3D DCT Based Image Compression Method for the Medical Endoscopic Application
Abstract
1. Introduction
2. Two Properties of Endoscopic Images
3. The Proposed 3D DCT Compression Method
3.1. 3D Block Construction
3.2. 3D DCT Based Block Transformation
3.3. Quantization
3.4. Zigzag Scan
3.5. Deblocking Algorithm
3.5.1. The SMSDS Block Evaluation Criterion
3.5.2. The Guided Frequency-Domain Filter
4. Results
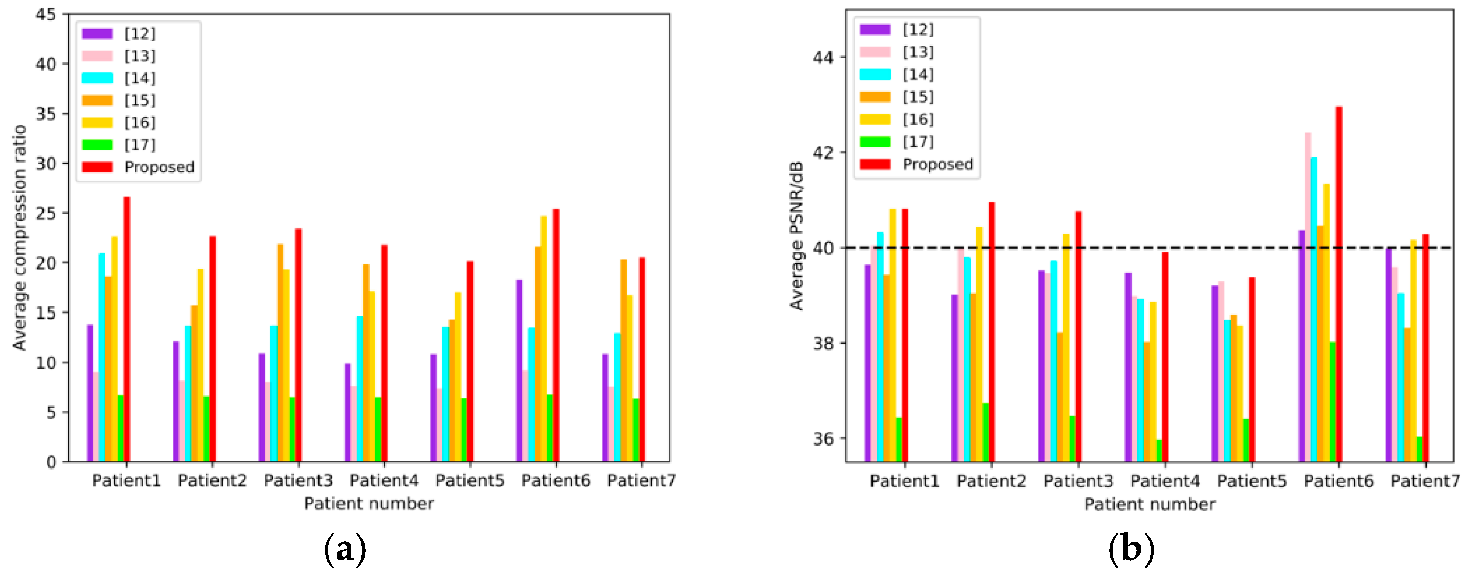
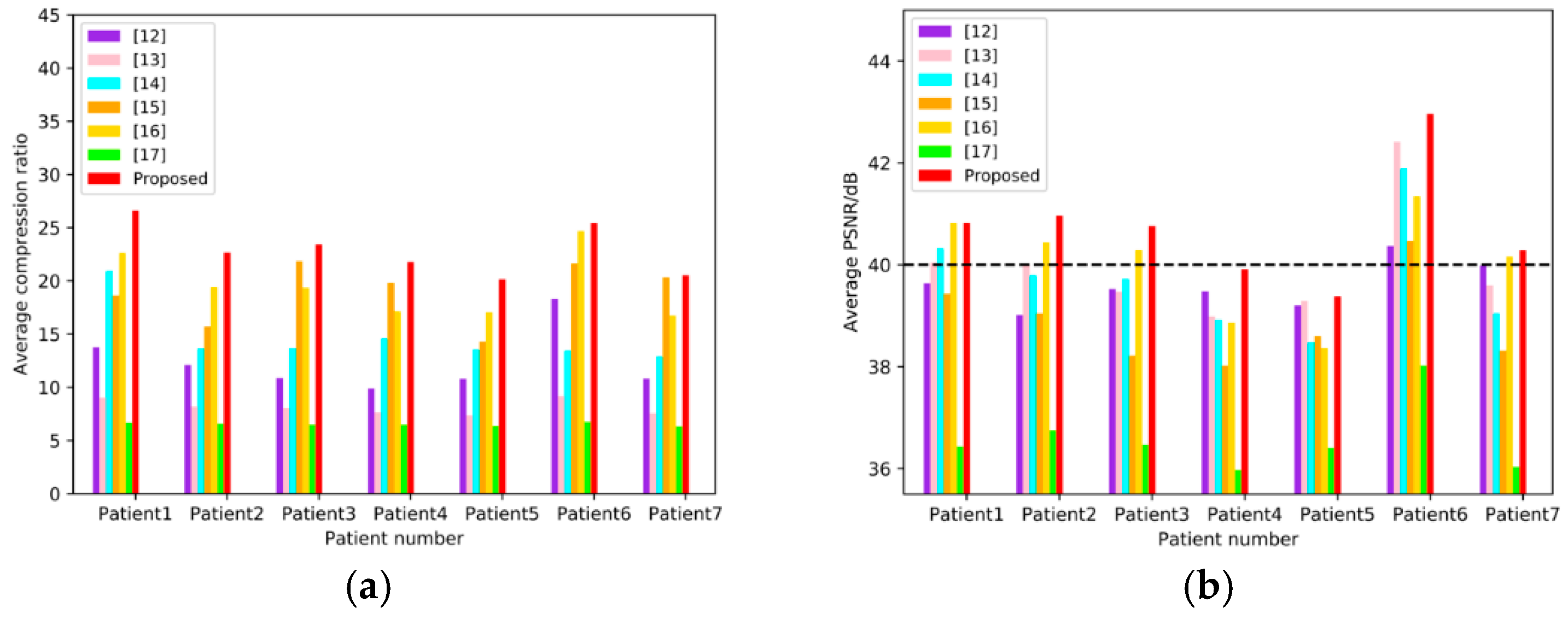
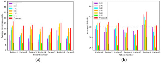
4.1. Objective Quality Comparison
4.2. Subjective Quality Comparison
4.3. Computational Complexity Comparison
5. Conclusions
Author Contributions
Funding
Institutional Review Board Statement
Informed Consent Statement
Data Availability Statement
Conflicts of Interest
References
- Iddan, G.; Meron, G.; Glukhovsly, A.; Swain, P. Wireless capsule endoscopy. Nature 2000, 405. [Google Scholar] [CrossRef]
- Gu, Y.; Xie, X.; Li, G.; Sun, T.; Wang, D.; Yin, Z.; Zhang, P.; Wang, Z. Design of endoscopic capsule with multiple cameras. IEEE Trans. Biomed. Circuits Syst. 2014, 9, 590–602. [Google Scholar] [CrossRef] [PubMed]
- Alam, M.W.; Hasan, M.M.; Mohammed, S.K.; Deeba, F.; Wahid, K.A. Are current advances of compression algorithms for capsule endoscopy enough? A technical review. IEEE Rev. Biomed. Eng. 2017, 10, 26–43. [Google Scholar] [CrossRef] [PubMed]
- Xie, X.; Li, G.; Chen, X.; Li, X.; Wang, Z. A Low-Power Digital IC Design Inside the Wireless Endoscopic Capsule. IEEE J. SolidState Circuits 2006, 41, 2390–2400. [Google Scholar] [CrossRef]
- Chen, X.; Zhang, X.; Zhang, L.; Qi, N.; Jiang, H.; Wang, Z. A wireless capsule endoscopic system with a low-power controlling and processing ASIC. In Proceedings of the IEEE Asian Solid-State Circuits Conference, Fukouka, Japan, 3–5 November 2008; pp. 321–324. [Google Scholar]
- Chen, S.-L.; Liu, T.-Y.; Shen, C.-W.; Tuan, M.-C. VLSI implementation of a cost-efficient near-lossless CFA image compressor for wireless capsule endoscopy. IEEE Access 2016, 4, 10235–10245. [Google Scholar] [CrossRef]
- Malathkar, N.V.; Soni, S.K. Low complexity image compression algorithm based on hybrid DPCM for wireless capsule endoscopy. Biomed. Signal Process. Control 2019, 48, 197–204. [Google Scholar] [CrossRef]
- Khan, T.H.; Shrestha, R.; Wahid, K.A.; Babyn, P. Physical Design of a smart-device and FPGA based wireless capsule endoscopic system. Sens. Actuators A Phys. 2015, 221, 77–87. [Google Scholar] [CrossRef]
- Mohammed, S.K.; Rahman, K.M.; Wahid, K.A. Lossless Compression in Bayer Color Filter Array for Capsule Endoscopy. IEEE Access 2017, 5, 13823–13834. [Google Scholar] [CrossRef]
- Khan, T.H.; Wahid, K.A. Design of a Lossless Image Compression System for Video Capsule Endoscopy and Its Performance in In-Vivo Trials. Sensors 2014, 14, 20779–20799. [Google Scholar] [CrossRef] [PubMed]
- Khan, T.H.; Wahid, K.A. Low power and low complexity compressor for video capsule endoscopy. IEEE Trans. Circuits Syst. Video Technol. 2011, 21, 1534–1546. [Google Scholar] [CrossRef]
- Gao, Y.; Cheng, S.J.; Toh, W.D.; Kwok, Y.S.; Tan, K.C.B.; Chen, X. An asymmetrical qpsk/ook transceiver soc and 15:1 jpeg encoder ic for multifunction wireless capsule endoscopy. IEEE J. Solid-State Circuits 2013, 48, 2717–2733. [Google Scholar] [CrossRef]
- Turcza, P.; Duplaga, M. Energy-efficient image compression algorithm for high-frame rate multi-view wireless capsule endoscopy. J. Real-Time Image Process. 2019, 16, 1425–1437. [Google Scholar] [CrossRef]
- Turcza, P.; Duplaga, M. Low power fpga-based image processing core for wireless capsule endoscopy. Sens. Actuators A Phys. 2011, 172, 552–560. [Google Scholar] [CrossRef]
- Mostafa, A.; Khan, T.; Wahid, K. An improved YEF-DCT based compression algorithm for video capsule endoscopy. In Proceedings of the 36th Annual International Conference of the IEEE Engineering in Medicine and Biology Society, Chicago, IL, USA, 27–31 August 2014; pp. 2452–2455. [Google Scholar]
- Gu, Y.; Jiang, H.; Xie, X.; Li, G.; Wang, Z. An image compression algorithm for wireless endoscopy and its ASIC implementation. In Proceedings of the 2016 IEEE Biomedical Circuits and Systems Conference (BioCAS), Shanghai, China, 17–19 October 2016; pp. 103–106. [Google Scholar]
- Gu, Y.; Xie, X.; Wang, Z.; Li, G.; Sun, T. Two-stage wireless capsule image compression with low complexity and high quality. Electron. Lett. 2012, 48, 1588–1589. [Google Scholar] [CrossRef]
- Abdelkrim, Z.; Ashwag, A.; Majdi, E. Low power design of wireless endoscopy compression/communication architecture. J. Electr. Syst. Inf. Technol. 2018, 5, 35–47. [Google Scholar] [CrossRef]
- Shabani, A.; Timarchi, S. Low-power DCT-based compressor for wireless capsule endoscopy. Signal Process. Image Commun. 2017, 59, 83–95. [Google Scholar] [CrossRef]
- Bayer, B.E. Color Imaging Array. Available online: https://patentimages.storage.googleapis.com/pdfs/US3971065.pdf (accessed on 5 March 2021).
- Tong, K.; Gu, Y.K.; Li, G.L.; Xie, X.; Liu, S.H.; Zhao, K.; Wang, Z.H. A fast algorithm of 4-point floating DCT in image/video compression. In Proceedings of the 2012 International Conference on Audio, Language and Image, Shanghai, China, 16–18 July 2012; pp. 872–875. [Google Scholar]
- Chen, Z.; Shi, J.; Li, W. Learned fast HEVC intra coding. IEEE Trans. Image Process. 2020, 29, 5431–5446. [Google Scholar] [CrossRef] [PubMed]
- Costa, L.F.; Veiga, A.C.P. “Identification of the best quantization table using genetic algorithms,” in PACRIM. In Proceedings of the 2005 IEEE Pacific Rim Conference on Communications, Computers and Signal Processing, Victoria, BC, Canada, 24–26 August 2005; pp. 570–573. [Google Scholar]
- Jiang, M.; Luo, Y.; Yang, S. Stagnation analysis in particle swarm optimization. In Proceedings of the 2007 IEEE Swarm Intelligence Symposium, Honolulu, HI, USA, 1–5 April 2007; pp. 92–99. [Google Scholar]
- Clerc, M.; Kennedy, J. The particle swarm-explosion, stability, and convergence in a multidimensional complex space. IEEE Trans. Evolut. Comput. 2002, 6, 58–73. [Google Scholar] [CrossRef]
- Engin, M.A.; Cavusoglu, B. New approach in image compression: 3d spiral jpeg. IEEE Commun. Lett. 2011, 15, 1234–1236. [Google Scholar] [CrossRef]
- Pennebaker, W.B.; Mitchell, J.L. JPEG: Still Image Data Compression Standard; Springer Science & Business Media: Berlin, Germany, 1992. [Google Scholar]
- Gavaskar, R.G.; Chaudhury, K.N. Fast adaptive bilateral filtering. IEEE Trans. Image Process. 2018, 28, 779–790. [Google Scholar] [CrossRef] [PubMed]
- Minami, S.; Zakhor, A. An optimization approach for removing blocking effects in transform coding. IEEE Trans. Circuits Syst. Video Technol. 1995, 5, 74–82. [Google Scholar] [CrossRef]
- Sullivan, G.J.; Ohm, J.R.; Han, W.J.; Wiegand, T. Overview of the high efficiency video coding (HEVC) standard. IEEE Trans. Circuits Syst. Video Technol. 2012, 22, 1649–1668. [Google Scholar] [CrossRef]
- Triantafyllidis, G.A.; Tzovaras, D.; Strintzis, M.G. Blocking artifact detection and reduction in compressed data. IEEE Trans. Circuits Syst. Video Technol. 2002, 12, 877–889. [Google Scholar] [CrossRef]
- Brandão, T.; Queluz, M.P. No-reference quality assessment of H. 264/AVC encoded video. IEEE Trans. Circuits Syst. Video Technol. 2010, 20, 1437–1447. [Google Scholar] [CrossRef]
- Zhang, R.; Ouyang, W.; Cham, W.K. Image postprocessing by non-local Kuan’s filter. J. Vis. Commun. Image Represent. 2011, 22, 251–262. [Google Scholar] [CrossRef]
- Zhang, R.; Liu, Y.; Cham, W.-K. High performance deartifacting filters in video compression. In Proceedings of the 2011 IEEE International Conference on Acoustics, Speech and Signal Processing (ICASSP), Prague, Czech Republic, 22–27 May 2011; pp. 1069–1072. [Google Scholar]
- Luo, Y.; Ward, R.K. Removing the blocking artifacts of block-based DCT compressed images. IEEE Trans. Image Process. 2003, 12, 838–842. [Google Scholar] [PubMed]
- He, K.; Sun, J.; Tang, X. Guided image filtering. In European Conference on Computer Vision; Springer: Berlin, Germany, 2010; pp. 1–14. [Google Scholar]













| Correlation Coefficient | Average Value |
|---|---|
| (R,G) | 0.9575 |
| (R,B) | 0.9041 |
| (B,G) | 0.9526 |
| Method | Compression Type | Color Space | Algorithm | Deblocking | Average
CR | Average PSNR |
|---|---|---|---|---|---|---|
| [12] | Lossy | Y-U-V | 2D DCT | × | 12.36:1 | 39.60 dB |
| [13] | Lossy | Y-Cb-Cr | 2D DCT | √ | 8.14:1 | 39.97 dB |
| [14] | Lossy | Y-Cg-Co | 2D DCT | × | 14.67:1 | 39.74 dB |
| [15] | Lossy | Y-E-F | 2D DCT | × | 18.90:1 | 38.87 dB |
| [16] | Lossy | Y-D1-D2-E | 2D DCT | × | 19.57:1 | 40.04 dB |
| [17] | Lossy | / | 2D DCT | √ | 6.53:1 | 36.58 dB |
| Proposed | Lossy | / | 3D DCT | √ | 22.94:1 | 40.73 dB |
Publisher’s Note: MDPI stays neutral with regard to jurisdictional claims in published maps and institutional affiliations. |
© 2021 by the authors. Licensee MDPI, Basel, Switzerland. This article is an open access article distributed under the terms and conditions of the Creative Commons Attribution (CC BY) license (http://creativecommons.org/licenses/by/4.0/).
Share and Cite
Xue, J.; Yin, L.; Lan, Z.; Long, M.; Li, G.; Wang, Z.; Xie, X. 3D DCT Based Image Compression Method for the Medical Endoscopic Application. Sensors 2021, 21, 1817. https://doi.org/10.3390/s21051817
Xue J, Yin L, Lan Z, Long M, Li G, Wang Z, Xie X. 3D DCT Based Image Compression Method for the Medical Endoscopic Application. Sensors. 2021; 21(5):1817. https://doi.org/10.3390/s21051817
Chicago/Turabian StyleXue, Jiawen, Li Yin, Zehua Lan, Mingzhu Long, Guolin Li, Zhihua Wang, and Xiang Xie. 2021. "3D DCT Based Image Compression Method for the Medical Endoscopic Application" Sensors 21, no. 5: 1817. https://doi.org/10.3390/s21051817
APA StyleXue, J., Yin, L., Lan, Z., Long, M., Li, G., Wang, Z., & Xie, X. (2021). 3D DCT Based Image Compression Method for the Medical Endoscopic Application. Sensors, 21(5), 1817. https://doi.org/10.3390/s21051817

