Sensor Based on a Poly[2-(Dimethylamino)ethyl Methacrylate-Co-Styrene], Gold Nanoparticles, and Methylene Blue-Modified Glassy Carbon Electrode for Melamine Detection
Abstract
1. Introduction
2. Materials and Methods
2.1. Characterization Techniques
2.2. Synthesis of Poly(DMAEMA-Co-Styrene)
2.3. Synthesis of Modified Electrode GCE/PN-AuNPs-MB
3. Results and Discussion
3.1. Synthesis and Characterization of Poly(DMAEMA-Co-Styrene)
3.2. Electrochemical Characterization of Modified Electrode GCE/PN–AuNPs–MB
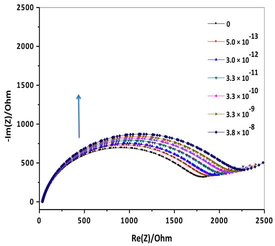
3.3. Electrochemical Behavior of Melamine on the GCE/PN–AuNPs–MB
3.4. Selectivity of the GCE/PN–AuNPs–MB
3.5. Mechanism and Adsorption Energy of MEL on GCE/PN–AuNPs–MB
4. Conclusions
Author Contributions
Funding
Conflicts of Interest
References
- Mas, S.; De Juan, A.; Tauler, R.; Olivieri, A.C.; Escandar, G.M. Application of chemometric methods to environmental analysis of organic pollutants: A review. Talanta 2010, 80, 1052–1067. [Google Scholar] [CrossRef]
- Ko, A.; Hungerbu, K. Organic Pollutant Removal versus Toxicity Reduction in Industrial Wastewater Treatment: The Example of Wastewater from Fluorescent Whitening Agent Production. Environ. Sci. Technol. 2006, 40, 3395–3401. [Google Scholar]
- Wang, Y.; Guo, Y.; Pan, K.; Lin, X.; Ni, Y. Electrochemical Reaction Mechanism of Nitrofurazone at Poly-ACBK/GCE and Its Analytic Application. Chem. Afr. 2020, 3, 727–734. [Google Scholar] [CrossRef]
- Tyan, Y.; Yang, M.; Jong, S. Melamine contamination. Anal. Bioanal. Chem. 2009, 395, 729–735. [Google Scholar] [CrossRef] [PubMed]
- Ebner, I.; Haberer, S.; Sander, S.; Kappenstein, O.; Luch, A.; Bruhn, T. Release of Melamine and Formaldehyde from Melamine-Formaldehyde Plastic Kitchenware. Molecules 2020, 25, 3629. [Google Scholar] [CrossRef] [PubMed]
- Smit, C.E. Water Quality Standards for Melamine: A Proposal in Accordance with the Methodology of the Water Framework Directive; RIVM Letter Report 2018-0077; RIVM: Bilthoven, The Netherlands, 2018. [CrossRef]
- An, H.; Li, X.; Yang, Q.; Wang, D.; Xie, T.; Zhao, J.; Xu, Q.; Chen, F.; Zhong, Y.; Yuan, Y.; et al. The behavior of melamine in biological wastewater treatment system. J. Hazard. Mater. 2017, 322, 445–453. [Google Scholar] [CrossRef] [PubMed]
- Zhu, H.; Kannan, K. Occurrence and distribution of melamine and its derivatives in surface water, drinking water, precipitation, wastewater, and swimming pool water. Environ. Pollut. 2020, 258, 113743. [Google Scholar] [CrossRef]
- Manav, H.M.; Gurbuz, O.; Cumbul, D.; Tokat, I.E.; Korkmaz, E.; Dagdelen, A.F. Investigation of overall and melamine migration from melamine bowls. Acta Aliment. 2019, 48, 187–195. [Google Scholar] [CrossRef]
- Sharma, K.; Paradakar, M. The melamine adulteration scandal. Food Secur. 2010, 2, 97–107. [Google Scholar] [CrossRef]
- Arfaoui, F.; Khlifi, A.; Bargaoui, M.; Khalfaoui, M.; Kalfat, R. Thin Melamine Imprinted Sol Gel Coating on Silica Beads: Experimental and Statistical Physics Study. Chem. Afr. 2018, 1, 175–185. [Google Scholar] [CrossRef]
- Rai, N.; Banerjee, D.; Bhattacharyya, R. Urinary melamine: Proposed parameter of melamine adulteration of food. Nutrition 2014, 30, 380–385. [Google Scholar] [CrossRef]
- Karahalil, B. Melamine Toxicity and Safety Issues Related to Infant Formula. J. Transl. Toxicol. 2014, 1, 72–75. [Google Scholar] [CrossRef]
- Wen, J.G.; Liu, X.J.; Wang, Z.M.; Li, T.F.; Wahlqvist, M.L. Melamine-contaminated milk formula and its impact on children. Asia Pac. J. Clin. Nutr. 2016, 25, 697–705. [Google Scholar] [CrossRef]
- WHO. Expert Meeting to Review Toxicological Aspects of Melamine and Cyanuric Acid. In Proceedings of the in Collaboration with FAO and Supported by Health Canada, Ottawa, Ont, Canada, 1–4 December 2008. Available online: http://www.fao.org/food/food-safety-quality/a-z-index/melamine/en/ (accessed on 4 April 2021).
- Li, Y.; Xu, J.; Sun, C. Chemical Sensors and Biosensors for the Detection of Melamine. RSC Adv. 2015, 5, 1125–1147. [Google Scholar] [CrossRef]
- Guérin, T.; Alexander, J.; Benford, D.; Boobis, A.; Ceccatelli, S.; Cravedi, J.-P.; Di Domenico, A.; Doerge, D.; Edler, L.; Farmer, P.; et al. Scientific Opinion on Melamine in Food and Feed, EFSA Panel on Contaminants in the Food Chain (CONTAM) and EFSA Panel on Food Contact Materials, Enzymes, Flavourings and Processing Aids (CEF). EFSA J. 2010, 8, 1573. [Google Scholar] [CrossRef]
- Hsieh, D.P.H.; Chiang, C.F.; Chiang, P.H.; Wen, C.P. Toxicological analysis points to a lower tolerable daily intake of melamine in food. Regul. Toxicol. Pharmacol. 2009, 55, 13–16. [Google Scholar] [CrossRef] [PubMed]
- Guth, U.; Vonau, W.; Zosel, J. Recent developments in electrochemical sensor application and technology—A review. Meas. Sci. Technol. 2009, 20. [Google Scholar] [CrossRef]
- Windmiller, J.R.; Wang, J. Wearable Electrochemical Sensors and Biosensors: A Review. Electroanalysis 2012, 24, 1–18. [Google Scholar] [CrossRef]
- Sall, M.L.; Fall, B.; Diédhiou, I.; Dièye, E.H.; Lo, M.; Diagne Diaw, A.K.; Gningue-Sall, D.; Raoua, N.; Fall, M. Toxicity and Electrochemical Detection of Lead, Cadmium and Nitrite Ions by Organic Conducting Polymers: A Review. Chem. Afr. 2020, 3, 499–512. [Google Scholar] [CrossRef]
- Ramachandran, R.; Chen, S.M.; Baskar, T.; Elumalai, P.; Raja, P.; Chen, T.; Kannan, R.; Kannaiyan, D.; George, G.K. A review of the advanced developments of electrochemical sensors for the detection of toxic and bioactive molecules. Inorg. Chem. Front. 2019, 6, 3418–3439. [Google Scholar] [CrossRef]
- Buffa, A.; Mandler, D. Adsorption and Detection of Organic Pollutants by Fixed Bed Carbon Nanotube Electrochemical Membrane. Chem. Eng. J. 2019, 359, 130–137. [Google Scholar] [CrossRef]
- Cui, L.; Wu, J.; Ju, H. Electrochemical sensing of heavy metal ions with inorganic, organic and bio-materials. Biosens. Bioelectron. 2015, 63, 276–286. [Google Scholar] [CrossRef] [PubMed]
- Liu, F.; Yang, X.; Sun, S. Determination of melamine based on electrochemiluminescence of Ru(bpy)32+ at bare and single-wall carbon nanotube modified glassy carbon electrodes. Analyst 2011, 136, 374–378. [Google Scholar] [CrossRef] [PubMed]
- Li, J.; Chen, Z.; Li, Y. A strategy for constructing sensitive and renewable molecularly imprinted electrochemical sensors for melamine detection. Anal Chim. Acta 2011, 706, 255–260. [Google Scholar] [CrossRef] [PubMed]
- Rao, H.; Chen, M.; Ge, H.; Lu, Z.; Liu, X.; Zou, P.; Wang, X.; He, H.; Zeng, X.; Wang, Y. A novel electrochemical sensor based on Au@PANI composites film modified glassy carbon electrode binding molecular imprinting technique for the determination of melamine. Biosens. Bioelectron. 2017, 87, 1029–1035. [Google Scholar] [CrossRef]
- Zhu, H.; Zhang, S.; Li, M.; Shao, Y.; Zhu, Z. Electrochemical sensor for melamine based on its copper complex. Chem. Commun. 2010, 46, 2259–2261. [Google Scholar] [CrossRef]
- Liao, C.-W.; Chen, Y.-R.; Chang, J.-L.; Zen, J.-M. Single-Run Electrochemical Determination of Melamine in Dairy Products and Pet Foods. J. Agric. Food Chem. 2011, 59, 9782–9787. [Google Scholar] [CrossRef]
- Cao, Q.; Zhao, H.; Zeng, L.; Wang, J.; Wang, R.; Qiu, X.; He, Y. Electrochemical determination of melamine using oligonucleotides modified gold electrodes. Talanta 2009, 80, 484–488. [Google Scholar] [CrossRef]
- Liao, C.-W.; Chen, Y.-R.; Chang, J.-L.; Zen, J.-M. A Sensitive Electrochemical Approach for Melamine Detection Using a Disposable Screen Printed Carbon Electrode. Electroanalysis 2011, 23, 573–576. [Google Scholar] [CrossRef]
- Rovina, K.; Siddiquee, S.; Kui, N. Sensing and Bio-Sensing Research Development of melamine sensor based on ionic liquid/nanoparticles/chitosan with modified gold electrode for determination of melamine in milk product. Sens. Bio-Sens. Res. 2015, 4, 16–22. [Google Scholar] [CrossRef][Green Version]
- Sahiner, N. A Facile Method for the Preparation of Poly(4-vinylpyridine) Nanoparticles and Their Characterization. Turk. J. Chem. 2009, 33, 23–31. [Google Scholar] [CrossRef]
- Kavakl, Ã.; Kavakl, C.; Olgun, G. Preparation of quaternized dimethylaminoethylmethacrylate grafted nonwoven fabric for the removal of phosphate. Radiat. Phys. Chem. 2010, 79, 233–237. [Google Scholar] [CrossRef]
- Junfei, F.; Yimin, X.; Qiang, L.I. Preparation of polystyrene spheres in different particle sizes and assembly of the PS colloidal crystals. Sci. China Tech. Sci. 2010, 53, 3088–3093. [Google Scholar] [CrossRef]
- Li, B.; Wang, Y.; Wei, H.; Dong, S. Amplified electrochemical aptasensor taking AuNPs based sandwich sensing platform as a model. Biosens. Bioelectron. 2008, 23, 965–970. [Google Scholar] [CrossRef]
- Cakmak, D.; Bulut, T.; Uzun, D. Electrocatalytic Investigations of Cu(II) and Fe(III) Complexes of Salophen Derivative Schiff Bases on the Pencil Graphite Electrode. Electroanalysis 2020, 32, 1559–1570. [Google Scholar] [CrossRef]
- Aberkane, F.; Barakat, A.; Elaissari, A.; Zine, N.; Bendaikha, T.; Errachid, A. Electrochemical Sensor Based on Thioether Oligomer Poly(N-vinylpyrrolidone)-modified Gold Electrode for Bisphenol A Detection. Electroanalysis 2019, 31, 2112–2119. [Google Scholar] [CrossRef]
- Zoski, C.G. Handbook of Electrochemistry, 1st ed.; Elsevier: Amsterdam, The Netherlands, 2007; pp. 844–845. [Google Scholar]
- Vaireanu, D.I.; Cojocaru, A.; Maior, I.; Ciobotaru, I.A. Food-packaging interactions investigated by electrochemical impedance spectroscopy. J. Food Process. Eng. 2018, 4, e12615. [Google Scholar] [CrossRef]
- Cesiulis, H.; Tsyntsaru, N.; Ramanavicius, A.; Ragoisha, G. The Study of Thin Films by Electrochemical Impedance Spectroscopy. In Nanostructures and Thin Films for Multifunctional Applications, Nano Science and Technology, 1st ed.; Tiginyanu, I., Topala, P., Ursaki, V., Eds.; Springer International Publishing: Cham, Switzerland, 2016; pp. 3–42. [Google Scholar] [CrossRef]
- Ghazizadeh, E.; Moosavifard, S.E.; Daneshmand, N.; Kaverlavani, S.K. Impediometric Electrochemical Sensor Based on the Inspiration of Carnation Italian Ringspot Virus Structure to Detect an Attommolar of miR. Sci. Rep. 2020, 10, 9645. [Google Scholar] [CrossRef]
- Zhao, T.; Liu, L.; Li, G.; Dang, A.; Li, T. Electrochemical Determination of Melamine with a Glassy Carbon Electrode Coated with a Multi-Wall Carbon Nanotube/Chitosan Composite. J. Electrochem. Soc. 2012, 159, K141–K145. [Google Scholar] [CrossRef]
- Peng, J.; Feng, Y.; Han, X.X.; Gao, Z.N. Sensitive electrochemical detection of melamine based on gold nanoparticles deposited on a graphene doped carbon paste electrode. Anal. Methods 2016, 8, 2526–2532. [Google Scholar] [CrossRef]
- Ji, Z.; Chen, W.; Wang, E.; Deng, R. Electropolymerized Molecular Imprinting & Graphene Modified Electrode for Detection of Melamine. Int. J. Electrochem. Sci. 2017, 12, 11942–11954. [Google Scholar] [CrossRef]
- Wu, B.; Wang, Z.; Zhao, D.; Lu, X. A novel molecularly imprinted impedimetric sensor for melamine determination. Talanta 2012, 101, 374–381. [Google Scholar] [CrossRef] [PubMed]
- Guo, Z.; Zhao, Y.; Li, Y.; Bao, T.; Sun, T.; Li, D. A Electrochemical Sensor for Melamine Detection Based on Copper-Melamine Complex Using OMC Modified Glassy Carbon Electrode. Food Anal. Methods 2018, 11, 546–555. [Google Scholar] [CrossRef]
- Xue, J.; Lee, P.T.; Compton, R.G. Electrochemical Detection of Melamine. Electroanalysis 2014, 26, 1–7. [Google Scholar] [CrossRef]
- Bagherzadeh, M.; Ansari, S.; Riahi, F.; Farahbakhsh, A. A Dopamine Sensor Based on Pre-Concentration by Magnetic Nanoparticles. Int. J. Electrochem. 2013, 2013, 1–10. [Google Scholar] [CrossRef]
- Murthy, Z.V.P.; Vijayaragavan, K. Mild steel corrosion inhibition by acid extract of leaves of Hibiscus sabdariffa as a green corrosion inhibitor and sorption behavior. Green Chem. Lett. Rev. 2014, 7, 209–219. [Google Scholar] [CrossRef]












| Electrode | Method | Linear Range | LOD | Refs |
|---|---|---|---|---|
| Ionic liquid/calcium oxide nanoparticles/chitosan modified gold electrode | DPV | 9.6 × 10−3 – 9.6 × 10−15 M | 9.6 × 10−16 M | [32] |
| Glassy carbon electrode coated with a multi-wall carbon nanotube/chitosan composite | DPV | 9.9 × 10−9 – 1.9 × 10−7 M | 3.0 × 10−9 M | [43] |
| Gold nanoparticles deposited on a graphene doped carbon paste electrode | DPV | 2 × 10−10 – 8 × 10−7 M and 8 × 10−7 – 8 × 10−3 M | 1.8 × 10−11 M | [44] |
| Molecularly imprinted polypyrrole and graphene modified glassy carbon electrode | DPV | 3 × 10−8 – 1 × 10−4 M | 1.02 × 10−8 M | [45] |
| Molecularly imprinted poly(2-mercaptobenzimidazole) modified gold electrode | Impedance | 1 × 10−8 M – 5 × 10−5 M | 3 × 10−9 M | [46] |
| Ordered mesoporous carbon modified glassy carbon electrode | DPV | 1 × 10−8 – 5 × 10−7 M | 2 × 10−9 M | [47] |
| GCE/PN–AuNPs–MB | Impedance | 5.0 × 10−13 − 3.8 × 10−8 M | 1.8 × 10−12 M | This work |
| Samples | Added (M) | Found (M) | Recovery Rate (%) |
|---|---|---|---|
| 1 | 1 × 10−11 | 0.90 × 10−11 | 90 |
| 2 | 5 × 10−12 | 4.45 × 10−12 | 89 |
| Isotherm | Equation | Slope | R | p-Values |
|---|---|---|---|---|
| Langmuir | C/θ = 1/K + C | 5.03 | 0.9998 | 3.0 × 10−8 |
| Freundlich | Log θ = LogK + 1/nLogC | 0.12 | 0.9371 | 2.9 × 10−3 |
| Langmuir Freundlich | Log(θ/1 − θ) = f(LogC) | 0.15 | 0.9279 | 3.8 × 10−3 |
| Frumkin | Log(θ/(1 − θ)C) = LogK + 2a θ | −27.04 | 0.9803 | 2.9 × 10−4 |
| Florry–Huggins | Log(θ/C) = f(1 − θ) | 27.54 | 0.9809 | 2.7 × 10−4 |
| Temkin | θ = lnC | 0.013 | 0.9891 | 8.8 × 10−5 |
Publisher’s Note: MDPI stays neutral with regard to jurisdictional claims in published maps and institutional affiliations. |
© 2021 by the authors. Licensee MDPI, Basel, Switzerland. This article is an open access article distributed under the terms and conditions of the Creative Commons Attribution (CC BY) license (https://creativecommons.org/licenses/by/4.0/).
Share and Cite
Aberkane, F.; Abdou, I.; Zine, N.; Jaffrezic-Renault, N.; Elaissari, A.; Errachid, A. Sensor Based on a Poly[2-(Dimethylamino)ethyl Methacrylate-Co-Styrene], Gold Nanoparticles, and Methylene Blue-Modified Glassy Carbon Electrode for Melamine Detection. Sensors 2021, 21, 2850. https://doi.org/10.3390/s21082850
Aberkane F, Abdou I, Zine N, Jaffrezic-Renault N, Elaissari A, Errachid A. Sensor Based on a Poly[2-(Dimethylamino)ethyl Methacrylate-Co-Styrene], Gold Nanoparticles, and Methylene Blue-Modified Glassy Carbon Electrode for Melamine Detection. Sensors. 2021; 21(8):2850. https://doi.org/10.3390/s21082850
Chicago/Turabian StyleAberkane, Fairouz, Imene Abdou, Nadia Zine, Nicole Jaffrezic-Renault, Abdelhamid Elaissari, and Abdelhamid Errachid. 2021. "Sensor Based on a Poly[2-(Dimethylamino)ethyl Methacrylate-Co-Styrene], Gold Nanoparticles, and Methylene Blue-Modified Glassy Carbon Electrode for Melamine Detection" Sensors 21, no. 8: 2850. https://doi.org/10.3390/s21082850
APA StyleAberkane, F., Abdou, I., Zine, N., Jaffrezic-Renault, N., Elaissari, A., & Errachid, A. (2021). Sensor Based on a Poly[2-(Dimethylamino)ethyl Methacrylate-Co-Styrene], Gold Nanoparticles, and Methylene Blue-Modified Glassy Carbon Electrode for Melamine Detection. Sensors, 21(8), 2850. https://doi.org/10.3390/s21082850

