Modular Piezoresistive Smart Textile for State Estimation of Cloths
Abstract
:1. Introduction
2. Smart Textile
2.1. Structure and Working Principle
2.2. Custom PCB
2.3. Software
2.4. General Overview
3. Experimental Validation
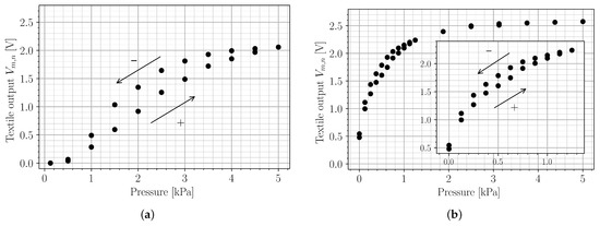
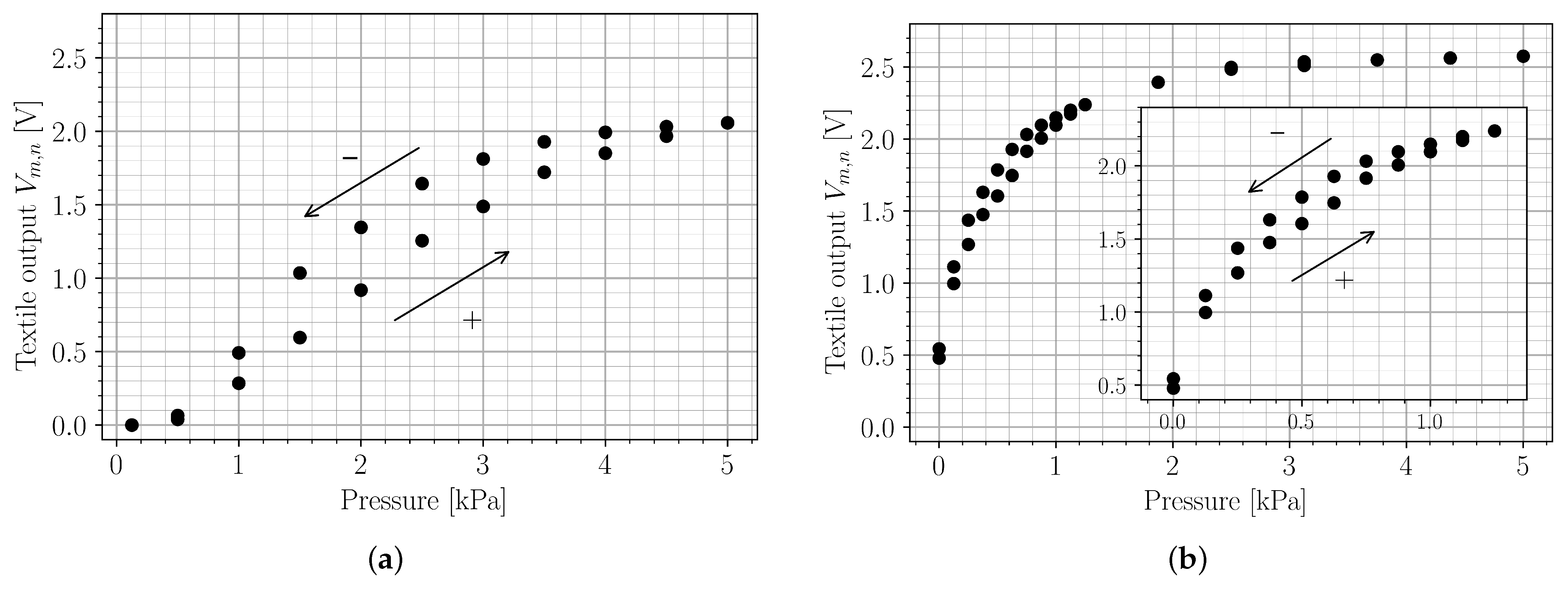
3.1. Pressure Characteristic
3.2. Stability over Time
3.3. State Classification of Cloths
4. Discussion
Author Contributions
Funding
Institutional Review Board Statement
Informed Consent Statement
Data Availability Statement
Acknowledgments
Conflicts of Interest
Abbreviations
| BLE | Bluetooth Low Energy |
| CDF | Cumulative distribution function |
| DoF | Degree of freedom |
| LiPo | Lithium polymer |
| MCU | Microcontroller unit |
| PCB | Printed circuit board |
| PLA | Polylactic acid |
| TPU | Thermoplastic polyurethane |
Appendix A. Optimal Pull-Down Resistor Value for Analog Read Pins

References
- Schneegass, S.; Amft, O. Smart Textiles; Springer: Berlin/Heidelberg, Germany, 2017; p. 4. [Google Scholar]
- Kim, S.; Lee, S.; Jeong, W. EMG Measurement with Textile-Based Electrodes in Different Electrode Sizes and Clothing Pressures for Smart Clothing Design Optimization. Polymers 2020, 12, 2406. [Google Scholar] [CrossRef] [PubMed]
- Bayrau, A.; Malengier, B.; Mengistie, D.A.; Van Langenhove, L. Evaluation of silver-coated textile electrodes for ECG recording. In Proceedings of the 2021 IEEE International Conference on Flexible and Printable Sensors and Systems (FLEPS), Manchester, UK, 16–19 August 2021; p. 4. [Google Scholar]
- Tseghai, G.B.; Malengier, B.; Fante, K.A.; Van Langenhove, L. Validating Poly(3,4-ethylene dioxythiophene) Polystyrene Sulfonate-based Textile Electroencephalography Electrodes by a Textile-based Head Phantom. Polymers 2021, 13, 3629. [Google Scholar] [CrossRef] [PubMed]
- Cochrane, C.; Hertleer, C.; Schwarz-Pfeiffer, A. Smart Textiles in Health: An Overview. In Smart Textiles and Their Applications; Koncar, V., Ed.; Elsevier: Amsterdam, The Netherlands, 2016; Volume 178, pp. 9–32. [Google Scholar]
- Haladjian, J.; Scheuermann, C.; Bredies, K.; Bruegge, B. A Smart Textile Sleeve for Rehabilitation of Knee Injuries. In Proceedings of the UbiComp ’17: The 2017 ACM International Joint Conference on Pervasive and Ubiquitous Computing, Maui, HI, USA, 11–15 September 2017; Association for Computing Machinery: New York, NY, USA, 2017; pp. 49–52. [Google Scholar] [CrossRef]
- Blecha, T.; Soukup, R.; Kaspar, P.; Hamacek, A.; Reboun, J. Smart Firefighter Protective Suit—Functional Blocks and Technologies. In Proceedings of the 2018 IEEE International Conference on Semiconductor Electronics (ICSE), Kuala Lumpur, Malaysia, 15–17 August 2018. [Google Scholar] [CrossRef]
- Lo Presti, D.; Romano, C.; Massaroni, C.; D’Abbraccio, J.; Massari, L.; Caponero, M.A.; Oddo, C.M.; Formica, D.; Schena, E. Cardio-Respiratory Monitoring in Archery Using a Smart Textile Based on Flexible Fiber Bragg Grating Sensors. Sensors 2019, 19, 3581. [Google Scholar] [CrossRef] [PubMed] [Green Version]
- Movassaghi, S.; Abolhasan, M.; Lipman, J.; Smith, D.; Jamalipour, A. Wireless Body Area Networks: A Survey. IEEE Commun. Surv. Tutorials 2014, 16, 1658–1686. [Google Scholar] [CrossRef]
- Gao, G.P.; Yang, C.; Hu, B.; Zhang, R.F.; Wang, S.F. A Wearable PIFA With an All-Textile Metasurface for 5 GHz WBAN Applications. IEEE Antennas Wirel. Propag. Lett. 2019, 18, 288–292. [Google Scholar] [CrossRef]
- Tian, X.; Zeng, Q.; Nikolayev, D.; Ho, J.S. Conformal Propagation and Near-Omnidirectional Radiation With Surface Plasmonic Clothing. IEEE Trans. Antennas Propag. 2020, 68, 7309–7319. [Google Scholar] [CrossRef]
- Avellar, L.M.; Leal-Junior, A.G.; Diaz, C.A.R.; Marques, C.; Frizera, A. POF Smart Carpet: A Multiplexed Polymer Optical Fiber-Embedded Smart Carpet for Gait Analysis. Sensors 2019, 19, 3356. [Google Scholar] [CrossRef] [PubMed] [Green Version]
- Chaccour, K.; Darazi, R.; Hajjam el Hassans, A.; Andres, E. Smart Carpet using Differential Piezoresistive Pressure Sensors for Elderly Fall Detection. In Proceedings of the 2015 IEEE 11th International Conference on Wireless and Mobile Computing, Networking and Communications (WiMob), Abu Dhabi, United Arab Emirates, 19–21 August 2015; pp. 225–229. [Google Scholar] [CrossRef]
- Heller, F.; Oßmann, L.; Hamdan, N.A.; Brauner, P.; van Heek, J.; Scheulen, K.; Möllering, C.; Goßen, L.; Witsch, R.; Ziefle, M.; et al. Gardeene! Textile Controls for the Home Environment. In Mensch und Computer 2016-Tagungsband; Gesellschaft für Informatik: Aachen, Germany, 2016. [Google Scholar] [CrossRef]
- Yuen, M.C.; Tonoyan, H.; White, E.L.; Telleria, M.; Kramer, R.K. Fabric Sensory Sleeves for Soft Robot State Estimation. In Proceedings of the 2017 IEEE International Conference on Robotics and Automation (ICRA), Singapore, 29 May–3 June 2017; pp. 5511–5518. [Google Scholar] [CrossRef]
- Case, J.C.; Booth, J.; Shah, D.S.; Yuen, M.C.; Kramer-Bottiglio, R. State and Stiffness Estimation using Robotic Fabrics. In Proceedings of the 2018 IEEE International Conference on Soft Robotics (RoboSoft), Livorno, Italy, 24–28 April 2018; pp. 522–527. [Google Scholar] [CrossRef]
- Case, J.C.; Yuen, M.C.; Jacobs, J.; Kramer-Bottiglio, R. Robotic Skins That Learn to Control Passive Structures. IEEE Robot. Autom. Lett. 2019, 4, 2485–2492. [Google Scholar] [CrossRef]
- Drimus, A.; Kootstra, G.; Bilberg, A.; Kragic, D. Design of a Flexible Tactile Sensor for Classification of Rigid and Deformable Objects. Robot. Auton. Syst. 2014, 62, 3–15. [Google Scholar] [CrossRef]
- Verleysen, A.; Holvoet, T.; Proesmans, R.; Den Haese, C.; Wyffels, F. Simpler Learning of Robotic Manipulation of Clothing by Utilizing DIY Smart Textile Technology. Appl. Sci. 2020, 10, 4088. [Google Scholar] [CrossRef]
- Zhou, B.; Altamirano, C.A.V.; Zurian, H.C.; Atefi, S.R.; Billing, E.; Martinez, F.S.; Lukowicz, P. Textile Pressure Mapping Sensor for Emotional Touch Detection in Human-Robot Interaction. Sensors 2017, 17, 2585. [Google Scholar] [CrossRef] [PubMed] [Green Version]
- Day, N.; Penaloza, J.; Santos, V.; Killpack, M. Scalable Fabric Tactile Sensor Arrays for Soft Bodies. J. Micromech. Microeng. 2018, 28, 064004. [Google Scholar] [CrossRef]
- Matas, J.; James, S.; Davison, A.J. Sim-to-Real Reinforcement Learning for Deformable Object Manipulation. arXiv 2018, arXiv:1806.07851. [Google Scholar]
- Tsurumine, Y.; Cui, Y.; Uchibe, E.; Matsubara, T. Deep Reinforcement Learning with Smooth Policy Update: Application to Robotic Cloth Manipulation. Robot. Auton. Syst. 2018, 112, 72–83. [Google Scholar] [CrossRef]







| Characteristic | Value |
|---|---|
| Microcontroller module | Nina B306 with internal nRF52840 |
| PCB size | 20.2 mm by 20.2 mm |
| Readout frequency | 66 Hz |
| Data resolution | 8 bit |
| Normal operation current consumption (PCB only) | 7 mA |
| Power down current consumption | 3 µA |
| Battery life | |
| At rest | 16 h 37 min–16 h 47 min |
| Folded diagonally | 15 h 05 min–15 h 13 min |
| Part | Qty Needed | Qty Bought | Cost (€) | Source |
|---|---|---|---|---|
| Nina B306 | 1 | 1 | 11.35 | Mouser |
| Other PCB components | / | 1 each | 7.57 | Mouser |
| PLA for PCB holder | 0.92 g | 1 kg | 0.04 | Mouser |
| 160 mAh LiPo battery | 1 | 5 | 2.49 | EHAO Technology Co., Ltd. (AliExpress) |
| Cotton textile | 1352 cm2 | 1.4 m2 | 0.61 | YES Fabrics |
| Shieldex® Balingen | 224 cm2 | 1.4 m2 | 0.70 | Shieldex |
| Velostat™ | 289 cm2 | 784 cm2 | 1.58 | Digikey |
| Bemis 3914 100 μm TPU | 314 cm2 | 68 m2 | 0.31 | Bemis Associates Inc. |
| Agsis™ conductive thread | 3 m | 30 m | 0.67 | Syscom Advanced Materials (Amazon) |
| Total cost: | 25.32 | |||
| open | 97.1 ± 4.9 | 0.0 ± 0.0 | 2.9 ± 4.9 | |
| True Class | folded | 1.9 ± 3.0 | 90.5 ± 7.0 | 7.6 ± 5.6 |
| random | 6.7 ± 8.7 | 9.5 ± 7.0 | 83.8 ± 14.6 | |
| open | folded | random | ||
| Predicted Class | ||||
Publisher’s Note: MDPI stays neutral with regard to jurisdictional claims in published maps and institutional affiliations. |
© 2021 by the authors. Licensee MDPI, Basel, Switzerland. This article is an open access article distributed under the terms and conditions of the Creative Commons Attribution (CC BY) license (https://creativecommons.org/licenses/by/4.0/).
Share and Cite
Proesmans, R.; Verleysen, A.; Vleugels, R.; Veske, P.; De Gusseme, V.-L.; Wyffels, F. Modular Piezoresistive Smart Textile for State Estimation of Cloths. Sensors 2022, 22, 222. https://doi.org/10.3390/s22010222
Proesmans R, Verleysen A, Vleugels R, Veske P, De Gusseme V-L, Wyffels F. Modular Piezoresistive Smart Textile for State Estimation of Cloths. Sensors. 2022; 22(1):222. https://doi.org/10.3390/s22010222
Chicago/Turabian StyleProesmans, Remko, Andreas Verleysen, Robbe Vleugels, Paula Veske, Victor-Louis De Gusseme, and Francis Wyffels. 2022. "Modular Piezoresistive Smart Textile for State Estimation of Cloths" Sensors 22, no. 1: 222. https://doi.org/10.3390/s22010222
APA StyleProesmans, R., Verleysen, A., Vleugels, R., Veske, P., De Gusseme, V.-L., & Wyffels, F. (2022). Modular Piezoresistive Smart Textile for State Estimation of Cloths. Sensors, 22(1), 222. https://doi.org/10.3390/s22010222

