection for molecular communication. IEEE Trans. Nanobiosci. 2016, 15, 200–208. [Google Scholar] [CrossRef]
- Lu, Y.; Higgins, M.D.; Leeson, M.S. Diffusion based molecular communications system enhancement using high order hamming codes. In Proceedings of the 2014 9th International Symposium on Communication Systems, Networks & Digital Sign (CSNDSP), Manchester, UK, 23–25 July 2014; pp. 438–442. [Google Scholar] [CrossRef]
- Lu, Y.; Higgins, M.D.; Leeson, M.S. Comparison of Channel Coding Schemes for Molecular Communications Systems. IEEE Trans. Commun. 2015, 63, 3991–4001. [Google Scholar] [CrossRef]
- Cercas, F.A.B.; Tomlinson, M.; Albuquerque, A.A. TCH: A New Family of Cyclic Codes Length 2/sup m/. In Proceedings of the ISIT, San Antonio, TX, USA, 17–22 January 1993; p. 198. [Google Scholar] [CrossRef]
- Cercas, F.; Silva, J.; Souto, C.N.; Dinis, R. Optimum bit-mapping of TCH codes. In Proceedings of the IWSSC, Siena, Italy, 9–11 September 2009; pp. 92–96. [Google Scholar] [CrossRef]
- Cercas, F. A New Family of Codes for Simple Receiver Implementation. Ph.D. Thesis, Instituto Superior Técnico, Lisbon, Portugal, 1996. [Google Scholar]
- Jamali, V.; Ahmadzadeh, A.; Wicke, W.; Noel, A.; Schober, R. Channel Modeling for Diffusive Molecular Communication—A Tutorial Review. Proc. IEEE. 2019, 107, 1256–1301. [Google Scholar] [CrossRef] [Green Version]
- Akkaya, A.; Yilmaz, H.B.; Chae, C.; Tugcu, T. Effect of Receptor Density and Size on Signal Reception in Molecular Communication via Diffusion With an Absorbing Receiver. IEEE Commun. Lett. 2015, 19, 155–158. [Google Scholar] [CrossRef] [Green Version]
- Deng, Y.; Noel, A.; Guo, W.; Nallanathan, A.; Elkashlan, M. Analyzing Large-Scale Multiuser Molecular Communication via 3-D Stochastic Geometry. IEEE Trans. Mol. Biol. Multi-Scale Commun. 2017, 3, 118–133. [Google Scholar] [CrossRef] [Green Version]
- Yilmaz, H.B.; Suk, G.; Chae, C. Chemical Propagation Pattern for Molecular Communications. IEEE Wirel. Commun. 2017, 6, 226–229. [Google Scholar] [CrossRef] [Green Version]
- Vu, T.A.; Van Thanh, P. A simple diagram for data transmission using Manchester code. In Proceedings of the ATC, Hanoi, Vietnam, 12–14 October 2016; pp. 453–456. [Google Scholar] [CrossRef]
- Arifin, B. GChem: Assisting students learning in general chemistry. In Proceedings of the 2012 IEEE Symposium on Humanities, Science and Engineering Research, Kuala Lumpur, Malaysia, 24–27 June 2012; pp. 323–327. [Google Scholar] [CrossRef]
- Farsad, N.; Goldsmith, A. A molecular communication system using acids, bases and hydrogen ions. In Proceedings of the IEEE 17th SPAWC, Edinburgh, UK, 3–6 July 2016; pp. 1–6. [Google Scholar] [CrossRef]










| Parameter | Value |
|---|---|
| Deterministic model | Point transmitter to a spherical absorbing receiver |
| Statistical model | Gaussian approximating Poisson |
| Paired link distance () | 10 (m) |
| Diffusion Coefficient (D) | 79.4 (m/s) |
| Transmitter radius and receiver radius () | 5 (m) |
| Symbol duration () | (s) |
Publisher’s Note: MDPI stays neutral with regard to jurisdictional claims in published maps and institutional affiliations. |
© 2021 by the authors. Licensee MDPI, Basel, Switzerland. This article is an open access article distributed under the terms and conditions of the Creative Commons Attribution (CC BY) license (https://creativecommons.org/licenses/by/4.0/).
Share and Cite
Figueiredo, S.; Souto, N.; Cercas, F. Low-Complexity Channel Codes for Reliable Molecular Communication via Diffusion. Sensors 2022, 22, 41. https://doi.org/10.3390/s22010041
Figueiredo S, Souto N, Cercas F. Low-Complexity Channel Codes for Reliable Molecular Communication via Diffusion. Sensors. 2022; 22(1):41. https://doi.org/10.3390/s22010041
Chicago/Turabian StyleFigueiredo, Sofia, Nuno Souto, and Francisco Cercas. 2022. "Low-Complexity Channel Codes for Reliable Molecular Communication via Diffusion" Sensors 22, no. 1: 41. https://doi.org/10.3390/s22010041
APA StyleFigueiredo, S., Souto, N., & Cercas, F. (2022). Low-Complexity Channel Codes for Reliable Molecular Communication via Diffusion. Sensors, 22(1), 41. https://doi.org/10.3390/s22010041

