Analysis of the Influence of Shrinkage Tensile Stress in Potting Material on the Anti-Overload Performance of the Circuit Board
Abstract
:1. Introduction
2. Curing Process of the Potting Material
3. Experimental Analysis of Shrinkage Stress of Potting Material
3.1. Introduction of the Experiment
3.2. Strain Analysis of the Circuit Board during the Curing of the Potting Material
3.3. Simulation Analysis of Overload on the Circuit Board
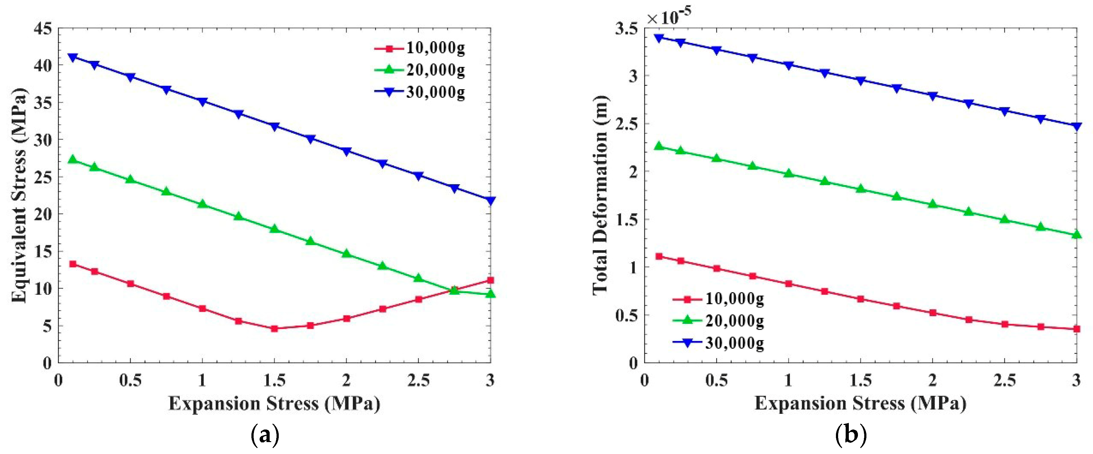
3.4. Influence of Shrinkage Stress on the PCB’s Overload Resistance
4. Conclusions
Author Contributions
Funding
Conflicts of Interest
References
- Yu, H.N.; Zhang, Y.; Ma, X.Y. Development and key technology of MEMS inertial navigation system in guidance shells. In Proceedings of the Symposium on the Development Trend of Inertial Technology, Suzhou, China, 1 October 2011; pp. 28–32. [Google Scholar]
- Li, Q.Z.; Fu, L.P.; Liang, X.J. Analysis the Application of MEMS Inertial Technology for Guided Munitions. Navig. Control 2012, 11, 74–78. [Google Scholar]
- Li, Y.; Li, K.; Wang, X.F.; Han, Y. Simulation Analysis on Vibration and High Overload Impact of Missile Guidance System. J. North Univ. China (Nat. Sci. Ed.) 2014, 35, 293–298. [Google Scholar]
- Hu, C.J. Design of Micro Inertial Measurement System for Miniature Projectile-Based Equipments against High Overload. Ph.D. Thesis, North University of China, Taiyuan, Shanxi, China, 2015. [Google Scholar]
- Zhao, Y.J. Study on Dynamic Response and Failure of the Circuit Systems under High g Value Impact; North University of China: Taiyuan, Shanxi, China, 2018. [Google Scholar]
- Wang, D.R. Finite Element Modeling Analysis of Silicon Micro Gyroscope Package. Master’s Thesis, Southeast University, Nanjing, Jiangsu, China, 2012. [Google Scholar]
- Yang, P.J.; Wu, Y.M.; Zhang, T.X.; Wang, J.M. Finite element analysis on elastic characteristics of rubber shock absorber of inertia platform. In Proceedings of the 5th China CAE Annual Conference, Lanzhou, China, 28–29 July 2009. [Google Scholar]
- Sun, L.; Li, Y.N.; Huang, R.Y. Simulation analysis of static and dynamic characteristics of rubber damper for inertial platform. J. Vib. Noise Technol. 2010, 8, 352–357. [Google Scholar]
- Chen, Y.; Meng, L.N. Analysis of Quartz MEMS Gyroscope Encapsulation in High g Shock. Instrum. Tech. Sens. 2009, 50–52. [Google Scholar]
- Ji, Y.Q.; Li, Y.H.; Nie, F. Protection technology for Onboard data storage module against high overload. J. Vib. Shock 2012, 31, 104–106. [Google Scholar]
- Xia, L.F.; Guo, T.; Xiang, T. Study on Anti-Top Over-Loaded Technology of Multirange Micro-Accelerometer. Chin. J. Sens. Actuators 2010, 23, 359–362. [Google Scholar]
- Lv, C.Q.; Zhai, C.R. Encapsulation Technology of Electronic Circuit for High Overload Test. Mechanical Eng. Autom. 2009, 90–94. [Google Scholar]
- Zheng, C.; Zhang, Y.; Guo, P.H. Stress analysis of polyurethane potting circuit under high impact based on LS-DYNA. Mech. Electr. Technol. 2014, 51–53. [Google Scholar]
- Liu, L.; Li, X.F. Research on Strain Rate Distribution and Energy Absorption of Polyurethane Materials under Shock Environment. Acta Armamentarii 2015, 36, 213–219. [Google Scholar]
- Xia, A.L. Certain High Overloading Electronic Equipment Embedding Technology. Equip. Manuf. Technol. 2010, 169–170, 195. [Google Scholar]
- Zhang, K.; Fan, J.H.; Ma, Y.; Huang, K. Improving the toughness of epoxy resin encapsulating materials. Electron. Compon. Mater. 2011, 30, 65–67. [Google Scholar]
- Xu, X.; Gao, S.Q.; Niu, S.H.; Shen, L.; Liu, H.P.; Ou, Z.C. Dynamic Analysis of Projectile-borne Electronic Devices under Impact Loading. Acta Armamentarii 2017, 38, 1289–1300. [Google Scholar]
- An, C.J.; Zhou, J.J. Buffer mechanism and measures of electronic circuit encapsulation materials under high impact. Electron. Technol. Softw. Eng. 2017, 99–101. [Google Scholar]
- Jiao, M. Protection Analysis and Numerical Simulation on Potting-Layer in Fuze under High-Impact Penetration Circumstances. Master’s Thesis, China Academy of Engineering Physics, Mianyang, Sichuan, China, 2014. [Google Scholar]
- Li, C.; Shi, Y.B.; Liu, X. Research on effect of encapsulation on performances of MEMS high-g acceleration sensor. Transducer Microsyst. Technol. 2015, 34, 22–26. [Google Scholar]
- Ma, J.; Chen, G.; Ji, L.; Dong, S. A general methodology to establish the contact force model for complex contacting surfaces. Mech. Syst. Signal Process. 2020, 140, 106678. [Google Scholar] [CrossRef]
- Jin, J.C. Research on the Anti-High-Overload Technology for Military Integrated Cireuit. Master’s Thesis, Nanjing University of Science & Technology, Nanjing, Jiangsu, China, 2008. [Google Scholar]
- Gu, Y.X.; Yang, Y.J.; Zhang, D.; Yu, H.; Li, H. A Study on Crack Initiation of 3D-Stacking Modules Using Epoxy Resin Encapsulation and Its Measures. Microelectron. Comput. 2017, 34, 53–57. [Google Scholar]
- Zheng, X.; Huang, H.Y.; Chen, Y.; Nie, F.; Zhang, K. Failure Mechanical Analysis of Circuit Encapsulation Body. Electron. Pack. 2014, 14, 36–38, 44. [Google Scholar]
- Zhang, G.B.; Liu, C.H.; Peng, D.Y.; Zhu, S.K.; Yang, Y.N. Study on Cracking Failure Mechanism and Countermeasures of Epoxy Potting Adhesive. Electron. Prod. Reliab. Environ. Test. 2009, 27, 109–113. [Google Scholar]
- Bao, A.D.; Chen, Y.E.; Li, C.L.; Liu, J.; Fang, X. Failure study on a missile accelerometer recorder under shock environment. J. Vib. Shock 2013, 32, 182–186, 193. [Google Scholar]












Publisher’s Note: MDPI stays neutral with regard to jurisdictional claims in published maps and institutional affiliations. |
© 2021 by the authors. Licensee MDPI, Basel, Switzerland. This article is an open access article distributed under the terms and conditions of the Creative Commons Attribution (CC BY) license (http://creativecommons.org/licenses/by/4.0/).
Share and Cite
Sun, L.; Yi, W. Analysis of the Influence of Shrinkage Tensile Stress in Potting Material on the Anti-Overload Performance of the Circuit Board. Sensors 2021, 21, 2316. https://doi.org/10.3390/s21072316
Sun L, Yi W. Analysis of the Influence of Shrinkage Tensile Stress in Potting Material on the Anti-Overload Performance of the Circuit Board. Sensors. 2021; 21(7):2316. https://doi.org/10.3390/s21072316
Chicago/Turabian StyleSun, Lei, and Wenjun Yi. 2021. "Analysis of the Influence of Shrinkage Tensile Stress in Potting Material on the Anti-Overload Performance of the Circuit Board" Sensors 21, no. 7: 2316. https://doi.org/10.3390/s21072316
APA StyleSun, L., & Yi, W. (2021). Analysis of the Influence of Shrinkage Tensile Stress in Potting Material on the Anti-Overload Performance of the Circuit Board. Sensors, 21(7), 2316. https://doi.org/10.3390/s21072316

