Dynamic Set Planning for Coordinated Multi-Point in B4G/5G Networks
Abstract
1. Introduction
2. Related Work
3. System Model and Problem Definition
3.1. System Model
3.2. Problem Definition
4. The Proposed Scheme
4.1. Power-Saving Resource Allocation (PSRA) Sub-Algorithm
4.2. Dynamic Cooperating Set Planning (DCSP) Sub-Algorithm
4.2.1. Including One-hop Neighbors (ψ1ch)
4.2.2. Relaying External Resources of Two-hop Neighbors (ψ2ch)
4.3. Transmit Power Allocation (TPA) Sub-Algorithm
| Algorithm 1. Transmit Power Allocation (TPA) Sub-algorithm |
| 1: S = G |
| 2: while S ≠ Ø |
| 3: for TPiinn = {TPMAX/|Sinni|, TPMAX/|Sinni|-∆p, …, 0} |
| 4: find Өiinn_new |
| 5: if Өiinn_new < Өiinn_old |
| 6: TPiinn = TPiinn + ∆p |
| 7: break |
| 8: else |
| 9: Өiinn_old = Өiinn_new |
| 10: end if |
| 11: end for |
| 12: TPiout = (TPMAX-|Sinni|*TPiinn)/|Souti| |
| 13: for TPiout = {TPiout, TPiout-∆p, …, 0} |
| 14: find Өiout_new |
| 15: if Өiout_new < Өiout_old |
| 16: TPiout = TPiout + ∆p |
| 17: break |
| 18: else |
| 19: Өiout_old = Өiout_new |
| 20: end if |
| 21: end for |
| 22: S = S-Ci |
| 23: end while |
4.4. Intra-Cell Dynamic Service Area Selection (ICDSS) Sub-Algorithm
5. Simulation Results
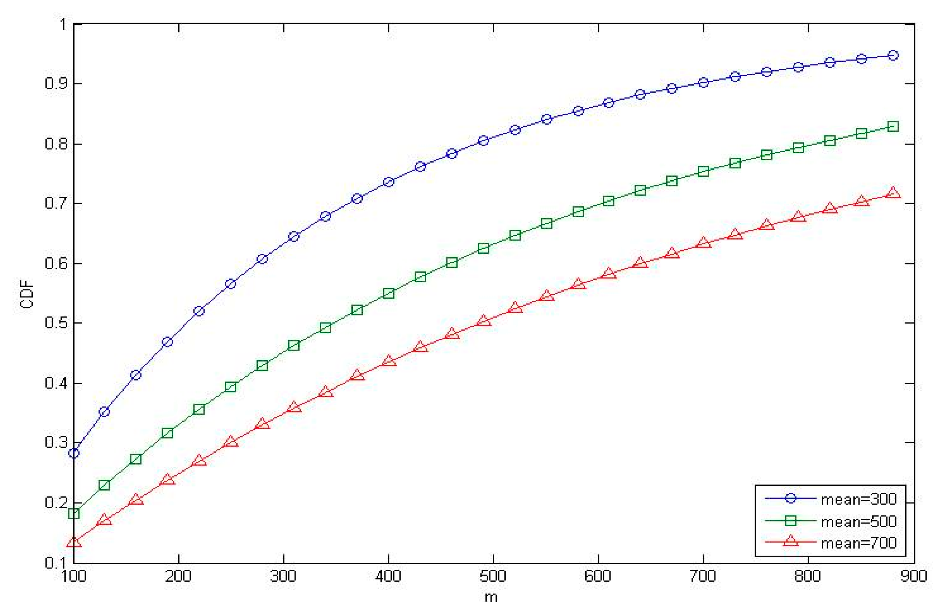
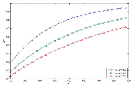
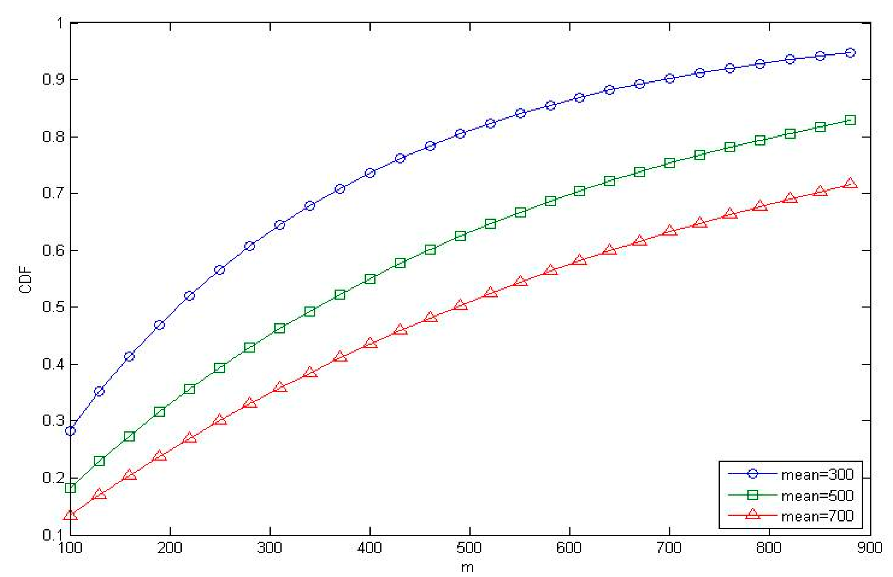
5.1. Centralized Overload
5.2. Exponential Random Distribution Overload
6. Conclusions
Author Contributions
Funding
Institutional Review Board Statement
Informed Consent Statement
Data Availability Statement
Acknowledgments
Conflicts of Interest
References
- Liang, J.M.; Chen, J.J.; Cheng, H.H.; Tseng, Y.C. An energy-efficient sleep scheduling with QoS consideration in 3GPP LTE-advanced networks for internet of things. IEEE J. Emerg. Sel. Top. Circuits Syst. 2013, 3, 13–22. [Google Scholar] [CrossRef]
- Ghosh, A.; Maeder, A.; Baker, M.; Chandramouli, D. 5G evolution: A view on 5G cellular technology beyond 3GPP release 15. IEEE Access 2019, 7, 127639–127651. [Google Scholar] [CrossRef]
- MacCartney, G.R.; Rappaport, T.S. Millimeter-wave base station diversity for 5G Coordinated Multipoint (CoMP) applications. IEEE Trans. Wirel. Commun. 2019, 18, 3395–3410. [Google Scholar] [CrossRef]
- Khoshnevisan, M.; Joseph, V.; Gupta, P.; Meshkati, F.; Prakash, R.; Tinnakornsrisuphap, P. 5G industrial networks with CoMP for URLLC and time sensitive network architecture. IEEE J. Sel. Areas Commun. 2019, 37, 947–959. [Google Scholar] [CrossRef]
- Yu, Y.-J.; Hsieh, T.-Y.; Pang, A.-C. Millimeter-wave backhaul traffic minimization for CoMP over 5G cellular networks. IEEE Trans. Veh. Technol. 2019, 68, 4003–4015. [Google Scholar] [CrossRef]
- Dghais, W.; Souilem, M.; Chi, H.R.; Radwan, A.; Taha, A.-E.M. Dynamic clustering for power effective small cell deployment in HetNet 5G networks. In Proceedings of the 2020 IEEE International Conference of Communications (ICC), Dublin, Ireland, 7–11 June 2020. [Google Scholar]
- He, S.; Wang, J.; Zhang, J.; Huang, Y.; Zhang, Y. Coordinated fronthaul data assignment and multicast beamforming for cache-enabled wireless networks. IEEE Wirel. Commun. Lett. 2019, 8, 1082–1085. [Google Scholar] [CrossRef]
- Belschner, J.; Rakocevic, V.; Habermann, J. Complexity of coordinated beamforming and scheduling for OFDMA based heterogeneous networks. Wirel. Netw. 2018, 25, 2233–2248. [Google Scholar] [CrossRef]
- Ochia, O.E.; Fapojuwo, A.O. Hybrid joint transmission and coordinated beamforming in millimeter-wave cellular networks. In Proceedings of the IEEE International Conference of Communications (ICC), Shanghai, China, 20–24 May 2019. [Google Scholar]
- Fu, S.; Fang, F.; Zhao, L.; Ding, Z.; Jian, X. Joint transmission scheduling and power allocation in non-orthogonal multiple access. IEEE Trans. Commun. 2019, 67, 8137–8150. [Google Scholar] [CrossRef]
- Zhou, Q.; Ma, Y.; Bai, L.; Choi, J.; Liang, Y.-C. Relay-aided multiple access scheme in two-point joint transmission. IEEE Trans. Veh. Technol. 2019, 68, 5629–5641. [Google Scholar] [CrossRef]
- Ben Dhia, I.; Bouhtou, M.; En-Najjary, T.; Lahoud, S.; Lagrange, X. Dynamic access point selection and resource allocation in multi-technology wireless network. In Proceedings of the IEEE Wireless Communications and Networking Conference (WCNC), Marrakesh, Morocco, 15–18April 2019. [Google Scholar]
- Muruganathan, S.; Faxer, S.; Jarmyr, S.; Gao, S.; Frenne, M. On the system-level performance of coordinated multi-point transmission schemes in 5G NR deployment scenarios. In Proceedings of the IEEE Vehicular Technology Conference (VTC), Honolulu, HI, USA, 22–25 September 2019. [Google Scholar]
- Kazi, B.U.; Wainer, G. Coordinated multi-cell cooperation with user centric dynamic coordination station. Comput. Netw. 2020, 166, 106948. [Google Scholar] [CrossRef]
- Li, Y.; Xia, M.; Aissa, S. Coordinated multi-point transmission: A poisson-delaunay triangulation based approach. IEEE Trans. Wirel. Commun. 2020, 19, 2946–2959. [Google Scholar] [CrossRef]
- Mismar, F.B.; Evans, B.L. Deep learning in downlink coordinated multipoint in new radio heterogeneous networks. IEEE Wirel. Commun. Lett. 2019, 8, 1040–1043. [Google Scholar] [CrossRef]
- Musumeci, F.; De Silva, E.; Tornatore, M. Enhancing RAN throughput by optimized CoMP controller placement in optical metro networks. IEEE J. Sel. Areas Commun. 2018, 36, 2561–2569. [Google Scholar] [CrossRef]
- Marotta, A.; Cassioli, D.; Antonelli, C.; Kondepu, K.; Valcarenghi, L. Network solutions for CoMP coordinated scheduling. IEEE Access 2019, 7, 176624–176633. [Google Scholar] [CrossRef]
- Marotta, A.; Giannone, F.; Kondepu, K.; Cassioli, D.; Antonelli, C.; Valcarenghi, L.; Castoldi, P. Reducing CoMP control message delay in PON backhauled 5G networks. In Proceedings of the European Wireless 2017; 23th European Wireless Conference, Dresden, Germany, 17–19 May 2017. [Google Scholar]
- Li, L.; Yang, C.; Mkiramweni, M.E.; Pang, L. Intelligent scheduling and power control for multimedia transmission in 5G CoMP systems: A dynamic bargaining game. IEEE J. Sel. Areas Commun. 2019, 37, 1622–1631. [Google Scholar] [CrossRef]
- Abdulshakoor, A.I.; Elmesalawy, M.M.; Khalaf, G.A.; Dessouky, M.I. Backhaul-aware scheduling technique for LTE-WLAN aggregation. In Proceedings of the IEEE Wireless Communications and Networking Conference (WCNC), Marrakesh, Morocco, 15–18 April 2019. [Google Scholar]
- Liu, W.; Wang, L.; Wanga, E.; Yanga, Y.; Zeghlache, D.; Zhang, D. Reinforcement learning-based cell selection in sparse mobile crowdsensing. Comput. Netw. 2019, 161, 102–114. [Google Scholar] [CrossRef]
- Gao, X.; Feng, S.; Niyato, D.; Wang, P.; Yang, K.; Liang, Y.-C. Dynamic access point and service selection in backscatter-assisted RF-powered cognitive networks. IEEE Internet Things J. 2019, 6, 8270–8283. [Google Scholar] [CrossRef]
- Liu, J.; Wu, G.; Xiao, S.; Zhou, X.; Li, G.Y.; Guo, S.; Li, S. Joint power allocation and user scheduling for device-to-device-enabled heterogeneous networks with non-orthogonal multiple access. IEEE Access 2019, 7, 62657–62671. [Google Scholar] [CrossRef]
- Yang, X. Soft frequency reuse scheme for UTRAN LTE. In Proceedings of the 3GPP R1-050507, TSG-RAN1 #41, Athens, Greece, 9–13 May 2005. [Google Scholar]
- Fu, W.; Tao, Z.; Zhang, J.; Agrawal, D. Differentiable spectrum partition for fractional frequency reuse in multi-cell OFDMA networks. In Proceedings of the IEEE Wireless Communications and Networking Conference (WCNC), Sydney, NSW, Australia, 18–21 April 2010. [Google Scholar]
















| Modulation | Code Rate | SINR(dB) |
|---|---|---|
| 16QAM | 1/2 | 7.9 |
| 2/3 | 11.3 | |
| 3/4 | 12.2 | |
| 4/5 | 12.8 | |
| 64QAM | 2/3 | 15.3 |
| 3/4 | 17.5 | |
| 4/5 | 18.6 |
| Notation | Definition |
|---|---|
| Fi | The i-th frequency subband |
| FCiouter | The subbands used in the outer area of Celli |
| FCiinner | The subbands used in the inner area of Celli |
| M | The number of cells |
| N | The number of UEs |
| δi | Average data rate for UEi (bits/s) |
| rj | UEj’s data request |
| TPiinn | The inner transmission power of BS i (watt/TTI) |
| TPiout | The outer transmission power of BS i (watt/TTI) |
| TTIinn(i,j) | The needed resource for user j in the inner region |
| TTIout(i,j) | The needed resource for user j in the outer region |
| Eff(x) | The number of data bits that a TTI can carry with MCS x |
| TTIiinn | The total requirements of BS j for inner regions |
| TTIiout | The total requirements of BS j for outer regions |
| Thrinnlw | The lower threshold of TTIiinn |
| Thrinnup | The upper threshold of TTIiinn |
| Throutlw | The lower threshold of TTIiout |
| Throutup | The upper threshold of TTIiout |
| Siinn | The set of used TTIs in inner regions |
| Siout | The sets of used TTIs in outer regions |
| ψ1Ch | The adjacent BSs to the overloaded BS (Ch) |
| N1i | The i-th direct neighboring cell of the overloaded BS (Ch) |
| αm,n | The set of users which is served by BS m and is also covered by BS n |
| βu,v | The amount of free resource in the cell edge of BS v which can be provided to BS u |
| F(C1i, G) | The number of adjacent edges between BS C1i and G |
| π | The total amount of overloaded traffic demand of Ch |
| Z(αch,i) | The total required amount of radio resource in Ch for the set of users αch,i |
| ψ2ch | The 2-hop neighbors of Ch |
| TPMAX | The maximal transmission power |
| TPir | The remaining transmission power |
| Parameter | Value |
|---|---|
| system bandwidth | 10 MHz |
| distance between two neighboring | 866 m |
| transmission power of a BS and a UE | 46 dBm, 23 dBm |
| antenna height of a BS | 32 m |
| inner area of each cell | 2/3 |
| average data rate of each UE | 500 kbps |
Publisher’s Note: MDPI stays neutral with regard to jurisdictional claims in published maps and institutional affiliations. |
© 2021 by the authors. Licensee MDPI, Basel, Switzerland. This article is an open access article distributed under the terms and conditions of the Creative Commons Attribution (CC BY) license (http://creativecommons.org/licenses/by/4.0/).
Share and Cite
Liang, J.-M.; Hsu, C.-K.; Chen, J.-J.; Lin, P.-H.; Hsu, P.-M.; Chen, T.-S. Dynamic Set Planning for Coordinated Multi-Point in B4G/5G Networks. Sensors 2021, 21, 1752. https://doi.org/10.3390/s21051752
Liang J-M, Hsu C-K, Chen J-J, Lin P-H, Hsu P-M, Chen T-S. Dynamic Set Planning for Coordinated Multi-Point in B4G/5G Networks. Sensors. 2021; 21(5):1752. https://doi.org/10.3390/s21051752
Chicago/Turabian StyleLiang, Jia-Ming, Ching-Kuo Hsu, Jen-Jee Chen, Po-Han Lin, Po-Min Hsu, and Tzung-Shi Chen. 2021. "Dynamic Set Planning for Coordinated Multi-Point in B4G/5G Networks" Sensors 21, no. 5: 1752. https://doi.org/10.3390/s21051752
APA StyleLiang, J.-M., Hsu, C.-K., Chen, J.-J., Lin, P.-H., Hsu, P.-M., & Chen, T.-S. (2021). Dynamic Set Planning for Coordinated Multi-Point in B4G/5G Networks. Sensors, 21(5), 1752. https://doi.org/10.3390/s21051752

