Estimation of the Path-Loss Exponent by Bayesian Filtering Method
Abstract
1. Introduction
2. Measurement Test Stand
- sending packets,
- measurement of packet loss,
- RSSI measurement,
- measurement of temperature and humidity,
- displaying the measured values, and
- saving measurements on the SD card.
3. Estimation of the Path-Loss Exponent
| Algorithm 1: The estimation algorithm of the path-loss exponent. |
![]() |
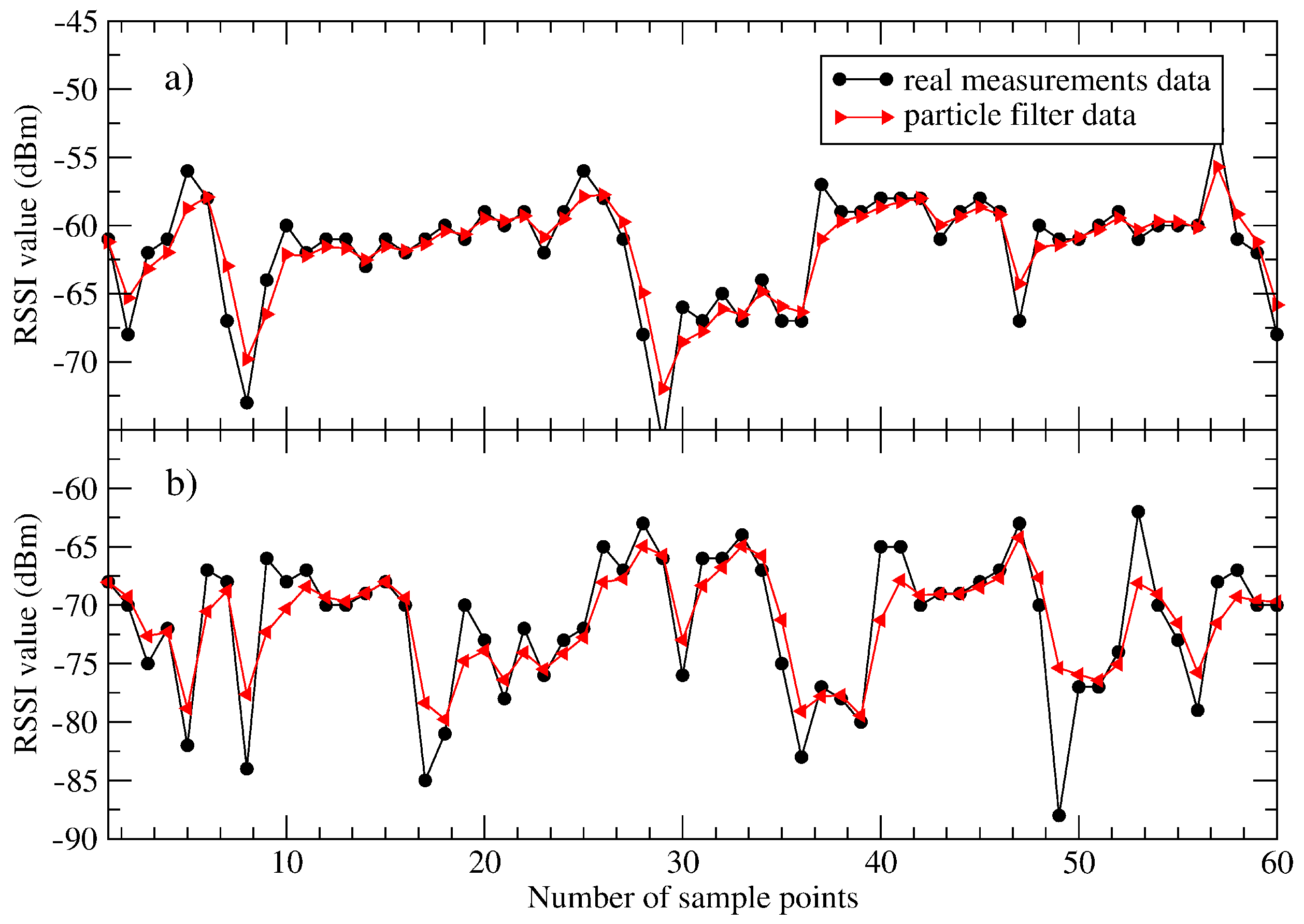
4. Results
5. Conclusions
- The particle filter can be successfully used to predict the path-loss exponent.
- The standard deviation value of the estimated RSSI data is approximately 30% lower than that of the original data.
- Increasing the number of inserted particles does not significantly raise the quality of the estimated results, finally extending the computation time.
Author Contributions
Funding
Institutional Review Board Statement
Informed Consent Statement
Data Availability Statement
Conflicts of Interest
References
- Ren, J.; Wang, Y.; Bai, W.; Niu, C.; Meng, S. An improved indoor positioning algorithm based on RSSI filtering. In Proceedings of the 17th International Conference on Communication Technology (ICCT), Chengdu, China, 27–30 October 2017; pp. 1136–1139. [Google Scholar]
- Li, S.; Yang, X.; Zhao, R.; Liu, Y.; Zhou, X.; Zhang, L. An Indoor Positioning Method Based on RSSI Probability Distribution. In IOP Conference Series: Materials Science and Engineering; IOP Publishing: Bristol, UK, 2019; p. 042054. [Google Scholar]
- Grzechca, D.E.; Pelczar, P.; Chruszczyk, L. Analysis of Object Location Accuracy for iBeacon Technology based on the RSSI Path Loss Model and Fingerprint Map. Int. J. Electron. Telecommun. 2016, 62, 371–378. [Google Scholar] [CrossRef]
- Rymarczyk, T.; Adamkiewicz, P.; Szumowski, J.; Niderla, K.; Gołąbek, L.; Sikora, J. Concept of detection system to localize inside closed area by radio tomographic imaging. Inf. Control Meas. Econ. Environ. Prot. 2017, 7, 92–95. [Google Scholar] [CrossRef]
- Chruszczyk, L. Statistical Analysis of Indoor RSSI Read-outs for 433 MHz, 868 MHz, 2.4 GHz and 5 GHz ISM Bands. INTL J. Electron. Telecommun. 2017, 63, 33–38. [Google Scholar] [CrossRef]
- Zhang, K.; Zhang, Y.; Wan, S. Research of RSSI indoor ranging algorithm based on Gaussian-Kalman linear filtering. In Proceedings of the 2016 IEEE Advanced Information Management, Communicates, Electronic and Automation Control Conference (IMCEC), Xi’an, China, 3–5 October 2016; pp. 1628–1632. [Google Scholar]
- Phunthawornwong, M.; Pengwang, E.; Silapunt, R. Indoor Location Estimation of Wireless Devices Using the Log-Distance Path Loss Model. In Proceedings of the TENCON, Jeju, Korea, 28–31 October 2018; pp. 499–502. [Google Scholar]
- Yi, L.; Tao, L.; Jun, S. RSSI localization method for mine underground based on RSSI hybrid filtering algorithm. In Proceedings of the 9th International Conference on Communication Software and Networks (ICCSN), Guangzhou, China, 6–8 May 2017; pp. 327–332. [Google Scholar]
- Hakim, G.P.N.; Alaydrus, M.; Bahaweres, R.B. Empirical approach of ad hoc path loss propagation model in realistic forest environments. In Proceedings of the 2016 International Conference on Radar, Antenna, Microwave, Electronics and Telecommunications (ICRAMET), Jakarta, Indonesia, 3–5 October 2016; pp. 139–143. [Google Scholar]
- Goldoni, E.; Prando, L.; Vizziello, A.; Savazzi, P.; Gamba, P. Experimental data set analysis of RSSI-based indoor and outdoor localization in LoRa networks. Internets Technol. Lett. 2019, 2, e75. [Google Scholar] [CrossRef]
- Czerwinski, D.; Przylucki, S.; Wojcicki, P.; Sitkiewicz, J. Path loss model for a wireless sensor network in different weather conditions. In International Conference on Computer Networks; Springer: Berlin/Heidelberg, Germany, 2017; pp. 106–117. [Google Scholar]
- Rappaport, S.T. Wireless Communications: Principles and Practice, 2nd ed.; Prentice Hall: Upper Saddle River, NJ, USA, 2002. [Google Scholar]
- Hightower, J.; Borriello, G. Location Systems for Ubiquitous Computing. Computer 2001, 34, 57–66. [Google Scholar] [CrossRef]
- Abouzar, P.; Michelson, D.G.; Hamdi, M. RSSI-Based Distributed Self-Localization for Wireless Sensor Networks Used in Precision Agriculture. IEEE Trans. Wirel. Commun. 2016, 15, 6638–6650. [Google Scholar] [CrossRef]
- Houssaini, D.E.; Mohamed, Z.; Khriji, S.; Besbes, K.; Kanoun, O. A Filtered RSSI Model Based on Hardware Characteristic for Localization Algorithm in Wireless Sensor Networks. In Proceedings of the 32nd International Conference on Advanced Information Networking and Applications Workshops (WAINA), Krakow, Poland, 16–18 May 2018; pp. 118–123. [Google Scholar]
- Martinez, K.; Hart, J.K.; Ong, R. Environmental sensor networks. Computer 2004, 37, 50–56. [Google Scholar] [CrossRef]
- Hartung, S.; Brosenne, H.; Hogrefe, D. Practical RSSI long distance measurement evaluation in Wireless Sensor Networks. In Proceedings of the 2013 IEEE Conference on Wireless Sensor (ICWISE), Kuching, Malaysia, 2–4 December 2013; pp. 1–6. [Google Scholar]
- Fang, Z.; Zhao, Z.; Guo, P.; Zhang, Y.-G. Analysis of distance measurement based on RSSI. Chin. J. Sens. Actuators 2007, 20, 2526–2530. [Google Scholar]
- Kurt, S.; Tavli, B. Path-Loss Modeling for Wireless Sensor Networks: A review of models and comparative evaluations. IEEE Antennas Propag. Mag. 2017, 59, 18–37. [Google Scholar] [CrossRef]
- Mathuranathan, V. Wireless Communication Systems in Matlab; Independently Published: Chicago, IL, USA, 2020. [Google Scholar]
- Kim, M.; Liang, J.; Lee, J.; Park, J.; Park, B. Path loss measurements and modeling for indoor office scenario at 28 and 38 GHz. In Proceedings of the 2016 International Symposium on Antennas and Propagation (ISAP), Okinawa, Japan, 24–28 October 2016; pp. 24–28. [Google Scholar]
- Ambroziak, S.J.; Katulski, R.J. An empirical propagation model for mobile radio links in container terminal environment. IEEE Trans. Veh. Technol. 2013, 62, 4276–4287. [Google Scholar] [CrossRef]
- Laskowski, M.; Ambroziak, S.J.; Correia, L.M.; Swider, K. On the Usefulness of the Generalised Additive Model for Mean Path Loss Estimation in Body Area Networks. IEEE Access 2020, 8, 176873–176882. [Google Scholar] [CrossRef]
- Mahasukhon, P.; Sharif, H.; Hempel, M.; Zhou, T.; Wang, W.; Ma, T. Propagation path loss estimation using nonlinear multiregression approach. In Proceedings of the 2010 IEEE International Conference on Communications, Cape Town, South Africa, 23–27 May 2010. [Google Scholar]
- Nurminen, H.; Talvitie, J.; Ali-Löytty, S.; Müller, P.; Lohan, E.S.; Piché, R.; Renfors, M. Statistical path loss parameter estimation and positioning using RSS measurements. In Proceedings of the 2012 Ubiquitous Positioning, Indoor Navigation, and Location Based Service (UPINLBS), Helsinki, Finland, 3–4 October 2012; pp. 1–8. [Google Scholar]
- Wen, J.; Zhang, Y.; Yang, G.; He, Z.; Zhang, W. Path Loss Prediction Based on Machine Learning Methods for Aircraft Cabin Environments. IEEE Access 2019, 7, 159251–159261. [Google Scholar] [CrossRef]
- Pereira, B.L.; Sarreta Oda, M.; Ventura de Oliveira, P.; Froede Goncalves, R.; Tavares, J.J.Z.S. Automated Positioning System for Mobile Robots Based on RFID RSSI and Extended Kalman Filter. In Proceedings of the 12th Latin American Robotics Symposium and 2015 3rd Brazilian Symposium on Robotics (LARS-SBR), Brazil, Uberlandia, 28 October–1 November 2015; pp. 366–370. [Google Scholar]
- Zafari, F.; Papapanagiotou, I.; Hacker, T.J. A novel Bayesian filtering based algorithm for RSSI-based indoor localization. In Proceedings of the 2018 IEEE International Conference on Communications (ICC), Kansas City, MO, USA, 20–24 May 2018; pp. 1–7. [Google Scholar]
- Wang, Z.; Liu, H.; Xu, S.; Bu, X.; An, J. A diffraction measurement model and particle filter tracking method for RSS-based DFL. IEEE J. Sel. Areas Commun. 2015, 33, 2391–2403. [Google Scholar] [CrossRef]
- Svecko, J.; Malajner, M.; Gleich, D. Distance estimation using RSSI and particle filter. ISA Trans. 2015, 55, 275–285. [Google Scholar] [CrossRef] [PubMed]
- Wu, H.; Mei, X.; Chen, X.; Li, J.; Wang, J.; Mohapatra, P. A novel cooperative localization algorithm using enhanced particle filter technique in maritime search and rescue wireless sensor network. ISA Trans. 2018, 78, 39–46. [Google Scholar] [CrossRef] [PubMed]
- Yan, X.; Zhou, P.; Luo, Q.; Wang, C.; Ding, J.; Hu, C. UAM-RDE: An uncertainty analysis method for RSSI-based distance estimation in wireless sensor networks. Neural Comput. Appl. 2020, 32, 13701–13714. [Google Scholar] [CrossRef]
- Liu, Y.; Li, N.; Wang, D.; Guan, T.; Wang, W.; Li, J.; Li, N. Optimization Algorithm of RSSI Transmission Model for Distance Error Correction. Adv. Intell. Inf. Hiding Multimed. Signal Process. 2020, 157, 27–36. [Google Scholar]
- Shang, J.; Cheng, T.; Sheng, L.; Shi, H.; Yue, K. Application of generalized extended interpolation method in distance measurement based on RSSI. Chin. J. Sens. Actuators 2016, 29, 1768–1772. [Google Scholar]
- Bose, A.; Foh, C.H. A Practical Path Loss Model For Indoor WiFi Positioning Enhancement. In Proceedings of the 6th International Conference on Information, Communications & Signal Processing, Singapore, 10–13 December 2007; pp. 1–5. [Google Scholar]
- Fang, S.; Cheng, Y.; Chien, Y. Exploiting Sensed Radio Strength and Precipitation for Improved Distance Estimation. IEEE Sens. J. 2018, 18, 6863–6873. [Google Scholar] [CrossRef]
- Wu, Y.; Guo, G.; Tian, G.; Liu, W. A Model with Leaf Area Index and Trunk Diameter for LoRaWAN Radio Propagation in Eastern China Mixed Forest. J. Sens. 2020, 2020, 1–16. [Google Scholar] [CrossRef]
- Digi International, XBee and XBee-PRO ZB Modules-Datasheet. Available online: https://cdn.sparkfun.com/datasheets/Wireless/Zigbee/ds_xbeezbmodules.pdf (accessed on 12 February 2020).
- Espressif esp32-dev Module Specification. Available online: https://www.espressif.com/en/products/devkits/esp32-devkitc (accessed on 12 February 2020).
- Dargie, W.; Poellabauer, C. Fundamentals of Wireless Sensor Networks Theory and Practice; John Wiley & Sons Ltd.: Hoboken, NJ, USA, 2010. [Google Scholar]
- Doucet, A.; Godsill, S.; Andrieu, C. On sequential Monte Carlo sampling methods for Bayesian filtering. Stat. Comput. 2000, 10, 197–208. [Google Scholar] [CrossRef]
- Doucet, A.; Freitas, N.; Gordon, N. Sequential Monte Carlo Methods in Practice; Springer: New York, NY, USA, 2001. [Google Scholar]





| Model | XBee XB24-Z7WIT-004 |
|---|---|
| Protocol | ZigBee |
| Transmission speed | 250 kbps |
| Inner range up to | 40 m |
| Outer range up to | 120 m |
| Frequency | 2.4 GHz |
| Communication | UART |
| Output power | 2 mW |
| Antenna | Omnidirectional wire |
| N | 1 m | 5 m | 10 m | 15 m | 20 m | 25 m | 35 m | 50 m | 75 m | 100 m |
|---|---|---|---|---|---|---|---|---|---|---|
| 10 | 4.7380 | 4.9273 | 3.0805 | 3.2388 | 3.8798 | 3.3774 | 4.8484 | 4.0309 | 3.5413 | 2.6726 |
| 20 | 4.6047 | 4.3316 | 3.2480 | 3.5055 | 3.5714 | 3.3771 | 4.7689 | 3.9080 | 3.7422 | 2.9418 |
| 40 | 4.7551 | 4.6782 | 3.4310 | 3.1773 | 3.9372 | 3.3068 | 4.8925 | 3.8574 | 3.8550 | 3.3002 |
| 60 | 4.6849 | 4.6651 | 3.5001 | 3.0721 | 3.6401 | 3.3065 | 4.9909 | 4.2261 | 3.7606 | 3.1380 |
| 80 | 4.6858 | 4.7416 | 3.4993 | 3.2059 | 3.7123 | 3.3036 | 5.1008 | 4.2058 | 3.7228 | 3.0494 |
| 100 | 4.5819 | 4.7945 | 3.3329 | 3.2812 | 3.6523 | 3.2285 | 5.0231 | 4.1202 | 3.6936 | 3.0661 |
| 200 | 4.6767 | 4.9602 | 3.4595 | 3.3238 | 3.7904 | 3.4360 | 4.9966 | 4.4103 | 3.8727 | 3.1008 |
| 400 | 4.6504 | 4.8714 | 3.3543 | 3.2291 | 3.6616 | 3.4145 | 5.0875 | 4.4483 | 3.8143 | 3.1369 |
| 600 | 4.6996 | 4.8601 | 3.3951 | 3.2314 | 3.6337 | 3.3746 | 5.0485 | 4.4613 | 3.8584 | 3.1408 |
| 800 | 4.6603 | 4.7929 | 3.3253 | 3.2452 | 3.7226 | 3.4023 | 5.0324 | 4.2627 | 3.8850 | 3.2024 |
| 1000 | 4.6514 | 4.7766 | 3.3454 | 3.2629 | 3.6548 | 3.3802 | 5.0670 | 4.2654 | 3.8538 | 3.1575 |
| Real | 6.0211 | 6.0380 | 4.4740 | 4.1058 | 4.8169 | 4.2999 | 5.7238 | 5.9673 | 5.0651 | 4.2553 |
| Number of Inserted Particles | Estimated Path-Loss Exponent |
|---|---|
| 10 | 1.4421 |
| 20 | 1.4472 |
| 40 | 1.4423 |
| 60 | 1.4494 |
| 80 | 1.4522 |
| 100 | 1.4432 |
| 200 | 1.4482 |
| 400 | 1.4497 |
| 600 | 1.4477 |
| 800 | 1.4468 |
| 1000 | 1.4463 |
Publisher’s Note: MDPI stays neutral with regard to jurisdictional claims in published maps and institutional affiliations. |
© 2021 by the authors. Licensee MDPI, Basel, Switzerland. This article is an open access article distributed under the terms and conditions of the Creative Commons Attribution (CC BY) license (http://creativecommons.org/licenses/by/4.0/).
Share and Cite
Wojcicki, P.; Zientarski, T.; Charytanowicz, M.; Lukasik, E. Estimation of the Path-Loss Exponent by Bayesian Filtering Method. Sensors 2021, 21, 1934. https://doi.org/10.3390/s21061934
Wojcicki P, Zientarski T, Charytanowicz M, Lukasik E. Estimation of the Path-Loss Exponent by Bayesian Filtering Method. Sensors. 2021; 21(6):1934. https://doi.org/10.3390/s21061934
Chicago/Turabian StyleWojcicki, Piotr, Tomasz Zientarski, Malgorzata Charytanowicz, and Edyta Lukasik. 2021. "Estimation of the Path-Loss Exponent by Bayesian Filtering Method" Sensors 21, no. 6: 1934. https://doi.org/10.3390/s21061934
APA StyleWojcicki, P., Zientarski, T., Charytanowicz, M., & Lukasik, E. (2021). Estimation of the Path-Loss Exponent by Bayesian Filtering Method. Sensors, 21(6), 1934. https://doi.org/10.3390/s21061934


