Multi-Output Monitoring of High-Speed Laser Welding State Based on Deep Learning
Abstract
1. Introduction
2. Architecture of the Model
2.1. Multi-Output Model Based on MobileNetV2
2.2. Optimization of the Loss Function
- Set the parameters of PSO, including the number of particles , learning factors and , and the inertia weight .
- Randomly initialize the velocity and position for each particle. The velocity is and the position is for the -th particle.
- Calculate the value of the fitness function for each particle.
- According to the value of the fitness function, determine the best position for each particle in history and the global best position for all particles in history .
- Determine whether the maximum iteration is reached. If so, output and finish the optimization. Otherwise update the velocity and position for each particle:
3. Data Acquisition and Processing
3.1. Experimental Setup and Procedure
3.2. Data Preprocessing
3.3. Training of the Model
- The original MobileNetV2-C&R model where A in the loss function is set to 0.
- Two individual models based on MobileNetV2, one for classification (MobileNetV2-C) and the other for regression (MobileNetV2-R).
- Classical models. Two classical image feature operators, histogram of oriented gradient (HOG) [30] and local binary pattern (LBP) [31], are used to extract features in images, respectively. Then two classical machine learning methods, support vector machine (SVM) and k-nearest neighbor (KNN), are used to make predictions. The classification and regression forms of SVM are SVC and SVR, respectively, and of KNN are KNC and KNR, respectively. Therefore, four models are built for classification prediction (HOG + SVC, HOG + KNC, LBP + SVC, LBP + KNC) and four models are built for regression prediction (HOG + SVR, HOG + KNR, LBP + SVR, LBP + KNR).
4. Results and Discussions
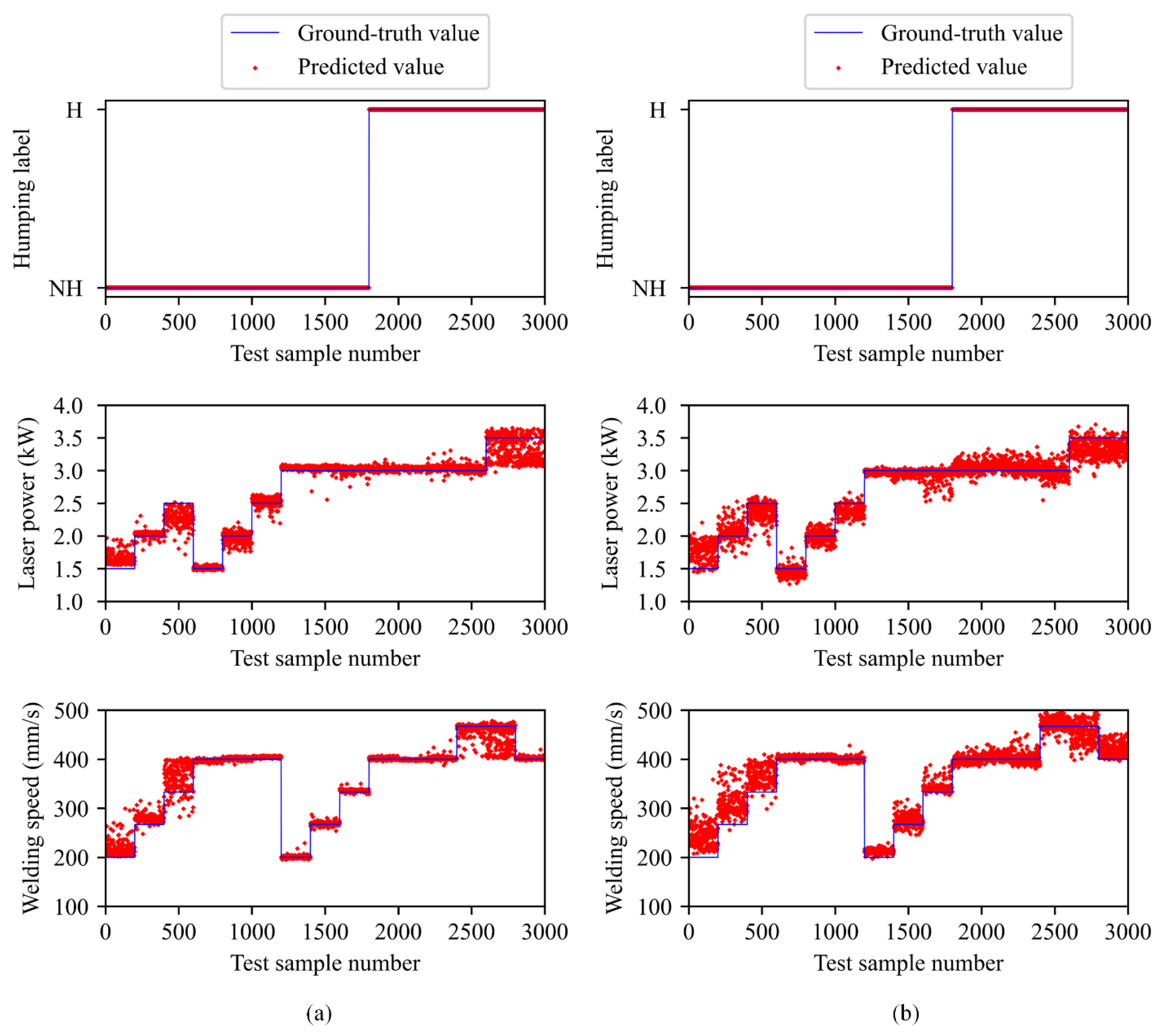
4.1. Performance Evaluation and Comparison
4.2. CNN Visualization
5. Summary
Author Contributions
Funding
Conflicts of Interest
References
- Wang, B.; Hu, S.J.; Sun, L.; Freiheit, T. Intelligent welding system technologies: State-of-the-art review and perspectives. J. Manuf. Syst. 2020, 56, 373–391. [Google Scholar] [CrossRef]
- Landowski, M.; Swierczynska, A.; Rogalski, G.; Fydrych, D. Autogenous Fiber Laser Welding of 316L Austenitic and 2304 Lean Duplex Stainless Steels. Materials 2020, 13, 2930. [Google Scholar] [CrossRef] [PubMed]
- You, D.; Gao, X.; Katayama, S. Review of laser welding monitoring. Sci. Technol. Weld. Join. 2014, 19, 181–201. [Google Scholar] [CrossRef]
- Cai, W.; Wang, J.; Jiang, P.; Cao, L.; Mi, G.; Zhou, Q. Application of sensing techniques and artificial intelligence-based methods to laser welding real-time monitoring: A critical review of recent literature. J. Manuf. Syst. 2020, 57, 1–18. [Google Scholar] [CrossRef]
- Knaak, C.; Kolter, G.; Schulze, F.; Kröger, M.; Abels, P. Deep learning-based semantic segmentation for in-process monitoring in laser welding applications. In Applications of Machine Learning; SPIE: Bellingham, WA, USA, 2019; p. 1113905. [Google Scholar]
- Zhang, Z.; Li, B.; Zhang, W.; Lu, R.; Wada, S.; Zhang, Y. Real-time penetration state monitoring using convolutional neural network for laser welding of tailor rolled blanks. J. Manuf. Syst. 2020, 54, 348–360. [Google Scholar] [CrossRef]
- You, D.; Gao, X.; Katayama, S. WPD-PCA-Based Laser Welding Process Monitoring and Defects Diagnosis by Using FNN and SVM. IEEE Trans. Ind. Electron. 2015, 62, 628–636. [Google Scholar] [CrossRef]
- Wang, T.; Chen, J.; Gao, X.; Qin, Y. Real-time Monitoring for Disk Laser Welding Based on Feature Selection and SVM. Appl. Sci. 2017, 7, 884. [Google Scholar] [CrossRef]
- Chen, J.; Wang, T.; Gao, X.; Wei, L. Real-time monitoring of high-power disk laser welding based on support vector machine. Comput. Ind. 2018, 94, 75–81. [Google Scholar] [CrossRef]
- Lu, R.; Wei, H.; Li, F.; Zhang, Z.; Liang, Z.; Li, B. In-situ monitoring of the penetration status of keyhole laser welding by using a support vector machine with interaction time conditioned keyhole behaviors. Opt. Laser Eng. 2020, 130, 106099. [Google Scholar] [CrossRef]
- Khanzadeh, M.; Chowdhury, S.; Marufuzzaman, M.; Tschopp, M.A.; Bian, L. Porosity prediction: Supervised-learning of thermal history for direct laser deposition. J. Manuf. Syst. 2018, 47, 69–82. [Google Scholar] [CrossRef]
- Lecun, Y.; Bottou, L.; Bengio, Y.; Haffner, P. Gradient-based learning applied to document recognition. Proc. IEEE 1998, 86, 2278–2324. [Google Scholar] [CrossRef]
- Yang, Y.; Yang, R.; Pan, L.; Ma, J.; Zhu, Y.; Diao, T.; Zhang, L. A lightweight deep learning algorithm for inspection of laser welding defects on safety vent of power battery. Comput. Ind. 2020, 123, 103306. [Google Scholar] [CrossRef]
- Zhang, Y.; You, D.; Gao, X.; Wang, C.; Li, Y.; Gao, P.P. Real-time monitoring of high-power disk laser welding statuses based on deep learning framework. J. Intell. Manuf. 2020, 31, 799–814. [Google Scholar] [CrossRef]
- Zhang, Y.; You, D.; Gao, X.; Zhang, N.; Gao, P.P. Welding defects detection based on deep learning with multiple optical sensors during disk laser welding of thick plates. J. Manuf. Syst. 2019, 51, 87–94. [Google Scholar] [CrossRef]
- Liu, T.; Bao, J.; Wang, J.; Zhang, Y. A hybrid CNN-LSTM algorithm for online defect recognition of CO2 welding. Sensors 2018, 18, 4369. [Google Scholar] [CrossRef]
- Feng, Y.; Chen, Z.; Wang, D.; Chen, J.; Feng, Z. DeepWelding: A deep learning enhanced approach to GTAW using multisource sensing images. IEEE Trans. Ind. Inform. 2020, 16, 465–474. [Google Scholar] [CrossRef]
- Bacioiu, D.; Melton, G.; Papaelias, M.; Shaw, R. Automated defect classification of SS304 TIG welding process using visible spectrum camera and machine learning. NDT&E Int. 2019, 107, 102131–102139. [Google Scholar]
- Bacioiu, D.; Melton, G.; Papaelias, M.; Shaw, R. Automated defect classification of Aluminium 5083 TIG welding using HDR camera and neural networks. J. Manuf. Process. 2019, 45, 603–613. [Google Scholar] [CrossRef]
- Shevchik, S.; Le-Quang, T.; Meylan, B.; Farahani, F.V.; Olbinado, M.P.; Rack, A.; Masinelli, G.; Leinenbach, C.; Wasmer, K. Supervised deep learning for real-time quality monitoring of laser welding with X-ray radiographic guidance. Sci. Rep. 2020, 10, 3389. [Google Scholar] [CrossRef] [PubMed]
- Nguyen, T.C.; Weckman, D.C.; Johnson, D.A.; Kerr, H.W. High speed fusion weld bead defects. Sci. Technol. Weld. Join. 2006, 11, 618–633. [Google Scholar] [CrossRef]
- Ai, Y.; Jiang, P.; Wang, C.; Mi, G.; Geng, S.; Liu, W.; Han, C. Investigation of the humping formation in the high power and high speed laser welding. Opt. Laser Eng. 2018, 107, 102–111. [Google Scholar] [CrossRef]
- Ding, C.F.; Lee, M.S.; Li, K.M. Low-cost camera based laser power monitoring and stabilizing for micro-hole drilling. Int. J. Precis. Eng. Man 2017, 18, 1205–1212. [Google Scholar] [CrossRef]
- Sun, W.; Wang, Z.; Xu, D.G.; Yu, X.; Jiang, D. Stable operation method for speed sensorless induction motor drives at zero synchronous speed with estimated speed error compensation. IEEE Trans. Power Electron. 2019, 34, 11454–11466. [Google Scholar] [CrossRef]
- Sandler, M.; Howard, A.; Zhu, M.; Zhmoginov, A.; Chen, L.C. MobileNetV2: Inverted residuals and linear bottlenecks. In Proceedings of the 2018 IEEE/CVF Conference on Computer Vision and Pattern Recognition (CVPR), Salt Lake City, UT, USA, 18–23 June 2018. [Google Scholar]
- Kennedy, J.; Eberhart, R. Particle swarm optimization. In Proceedings of the ICNN’95—International Conference on Neural Networks, Perth, WA, Australia, 27 November–1 December 1995; IEEE: Piscataway, NJ, USA, 1995; pp. 1942–1948. [Google Scholar]
- Van Dyk, D.A.; Meng, X.L. The art of data augmentation. J. Comput. Graph. Stat. 2001, 10, 1–50. [Google Scholar] [CrossRef]
- Kingma, D.P.; Ba, J. Adam: A method for stochastic optimization. arXiv 2014, arXiv:1412.6980. [Google Scholar]
- Hinton, G.E.; Srivastava, N.; Krizhevsky, A.; Sutskever, I.; Salakhutdinov, R.R. Improving neural networks by preventing co-adaptation of feature detectors. arXiv 2012, arXiv:1207.0580. [Google Scholar]
- Dalal, N.; Triggs, B. Histograms of oriented gradients for human detection. In Proceedings of the 2005 IEEE Computer Society Conference on Computer Vision and Pattern Recognition (CVPR’05), San Diego, CA, USA, 20–25 June 2005; IEEE: Piscataway, NJ, USA, 2005; pp. 886–893. [Google Scholar]
- Ojala, T.; Pietikainen, M.; Maenpaa, T. Multiresolution Gray-Scale and Rotation Invariant Texture Classification with Local Binary Patterns. IEEE Trans. Pattern Anal. Mach. Intell. 2002, 24, 971–987. [Google Scholar] [CrossRef]
- Selvaraju, R.R.; Cogswell, M.; Das, A.; Vedantam, R.; Parikh, D.; Batra, D. Grad-CAM: Visual explanations from deep networks via gradient-based localization. In Proceedings of the IEEE International Conference on Computer Vision (ICCV), Venice, Italy, 22–29 October 2017; pp. 618–626. [Google Scholar]
- Fabbro, R. Melt pool and keyhole behaviour analysis for deep penetration laser welding. J. Phys. D Appl. Phys. 2010, 43, 445501. [Google Scholar] [CrossRef]
- Tang, C.; Le, K.Q.; Wong, C.H. Physics of humping formation in laser powder bed fusion. Int. J. Heat Mass Transf. 2020, 149, 119172. [Google Scholar] [CrossRef]
Model | Classification | Regression | Average Prediction Time (ms) | ||||
---|---|---|---|---|---|---|---|
Deep learning based model | Mobile NetV2-C&R-PSO | 100.00 | 0.9570 | 0.9618 | 83.17 | 8.48 | 2.24 |
MobileNetV2-C&R | 100.00 | 0.9416 | 0.9091 | 107.83 | 16.78 | 2.24 | |
MobileNetV2-C | 100.00 | - | - | - | - | 1.85 | |
MobileNetV2-R | - | 0.9464 | 0.9806 | 92.63 | 5.84 | 1.88 | |
Classical model | HOG+SVC | 98.01 | - | - | - | - | - |
HOG+KNC | 94.81 | - | - | - | - | - | |
LBP+SVC | 69.43 | - | - | - | - | - | |
LBP+KNC | 69.28 | - | - | - | - | - | |
HOG+SVR | - | 0.4400 | 0.5206 | 369.65 | 45.40 | - | |
HOG+KNR | - | 0.5463 | 0.0758 | 294.33 | 47.02 | - | |
LBP+SVR | - | −0.2350 | −1.3134 | 548.53 | 99.88 | - | |
LBP+KNR | - | 0.0100 | −0.1075 | 414.23 | 61.42 | - |
Publisher’s Note: MDPI stays neutral with regard to jurisdictional claims in published maps and institutional affiliations. |
© 2021 by the authors. Licensee MDPI, Basel, Switzerland. This article is an open access article distributed under the terms and conditions of the Creative Commons Attribution (CC BY) license (http://creativecommons.org/licenses/by/4.0/).
Share and Cite
Xue, B.; Chang, B.; Du, D. Multi-Output Monitoring of High-Speed Laser Welding State Based on Deep Learning. Sensors 2021, 21, 1626. https://doi.org/10.3390/s21051626
Xue B, Chang B, Du D. Multi-Output Monitoring of High-Speed Laser Welding State Based on Deep Learning. Sensors. 2021; 21(5):1626. https://doi.org/10.3390/s21051626
Chicago/Turabian StyleXue, Boce, Baohua Chang, and Dong Du. 2021. "Multi-Output Monitoring of High-Speed Laser Welding State Based on Deep Learning" Sensors 21, no. 5: 1626. https://doi.org/10.3390/s21051626
APA StyleXue, B., Chang, B., & Du, D. (2021). Multi-Output Monitoring of High-Speed Laser Welding State Based on Deep Learning. Sensors, 21(5), 1626. https://doi.org/10.3390/s21051626