Frequency Domain Analysis of Partial-Tensor Rotating Accelerometer Gravity Gradiometer
Abstract
1. Introduction
2. Basic Working Principle of RAGG
3. Frequency Domain Analysis for RAGG
3.1. Output Signal of Accelerometer for RAGG
3.2. Output Signal Frequency Domain Expansion of Accelerometer for RAGG
3.3. Output Signal Frequency Domain Expression of RAGG
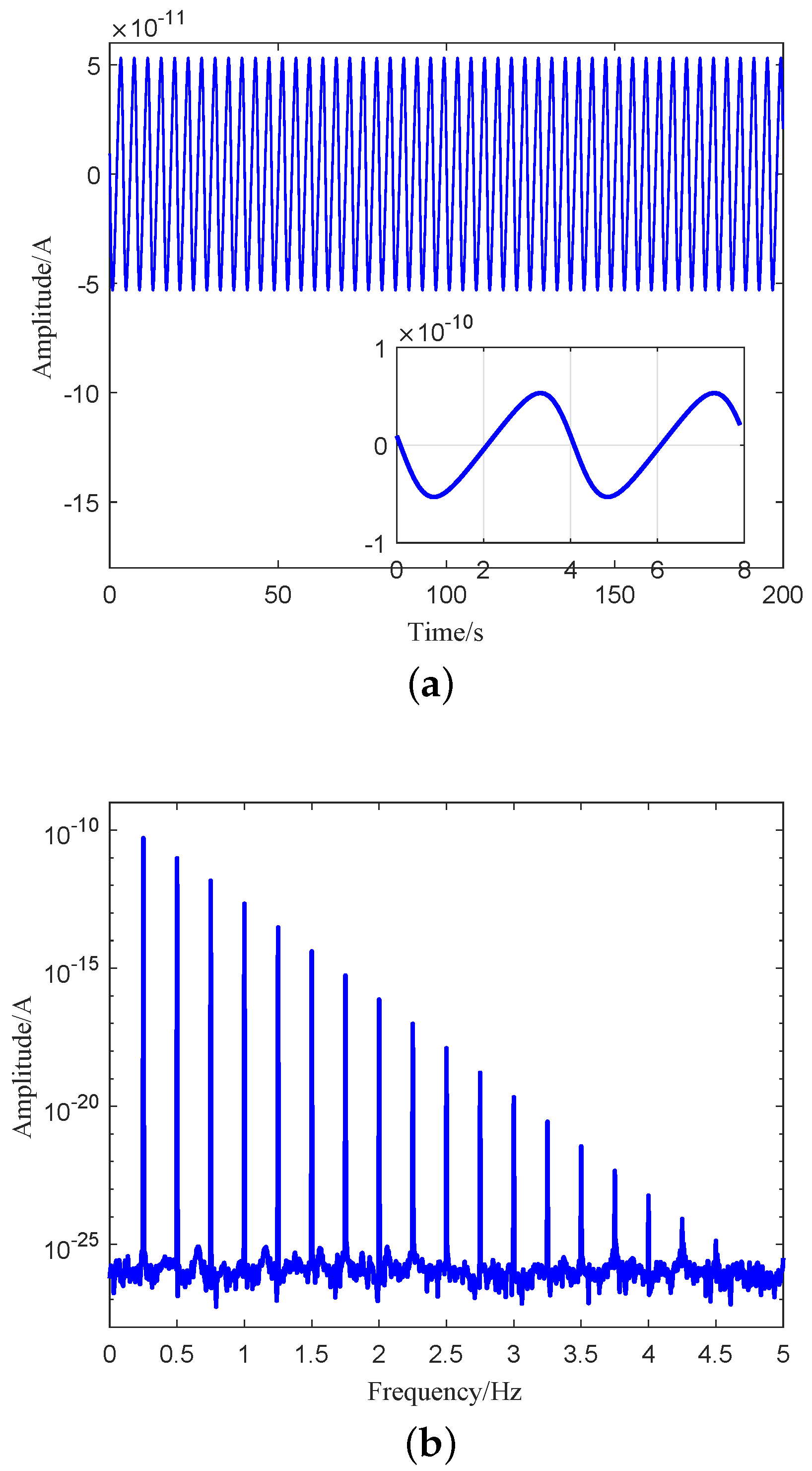
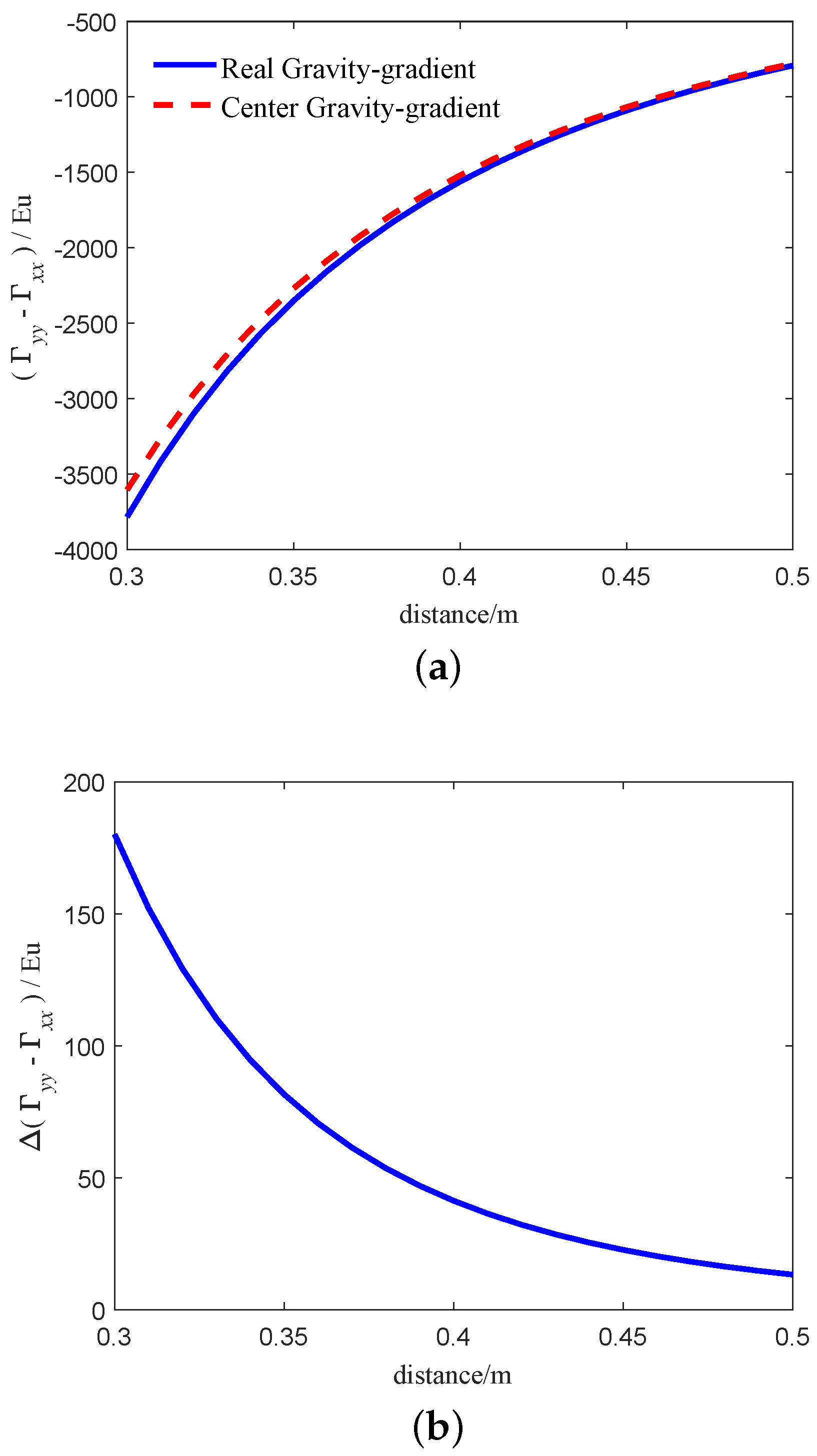
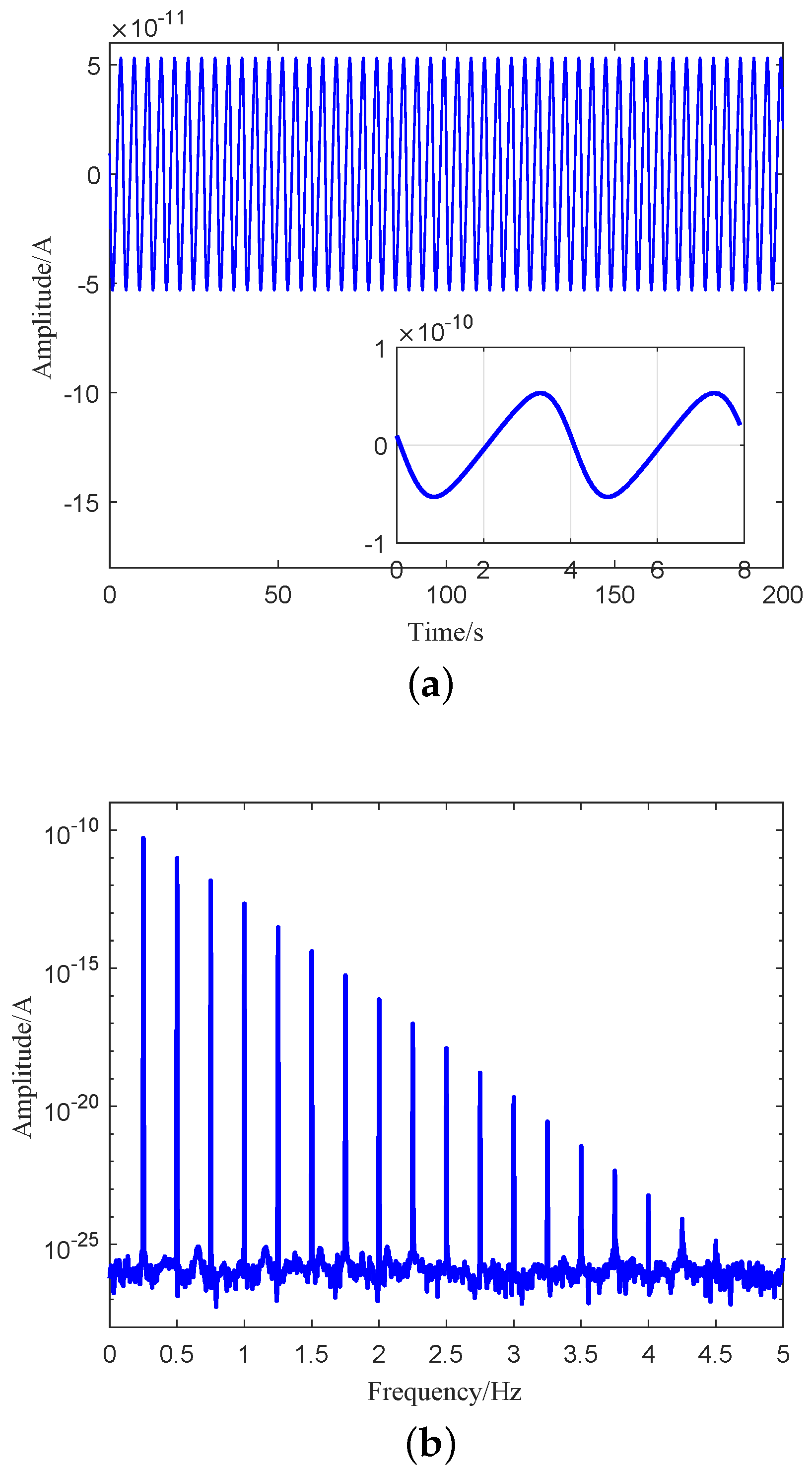
4. Gravity Gradient Signal Model of the RAGG
4.1. Particle as Surrounding Mass
4.2. Cuboid as Surrounding Mass
4.3. Sphere as Surrounding Mass
5. Conclusions
Author Contributions
Funding
Institutional Review Board Statement
Informed Consent Statement
Data Availability Statement
Conflicts of Interest
References
- Metzger, E.H. Recent gravity gradiometer developments. In Proceedings of the Guidance and Control Specialist Conference, Hollywood, FL, USA, 8–10 August 1997; pp. 306–315. [Google Scholar]
- Wells, E.M.; Breakwell, J.V. Real-Time Gravity Gradiometer Utilization to Improve INS Accuracy. J. Guid. Control Dyn. 2012, 5, 113–117. [Google Scholar] [CrossRef]
- Jisun, L.; Jay, H.K.; Myeongjong, Y. Performance Evaluation and Requirements Assessment for Gravity Gradient Referenced Navigation. Sensors 2015, 15, 16833–16847. [Google Scholar]
- Shaw, H.; Lancaster-Jones, E. The Eötvös torsion balance. Proc. Phys. Soc. Lond. 1922, 35, 151–166. [Google Scholar] [CrossRef]
- Difrancesco, D.; Grierson, A.; Kaputa, D.; Meyer, T. Gravity gradiometer systems—Advances and challenges. Geophys. Prospect. 2009, 57, 615–623. [Google Scholar] [CrossRef]
- Brzezowski, S.J.; Heller, W.G. Gravity gradiometer survey errors. Geophysics 1988, 53, 1355–1361. [Google Scholar] [CrossRef][Green Version]
- Jekeli, C. A review of gravity gradiometer survey system data analyses. Geophysics 1993, 58, 508–514. [Google Scholar] [CrossRef]
- Brett, J. Theory of FTG Measurements. Available online: www.bellgeo.com/ (accessed on 5 March 2021).
- Lee, J.B. FALCON gravity gradiometer technology. Explor. Geophys. 2001, 2001, 247–250. [Google Scholar] [CrossRef]
- Dransfield, M.; Christensen, A.; Rose, M.; Stone, P.; Diorio, P. FALCON test results from the Bathurst Mining camp. Explor. Geophys. 2001, 32, 243–246. [Google Scholar] [CrossRef]
- Dransfield, M.; Lee, J. The FALCON® airborne gravity gradiometer survey systems. In Proceedings of the ASEG-PESA Airborne Gravity 2004 Workshop, Sydney, Australia, 18 January 2004; pp. 15–19. [Google Scholar]
- Meyer, T. Recent advances in Lockheed Martin’s gravity gradiometer technology. In Proceedings of the 25th Geophysical Conference and Exhibition, Adelaide, South Australia, 21–24 August 2016. [Google Scholar]
- Veryaskin, A.V. Gravity gradiometry. Gravity Magn. Electromagn. Gradiometry 2018, 73, 1-1–1-56. [Google Scholar]
- Pajot, G.; de Viron, O.; Diament, M.; Lequentrec-Lalancette, M.-F.; Mikhailov, V. Noise reduction through joint processing of gravity and gravity gradient data. GEOPHYSICS 2008, 73, 123–134. [Google Scholar] [CrossRef]
- Klees, R.; Koop, R.; Visser, P.; Van den Ijssel, J. Efficient gravity field recovery from GOCE gravity gradient observations. J. Geodesy 2000, 74, 561–571. [Google Scholar] [CrossRef]
- Chapin, D. Gravity instruments; past, present, future. Lead. Edge 1998, 17, 100–112. [Google Scholar] [CrossRef]
- Affleck, C.A.; Jircitano, A. Passive gravity gradiometer navigation system. In Proceedings of the IEEE Symposium on Position Location and Navigation, Las Vegas, NV, USA, 20 March 1990; pp. 60–66. [Google Scholar]
- Qian, X.; Cai, T. Real-time feedback adjusting methods for accelerometer scale factor in gravity gradiometer of rotating accelerometer. J. Chin. Inert. Technol. 2016, 24, 148–153. [Google Scholar]
- Qian, X.; Cai, T. Calibration method for gravity gradiometer of rotating accelerometer. J. Chin. Inert. Technol. 2016, 24, 427–430. [Google Scholar]
- Qian, X.; Zhu, Y. Self-Gradient Compensation of Full-Tensor Airborne Gravity Gradiometer. Sensors 2019, 19, 1950. [Google Scholar] [CrossRef] [PubMed]
- Richeson, J.A. Gravity Gradiometer Aided Inertial Navigation within NON-GNSS Environments. Ph.D. Thesis, University of Maryland, College Park, MD, USA, 2008. [Google Scholar]
- Huang, X.; Deng, Z.; Xie, Y.; Fan, J.; Hu, C.; Tu, L. Study on Misalignment Angle Compensation during Scale Factor Matching for Two Pairs of Accelerometers in a Gravity Gradient Instrument. Sensors 2018, 18, 1247. [Google Scholar] [CrossRef] [PubMed]









Publisher’s Note: MDPI stays neutral with regard to jurisdictional claims in published maps and institutional affiliations. |
© 2021 by the authors. Licensee MDPI, Basel, Switzerland. This article is an open access article distributed under the terms and conditions of the Creative Commons Attribution (CC BY) license (http://creativecommons.org/licenses/by/4.0/).
Share and Cite
Qian, X.; Zhao, L.; Liu, W.; Sun, J. Frequency Domain Analysis of Partial-Tensor Rotating Accelerometer Gravity Gradiometer. Sensors 2021, 21, 1925. https://doi.org/10.3390/s21051925
Qian X, Zhao L, Liu W, Sun J. Frequency Domain Analysis of Partial-Tensor Rotating Accelerometer Gravity Gradiometer. Sensors. 2021; 21(5):1925. https://doi.org/10.3390/s21051925
Chicago/Turabian StyleQian, Xuewu, Liye Zhao, Weiming Liu, and Jianqiang Sun. 2021. "Frequency Domain Analysis of Partial-Tensor Rotating Accelerometer Gravity Gradiometer" Sensors 21, no. 5: 1925. https://doi.org/10.3390/s21051925
APA StyleQian, X., Zhao, L., Liu, W., & Sun, J. (2021). Frequency Domain Analysis of Partial-Tensor Rotating Accelerometer Gravity Gradiometer. Sensors, 21(5), 1925. https://doi.org/10.3390/s21051925
