Optical Gas Sensing with Liquid Crystal Droplets and Convolutional Neural Networks
Abstract
1. Introduction
2. Materials and Methods
2.1. Reagents
2.2. Video-Recording of the Sensor’s Optical Response to VOCs
2.3. Video Analysis Strategy
2.3.1. Droplet Detection
2.3.2. Feature Extraction
2.3.3. Classification and Regression
2.3.4. Performance Evaluation
3. Results
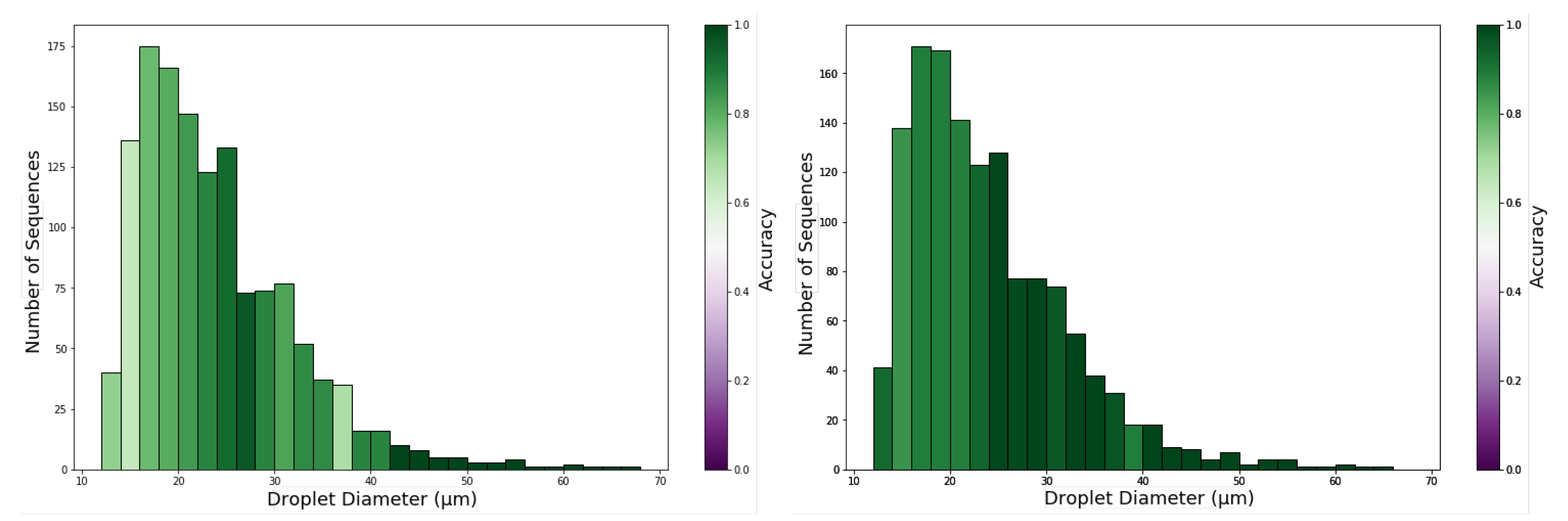
3.1. Droplet Detection
3.2. VOC Recognition
3.3. Acetone Concentration
4. Discussion
4.1. YOLO Detection
4.2. VOC Recognition
4.3. Acetone Concentration
5. Conclusions
Supplementary Materials
Author Contributions
Funding
Institutional Review Board Statement
Informed Consent Statement
Data Availability Statement
Conflicts of Interest
Abbreviations
| AP | Average precision |
| CNN | Convolutional neural network |
| DMMP | Dimethyl-methylphosphonate |
| FN | False negatives |
| FP | False positives |
| IOU | Intersection over union |
| LC | Liquid Crystal |
| LSTM | Long short time memory |
| MAE | Mean Absolute Error |
| mAP | Mean average precision |
| MFC | Mass flow controller |
| NMS | Non maximum suppression |
| POM | Polarised optical microscope |
| ReLU | Rectified linear unit |
| RGB | Red Green Blue |
| SLPM | Standard litre per minute |
| SVM | Support vector machine |
| VOC | Volatile organic compound |
| TN | True negatives |
| TP | True positives |
| TS | Time step |
| YOLO | You only look once |
References
- Esteves, C.; Ramou, E.; Porteira, A.R.P.; Moura Barbosa, A.J.; Roque, A.C.A. Seeing the Unseen: The Role of Liquid Crystals in Gas-Sensing Technologies. Adv. Opt. Mater. 2020, 8, 1902117. [Google Scholar] [CrossRef] [PubMed]
- Dey, A. Semiconductor metal oxide gas sensors: A review. Mater. Sci. Eng. B 2018, 229, 206–217. [Google Scholar] [CrossRef]
- Park, S.J.; Park, C.S.; Yoon, H. Chemo-Electrical Gas Sensors Based on Conducting Polymer Hybrids. Polymers 2017, 9, 155. [Google Scholar] [CrossRef]
- Mlsna, T.E.; Cemalovic, S.; Warburton, M.; Hobson, S.T.; Mlsna, D.A.; Patel, S.V. Chemicapacitive microsensors for chemical warfare agent and toxic industrial chemical detection. Sens. Actuators B Chem. 2006, 116, 192–201. [Google Scholar] [CrossRef]
- Semeano, A.T.; Maffei, D.F.; Palma, S.; Li, R.W.; Franco, B.D.; Roque, A.C.; Gruber, J. Tilapia fish microbial spoilage monitored by a single optical gas sensor. Food Control 2018, 89, 72–76. [Google Scholar] [CrossRef]
- Spinelle, L.; Gerboles, M.; Kok, G.; Persijn, S.; Sauerwald, T. Review of Portable and Low-Cost Sensors for the Ambient Air Monitoring of Benzene and Other Volatile Organic Compounds. Sensors 2017, 17, 1520. [Google Scholar] [CrossRef]
- Broza, Y.; Vishinkin, R.; Barash, O.; Nakhleh, M.; Haick, H. Synergy between nanomaterials and volatile organic compounds for non-invasive medical evaluation. Chem. Soc. Rev. 2018, 47, 4781–4859. [Google Scholar] [CrossRef]
- Phillips, M.; Gleeson, K.; Hughes, J.M.B.; Greenberg, J.; Cataneo, R.N.; Baker, L.; McVay, W.P. Volatile organic compounds in breath as markers of lung cancer: A cross-sectional study. Lancet 1999, 353, 1930–1933. [Google Scholar] [CrossRef]
- Lim, S.H.; Martino, R.; Anikst, V.; Xu, Z.; Mix, S.; Benjamin, R.; Schub, H.; Eiden, M.; Rhodes, P.A.; Banaei, N. Rapid Diagnosis of Tuberculosis from Analysis of Urine Volatile Organic Compounds. ACS Sens. 2016, 1, 852–856. [Google Scholar] [CrossRef] [PubMed]
- Palma, S.; Traguedo, A.P.; Porteira, A.R.; Frias, M.J.; Gamboa, H.; Roque, A.C.A. Machine learning for the meta-analyses of microbial pathogens’ volatile signatures. Sci. Rep. 2018, 8, 3360. [Google Scholar] [CrossRef]
- Hussain, A.; Pina, A.; Roque, A. Bio-recognition and detection using liquid crystals. Biosens. Bioelectron. 2009, 25, 1–8. [Google Scholar] [CrossRef] [PubMed]
- Carlton, R.J.; Hunter, J.T.; Miller, D.S.; Abbasi, R.; Mushenheim, P.C.; Tan, L.N.; Abbott, N.L. Chemical and biological sensing using liquid crystals. Liq. Cryst. Rev. 2013, 1, 29–51. [Google Scholar] [CrossRef]
- Popov, N.; Honaker, L.W.; Popova, M.; Usol’tseva, N.; Mann, E.K.; Jákli, A.; Popov, P. Thermotropic Liquid Crystal-Assisted Chemical and Biological Sensors. Materials 2018, 11, 20. [Google Scholar] [CrossRef]
- Novak, T.J.; Poziomek, E.J.; Mackay, R.A. Use of Anisotropic Materials as Chemical Detectors. Anal. Lett. 1972, 5, 187–192. [Google Scholar] [CrossRef]
- Poziomek, E.J.; Novak, T.J.; Mackay, R.A. Use of Liquid Crystals as Vapor Detectors. Mol. Cryst. Liq. Cryst. 1974, 27, 175–185. [Google Scholar] [CrossRef]
- Ding, X.; Yang, K.L. Liquid crystal based optical sensor for detection of vaporous butylamine in air. Sens. Actuators B Chem. 2012, 173, 607–613. [Google Scholar] [CrossRef]
- Hu, Q.; Jang, C.H. Spontaneous formation of micrometer-scale liquid crystal droplet patterns on solid surfaces and their sensing applications. Soft Matter 2013, 9, 5779–5784. [Google Scholar] [CrossRef]
- Sen, A.; Kupcho, K.A.; Grinwald, B.A.; VanTreeck, H.J.; Acharya, B.R. Liquid crystal-based sensors for selective and quantitative detection of nitrogen dioxide. Sens. Actuators B Chem. 2013, 178, 222–227. [Google Scholar] [CrossRef][Green Version]
- Hussain, A.; Semeano, A.T.S.; Palma, S.I.C.J.; Pina, A.S.; Almeida, J.; Medrado, B.F.; Pádua, A.C.C.S.; Carvalho, A.L.; Dionísio, M.; Li, R.W.C.; et al. Tunable Gas Sensing Gels by Cooperative Assembly. Adv. Funct. Mater. 2017, 27, 1700803. [Google Scholar] [CrossRef]
- Esteves, C.; Santos, G.M.; Alves, C.; Palma, S.I.; Porteira, A.R.; Costa, H.M.; Alves, V.D.; Faustino, B.M.M.; Ferreira, I.; Gamboa, H.; et al. Effect of film thickness in gelatin hybrid gels for artificial olfaction. Mater. Today Bio 2019, 1, 100002. [Google Scholar] [CrossRef] [PubMed]
- Cao, Y.; Yu, H.; Abbott, N.; Zavala, V. Machine Learning Algorithms for Liquid Crystal-Based Sensors. ACS Sens. 2018, 3, 2237–2245. [Google Scholar] [CrossRef]
- Smith, A.D.; Abbott, N.; Zavala, V.M. Convolutional Network Analysis of Optical Micrographs for Liquid Crystal Sensors. J. Phys. Chem. C 2020, 124, 15152–15161. [Google Scholar] [CrossRef]
- Krizhevsky, A.; Sutskever, I.; Hinton, G.E. Imagenet classification with deep convolutional neural networks. In Advances in Neural Information Processing Systems; 2012; pp. 1097–1105. Available online: https://kr.nvidia.com/content/tesla/pdf/machine-learning/imagenet-classification-with-deep-convolutional-nn.pdf (accessed on 18 April 2021).
- Simonyan, K.; Zisserman, A. Very deep convolutional networks for large-scale image recognition. In Proceedings of the 3rd International Conference on Learning Representations (ICLR 2015), San Diego, CA, USA, 7–9 May 2015. [Google Scholar]
- Kim, Y.S.; Ha, S.C.; Yang, H.; Kim, Y.T. Gas sensor measurement system capable of sampling volatile organic compounds (VOCs) in wide concentration range. Sens. Actuators B Chem. 2007, 122, 211–218. [Google Scholar] [CrossRef]
- Redmon, J.; Farhadi, A. YOLOv3: An Incremental Improvement. arXiv 2018, arXiv:1804.02767. [Google Scholar]
- Goodfellow, I.J.; Bengio, Y.; Courville, A. Deep Learning; MIT Press: Cambridge, MA, USA, 2016. [Google Scholar]
- Hochreiter, S.; Schmidhuber, J. Long short-term memory. Neural Comput. 1997, 9, 1735–1780. [Google Scholar] [CrossRef]
- LeCun, Y.; Bottou, L.; Bengio, Y.; Haffner, P. Gradient-based learning applied to document recognition. Proc. IEEE 1998, 86, 2278–2324. [Google Scholar] [CrossRef]
- Kuncheva, L.I. Combining Pattern Classifiers: Methods and Algorithms; Wiley: Hoboken, NJ, USA, 2004. [Google Scholar]












| Parameters | Value |
|---|---|
| Batch Size | 5 |
| Image Resize | 416 × 416 |
| Keep Aspect Ratio | True |
| Batch Norm Decay | 0.99 |
| L2 Weight Decay | 5 × 10 |
| Optimizer | Momentum |
| Learning Rates | 1 × 10, 3 × 10, 1 × 10 |
| Fine Tuning | Whole Model |
| NMS Threshold | 0.5 |
| mAP Threshold | 0.5 |
| Task | Train | Validation | Test |
|---|---|---|---|
| VOC recognition | 4295 | 1368 | 1345 |
| Acetone concentration | 4513 | 920 | 699 |
| Parameters | CNN3D | CNN2D + LSTM |
|---|---|---|
| Number of Filters | 16, 32 | 8, 16, 32 |
| Filter Dimensions | (), (), () | (), (), () |
| Stride | 1 | 1 |
| Max-Pool window | ||
| Max-Pool stride | 2 | 2 |
| Dropout Rate | 0.2, 0.35, 0.5 | 0.5 |
| Units FCL 1 | 32 | 16, 32 |
| Units LSTM | - | 16, 32 |
| Units Softmax | 11 | 11 |
| Single Models | Ensemble Models | |||
|---|---|---|---|---|
| VOC | CNN3D | NN2D+LSTM | CNN3D | CNN2D+LSTM |
| Acetone | 1 | 0.981 | 1 | 1 |
| Acetonitrile | 0.569 | 0.887 | 0.732 | 0.962 |
| Chloroform | 0.807 | 0.977 | 1 | 1 |
| Dichloromethane | 0.167 | 0.834 | 0.467 | 0.763 |
| Diethyl ether | 0.876 | 0.803 | 1 | 0.96 |
| Ethanol | 0.965 | 0.978 | 0.972 | 0.991 |
| Diethyl acetate | 0.465 | 0.608 | 0.191 | 0.594 |
| Heptane | 1 | 1 | 1 | 1 |
| Hexane | 0.978 | 0.990 | 1 | 1 |
| Methanol | 0.951 | 0.989 | 1 | 1 |
| Toluene | 0.451 | 0.940 | 0.889 | 0.982 |
| Macro | 0.748 | 0.908 | 0.841 | 0.932 |
| Model | MAE% (v/v) |
|---|---|
| CNN3D | 0.2425 |
| CNN2D+LSTM | 0.2669 |
Publisher’s Note: MDPI stays neutral with regard to jurisdictional claims in published maps and institutional affiliations. |
© 2021 by the authors. Licensee MDPI, Basel, Switzerland. This article is an open access article distributed under the terms and conditions of the Creative Commons Attribution (CC BY) license (https://creativecommons.org/licenses/by/4.0/).
Share and Cite
Frazão, J.; Palma, S.I.C.J.; Costa, H.M.A.; Alves, C.; Roque, A.C.A.; Silveira, M. Optical Gas Sensing with Liquid Crystal Droplets and Convolutional Neural Networks. Sensors 2021, 21, 2854. https://doi.org/10.3390/s21082854
Frazão J, Palma SICJ, Costa HMA, Alves C, Roque ACA, Silveira M. Optical Gas Sensing with Liquid Crystal Droplets and Convolutional Neural Networks. Sensors. 2021; 21(8):2854. https://doi.org/10.3390/s21082854
Chicago/Turabian StyleFrazão, José, Susana I. C. J. Palma, Henrique M. A. Costa, Cláudia Alves, Ana C. A. Roque, and Margarida Silveira. 2021. "Optical Gas Sensing with Liquid Crystal Droplets and Convolutional Neural Networks" Sensors 21, no. 8: 2854. https://doi.org/10.3390/s21082854
APA StyleFrazão, J., Palma, S. I. C. J., Costa, H. M. A., Alves, C., Roque, A. C. A., & Silveira, M. (2021). Optical Gas Sensing with Liquid Crystal Droplets and Convolutional Neural Networks. Sensors, 21(8), 2854. https://doi.org/10.3390/s21082854

