Characterization of Changes in P-Wave VCG Loops Following Pulmonary-Vein Isolation
Abstract
1. Introduction
2. Materials and Methods
2.1. Dataset
2.2. Signal Preprocessing
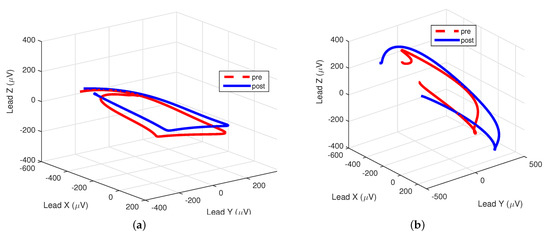
2.3. P-Wave Loop Characterization
2.4. Main Propagation Direction
2.5. Time Intervals
2.6. Statistical and Cluster Analyses
- sensitivity: proportion of pre-PVI features correctly identified as such;
- specificity: proportion of post-PVI features correctly identified as such;
- precision: proportion of pre-PVI features correctly classified with respect to the total number identified as such; and
- accuracy: proportion of correctly classified (both pre- and post-PVI) with respect to their total number.
3. Results
3.1. P-Wave Loop Characteristics
3.2. Time Intervals
3.3. Cluster Analysis
3.4. Differences between Patient Groups
4. Discussion
5. Conclusions
Author Contributions
Funding
Institutional Review Board Statement
Informed Consent Statement
Data Availability Statement
Conflicts of Interest
References
- Hindricks, G.; Potpara, T.; Dagres, N.; Arbelo, E.; Bax, J.J.; Blomström-Lundqvist, C.; Boriani, G.; Castella, M.; Dan, G.-A.; Dilaveris, P.E.; et al. 2020 ESC Guidelines for the diagnosis and management of atrial fibrillation developed in collaboration with the European Association for Cardio-Thoracic Surgery (EACTS). Eur. Heart J. 2020, 29. [Google Scholar] [CrossRef]
- January, C.T.; Wann, L.S.; Calkins, H.; Chen, L.Y.; Cigarroa, J.E.; Cleveland, J.C.; Ellinor, P.T.; Ezekowitz, M.D.; Field, M.E.; Furie, K.L.; et al. 2019 AHA/ACC/HRS Focused Update of the 2014 AHA/ACC/HRS Guideline for the Management of Patients with Atrial Fibrillation: A Report of the American College of Cardiology/American Heart Association Task Force on Clinical Practice Guidelines and the Heart Rhythm Society in Collaboration with the Society of Thoracic Surgeons. Circulation 2019, 140, e125–e151. [Google Scholar] [CrossRef]
- Andrade, J.G.; Deyell, M.W.; Verma, A.; Macle, L.; Champagne, J.; Leong-Sit, P.; Novak, P.; Badra-Verdu, M.; Sapp, J.; Khairy, P.; et al. Association of Atrial Fibrillation Episode Duration with Arrhythmia Recurrence Following Ablation. JAMA Netw. Open 2020, 3, e208748. [Google Scholar] [CrossRef]
- Bavishi, A.A.; Kaplan, R.M.; Peigh, G.; Diaz, C.L.; Baman, J.R.; Trivedi, A.; Wasserlauf, J.; Shen, M.J.; Sattayaprasert, P.; Chicos, A.B.; et al. Patient characteristics as predictors of recurrence of atrial fibrillation following cryoballoon ablation. Pacing Clin. Electrophysiol. 2019, 42, 694–704. [Google Scholar] [CrossRef] [PubMed]
- Gaztañaga, L.; Frankel, D.; Kohari, M.; Kondapalli, L.; Zado, E.; Marchlinski, F. Time to recurrence of atrial fibrillation influences outcome following catheter ablation. Heart Rhythm 2013, 10, 2–9. [Google Scholar] [CrossRef] [PubMed]
- Sultan, A.; Lüker, J.; Andresen, D.; Kuck, K.; Hoffmann, E.; Brachmann, J.; Steven, D. Predictors of Atrial Fibrillation Recurrence after Catheter Ablation: Data from the German Ablation Registry. Sci. Rep. 2017, 7, 16678. [Google Scholar] [CrossRef] [PubMed]
- Efremidis, M.; Letsas, L.; Giannopoulos, G.; Lioni, L.; Vlachos, K.; Asvestas, D.; Karlis, D.; Kareliotis, V.; Geladari, H.; Sideris, A.; et al. Early pulmonary vein reconnection as a predictor of left atrial ablation outcomes for paroxysmal atrial fibrillation. Europace 2015, 17, 741–746. [Google Scholar] [CrossRef] [PubMed]
- Cheng, Z.; Deng, H.; Cheng, K.; Chen, T.; Gao, P.; Yu, M.; Fang, Q. The Amplitude of Fibrillatory Waves on Leads aVF and V1Predicting the Recurrence of Persistent Atrial Fibrillation Patients Who Underwent Catheter Ablation. Ann. Noninvasive Electrocardiol. 2013, 18, 352–358. [Google Scholar] [CrossRef] [PubMed]
- Henriksson, M.; García-Alberola, A.; Goya, R.; Vadillo, A.; Melgarejo-Meseguer, F.M.; Sandberg, F.; Sörnmo, L. Changes in f-wave characteristics during cryoballoon catheter ablation. Physiol. Measur. 2018, 39, 105001. [Google Scholar] [CrossRef] [PubMed]
- Alcaraz, R.; Hornero, F.; Rieta, J. Electrocardiographic Spectral Features for Long-Term Outcome Prognosis of Atrial Fibrillation Catheter Ablation. Ann. Biomed. Eng. 2016, 44, 3307–3318. [Google Scholar] [CrossRef]
- Beeumen, K.V.; Houben, R.; Tavernier, R.; Ketels, S.; Duytschaever, M. Changes in P-wave area and P-wave duration after circumferential pulmonary vein isolation. Europace 2010, 12, 798–804. [Google Scholar] [CrossRef]
- Ortigosa, N.; Cano, O. P-wave Analysis in Paroxysmal Atrial Fibrillation Patients before and after Pulmonary Vein Isolation. Comput. Cardiol. 2017, 44, 1–4. [Google Scholar] [CrossRef]
- Ortigosa, N.; Ayala, G.; Cano, O. Variation of P-wave indices in paroxysmal atrial fibrillation patients before and after catheter ablation. Biomed. Signal Process. Control 2021, 66, 102500. [Google Scholar] [CrossRef]
- Nakatani, Y.; Sakamoto, T.; Yamaguchi, Y.; Tsujino, Y.; Kataoka, N.; Kinugawa, K. Coefficient of variation of P-wave duration measured using an automated measurement system predicts recurrence of atrial fibrillation. J. Electrocardiol. 2019, 53, 79–84. [Google Scholar] [CrossRef]
- Knecht, S.; Pradella, M.; Reichlin, T.; Muhl, A.; Bossard, M.; Stieltjes, B.; Conen, D.; Bremerich, J.; Osswald, S.; Kuhne, M.; et al. Left atrial anatomy, atrial fibrillation burden, and P-wave duration-relationships and predictors for single-procedure success after pulmonary vein isolation. Europace 2018, 20, 271–278. [Google Scholar] [CrossRef] [PubMed]
- Lim, T.W.; Wu, G.; Ross, D.L.; Thomas, S.P. P-wave Measurements and Electrical Reconnection of the Posterior Left Atrium after Catheter Ablation for Atrial Fibrillation. Pacing Clin. Electrophysiol. 2010, 33, 1324–1334. [Google Scholar] [CrossRef]
- Pranata, R.; Yonas, E.; Vania, R. Prolonged P-wave duration in sinus rhythm pre-ablation is associated with atrial fibrillation recurrence after pulmonary vein isolation-A systematic review and meta-analysis. Ann. Noninvasive Electrocardiol. 2019, 24. [Google Scholar] [CrossRef]
- Garvanski, I.; Simova, I.; Angelkov, L.; Matveev, M. Predictors of Recurrence of AF in Patients After Radiofrequency Ablation. Eur. Cardiol. Rev. 2019, 14, 165–168. [Google Scholar] [CrossRef]
- Dretzke, J.; Chuchu, N.; Agarwal, R.; Herd, C.; Chua, W.; Fabritz, L.; Takwoingi, Y. Predicting recurrent atrial fibrillation after catheter ablation: A systematic review of prognostic models. Europace 2020, 22, 748–760. [Google Scholar] [CrossRef]
- Stafford, P. Will my ablation work? Check the P-wave. Europace 2013, 15, 159–160. [Google Scholar] [CrossRef] [PubMed]
- Richter, U.; Stridh, M.; Bollmann, A.; Husser, D.; Sörnmo, L. Spatial characteristics of atrial fibrillation electrocardiograms. J. Electrocardiol. 2008, 41, 165–172. [Google Scholar] [CrossRef] [PubMed]
- Meyer, C.R.; Keiser, H.N. Electrocardiogram baseline noise estimation and removal using cubic splines and state-space computation techniques. Comput. Biomed. Res. 1977, 10, 459–470. [Google Scholar] [CrossRef]
- Almeida, R.; Martínez, J.; Rocha, A.; Laguna, P. Multilead ECG delineation using spatially projected leads from wavelet transform loops. IEEE Trans. Biomed. Eng. 2009, 56, 1996–2005. [Google Scholar] [CrossRef] [PubMed]
- Almeida, R.; Martínez, J.; Rocha, A.; Laguna, P. P Wave Delineation Using Spatially Projected Leads from Wavelet Transform Loops. Comput. Cardiol. 2010, 37, 1003–1006. [Google Scholar]
- Martínez, J.; Almeida, R.; Olmos, S.; Rocha, A.; Laguna, P. A wavelet-based ECG delineator evaluation on standard databases. IEEE Trans. Biomed. Eng. 2004, 51, 570–581. [Google Scholar] [CrossRef] [PubMed]
- Kors, J.; van Herpen, G.; Sittig, A.; van Bemmel, J. Reconstruction of the Frank vectorcardiogram from standard electrocardiographic leads: Diagnostic comparison of different methods. Eur. Heart J. 1990, 11, 1083–1092. [Google Scholar] [CrossRef]
- Jaros, R.; Martinek, R.; Danys, L. Comparison of Different Electrocardiography with Vectorcardiography Transformations. Sensors 2019, 19, 3072. [Google Scholar] [CrossRef] [PubMed]
- Man, S.; Algra, A.; Schreurs, C.; Borleffs, C.J.W.; Scherptong, R.W.; Van Erven, L.; Swenne, C.A. Influence of the vectorcardiogram synthesis matrix on the power of the electrocardiogram-derived spatial QRS-T angle to predict arrhythmias in patients with ischemic heart disease and systolic left ventricular dysfunction. J. Electrocardiol. 2011, 44, 410–415. [Google Scholar] [CrossRef] [PubMed]
- Dower, G.; Machado, H.; Osborne, J. On deriving the electrocardiogram from vectorcadiographic leads. Eur. Heart J. 1980, 3, 87–95. [Google Scholar]
- Sörnmo, L. Vectorcardiographic loop alignment and morphologic beat-to-beat. IEEE Trans. Biomed. Eng. 1998, 45, 1401–1413. [Google Scholar] [CrossRef]
- Surawicz, B.; Knilans, T. Electrocardiography in Clinical Practice; Saunders: Philadelphia, PA, USA, 2008. [Google Scholar]
- Arthur, D.; Vassilvitskii, S. K-Means: The Advantages of Careful Seeding. In Proceedings of the Eighteenth Annual ACM-SIAM Symposium on Discrete Algorithms, New Orleans, LA, USA, 7–9 January 2007; pp. 1027–1035. [Google Scholar]
- Nakatani, Y.; Sakamoto, T.; Yamaguchi, Y.; Tsujino, Y.; Kataoka, N.; Kinugawa, K. P-wave vector magnitude predicts recurrence of atrial fibrillation after catheter ablation in patients with persistent atrial fibrillation. Ann. Noninvasive Electrocardiol. 2019, 24. [Google Scholar] [CrossRef]
- Saha, M.; Conte, G.; Caputo, M.; Regoli, F.; Krause, R.; Auricchio, A.; Jacquemet, V. Changes in P-wavemorphology after pulmonary vein isolation: Insights from computer simulations. Europace 2016, 18, iv23–iv34. [Google Scholar]
- Yamashita, S.; Date, T.; Yamane, T.; Matsuo, S.; Ito, K.; Narui, R.; Hioki, M.; Tanigawa, S.-I.; Nakane, T.; Tokuda, M.; et al. Noninvasive vectorcardiographic evaluation of pulmonary vein–atrial reconnection after pulmonary vein isolation for atrial fibrillation. Heart Rhythm 2011, 8, 1398–1403. [Google Scholar] [CrossRef]
- Sedaghat, G.; Ghafoori, E.; Waks, J.W.; Kabir, M.M.; Shvilkin, A.; Josephson, M.E.; Tereshchenko, L.G. Quantitative Assessment of Vectorcardiographic Loop Morphology. J. Electrocardiol. 2016, 49, 154–163. [Google Scholar] [CrossRef] [PubMed]
- Censi, F.; Corazza, I.; Reggiani, E.; Calcagnini, G.; Mattei, E.; Triventi, M.; Boriani, G. P-wave Variability and Atrial Fibrillation. Sci. Rep. 2016, 6, 1–7. [Google Scholar] [CrossRef]
- Nilsson, B.; Chen, X.; Pehrson, S.; Hilden, J.; Svendsen, J. Increased resting heart rate following radiofrequency catheter ablation for atrial fibrillation. Europace 2005, 7, 415–420. [Google Scholar] [CrossRef]
- Yu, H.T.; Kim, T.H.; Uhm, J.S.; Kim, J.Y.; Joung, B.; Lee, M.H.; Pak, H.N. Prognosis of high sinus heart rate after catheter ablation for atrial fibrillation. Europace 2017, 19, 1132–1139. [Google Scholar] [CrossRef] [PubMed]
- Kang, K.W.; Kim, T.H.; Park, J.; Uhm, J.S.; Joung, B.; Hwang, C.; Lee, M.H.; Pak, H.N. Long-Term Changes in Heart Rate Variability After Radiofrequency Catheter Ablation for Atrial Fibrillation: 1-Year Follow-Up Study with Irrigation Tip Catheter. J. Cardiovasc. Electrophysiol. 2014, 25, 693–700. [Google Scholar] [CrossRef]
- Park, J.; Kim, T.H.; Lee, J.S.; Park, J.K.; Uhm, J.S.; Joung, B.; Lee, M.H.; Pak, H.N. Prolonged PR Interval Predicts Clinical Recurrence of Atrial Fibrillation After Catheter Ablation. J. Am. Heart Assoc. 2014, 3. [Google Scholar] [CrossRef] [PubMed]
- Swanson, D.K. Clinical outcomes differ among different ablation technologies used for surgical atrial fibrillation therapy. Sci. Iran. 2011, 18, 1469–1475. [Google Scholar] [CrossRef][Green Version]
- You, L.; Yao, L.; Zhou, B.; Jin, L.; Yin, H.; Wu, J.; Yin, G.; Yang, Y.; Zhang, C.; Liu, Y.; et al. Effects of different ablation strategies on long-term left atrial function in patients with paroxysmal atrial fibrillation: A single-blind randomized controlled trial. Sci. Rep. 2019, 9. [Google Scholar] [CrossRef] [PubMed]



| Characteristic | Number, % |
|---|---|
| Age (mean, range) | 56 (26–73) |
| Male (n,%) | 37, 74% |
| Hypertension (n,%) | 28, 56% |
| Diabetes mellitus (n,%) | 5, 10% |
| Hypercholesterolemia (n,%) | 13, 26% |
| Left ventricular ejection fraction (mean, range) | 66 (54–79) |
| Left atria diameter (mean, range) | 38 (25–50) |
| Previous electrical cardioversion (n,%) | 10, 20% |
| Time (in months) since first AF diagnosis (mean, range) | 24 (11–40) |
| Antiarrhythmic drugs (n,%) | 45, 90% |
| Amiodarone (n,%) | 6, 12% |
| Flecainide/propafenone (n,%) | 36, 72% |
| Betablockers (n,%) | 30, 60% |
| Digoxine (n,%) | 1, 2% |
| Nondihydropyridine calcium channel blockers (verapamil/diltiazem) (n,%) | 5, 10% |
| Feature | Pre | Post | p Value |
|---|---|---|---|
| 5.6 (5.2–6.1) | 6.0 (5.7–7.6) | 0.020 * | |
| 1.9 (1.7–2.2) | 1.8 (1.7–2.1) | 0.251 | |
| 0.8 ± 0.3 | 0.8 ± 0.3 | 0.280 | |
| 0.35 (0.32–0.39) | 0.31 (0.28–0.35) | 0.002 * | |
| 0.11 ± 0.04 | 0.09 ± 0.04 | 0.012 * | |
| MAD | 0.7 (0.5–1.5) | 0.8 (0.4–1.2) | 0.681 |
| MAD | 0.4 (0.2–0.6) | 0.3 (0.2–0.5) | 0.356 |
| MAD | 0.2 (0.1–0.2) | 0.2 (0.1–0.2) | 0.992 |
| MAD | 0.09 ± 0.06 | 0.06 ± 0.05 | 0.030 * |
| MAD | 0.03 ± 0.02 | 0.03 ± 0.02 | 0.671 |
| Feature | Pre | Post | p Value |
|---|---|---|---|
| (ms) | 184 (169–205) | 179 (162–210) | 0.817 |
| (ms) | 1020 (889–1136) | 934 (814–1088) | 0.026 * |
| -wave duration (ms) | 127 (123–137) | 122 (121–133) | 0.118 |
| MAD (ms) | 9 ± 19 | 7 ± 7 | 0.663 |
| MAD (ms) | 89 (10–50) | 87 (5–32) | 0.732 |
| MAD P-wave duration (ms) | 6 (3–9) | 6 (3–12) | 0.890 |
| Feature | Sensitivity | Specificity | Precision | Accuracy |
|---|---|---|---|---|
| 0.67 | 0.67 | 0.76 | 0.67 | |
| 0.69 | 0.74 | 0.74 | 0.67 | |
| 0.64 | 0.64 | 0.66 | 0.63 | |
| 0.66 | 0.73 | 0.68 | 0.69 | |
| 0.63 | 0.67 | 0.65 | 0.65 | |
| PR interval | 0.81 | 0.78 | 0.81 | 0.79 |
| RR interval | 0.50 | 0.63 | 0.92 | 0.64 |
| P-wave duration | 0.72 | 0.74 | 0.77 | 0.72 |
| , PR, RR, , P-wave duration | 0.84 | 0.85 | 0.89 | 0.84 |
| Feature | AF Recurrent | No Recurrence |
|---|---|---|
| −0.5 | 0.8 * | |
| −0.5 * | −0.1 | |
| −0.1 * | −0.1 | |
| −0.02 | −0.03 * | |
| −0.02 | −0.02 * | |
| (ms) | −14 | −1 |
| (ms) | −83 | −96 * |
| -wave duration (ms) | −2 | −6 * |
| (°) | 20.85 | 34.89 |
Publisher’s Note: MDPI stays neutral with regard to jurisdictional claims in published maps and institutional affiliations. |
© 2021 by the authors. Licensee MDPI, Basel, Switzerland. This article is an open access article distributed under the terms and conditions of the Creative Commons Attribution (CC BY) license (http://creativecommons.org/licenses/by/4.0/).
Share and Cite
Ortigosa, N.; Cano, Ó.; Sandberg, F. Characterization of Changes in P-Wave VCG Loops Following Pulmonary-Vein Isolation. Sensors 2021, 21, 1923. https://doi.org/10.3390/s21051923
Ortigosa N, Cano Ó, Sandberg F. Characterization of Changes in P-Wave VCG Loops Following Pulmonary-Vein Isolation. Sensors. 2021; 21(5):1923. https://doi.org/10.3390/s21051923
Chicago/Turabian StyleOrtigosa, Nuria, Óscar Cano, and Frida Sandberg. 2021. "Characterization of Changes in P-Wave VCG Loops Following Pulmonary-Vein Isolation" Sensors 21, no. 5: 1923. https://doi.org/10.3390/s21051923
APA StyleOrtigosa, N., Cano, Ó., & Sandberg, F. (2021). Characterization of Changes in P-Wave VCG Loops Following Pulmonary-Vein Isolation. Sensors, 21(5), 1923. https://doi.org/10.3390/s21051923

