The Long-Lasting Story of One Sensor Development: From Novel Ionophore Design toward the Sensor Selectivity Modeling and Lifetime Improvement
Abstract
1. Introduction
2. Experimental
2.1. Reagents
2.2. Membranes’ Preparation and Evaluation
2.3. Kinetic Studies
3. Results and Discussion
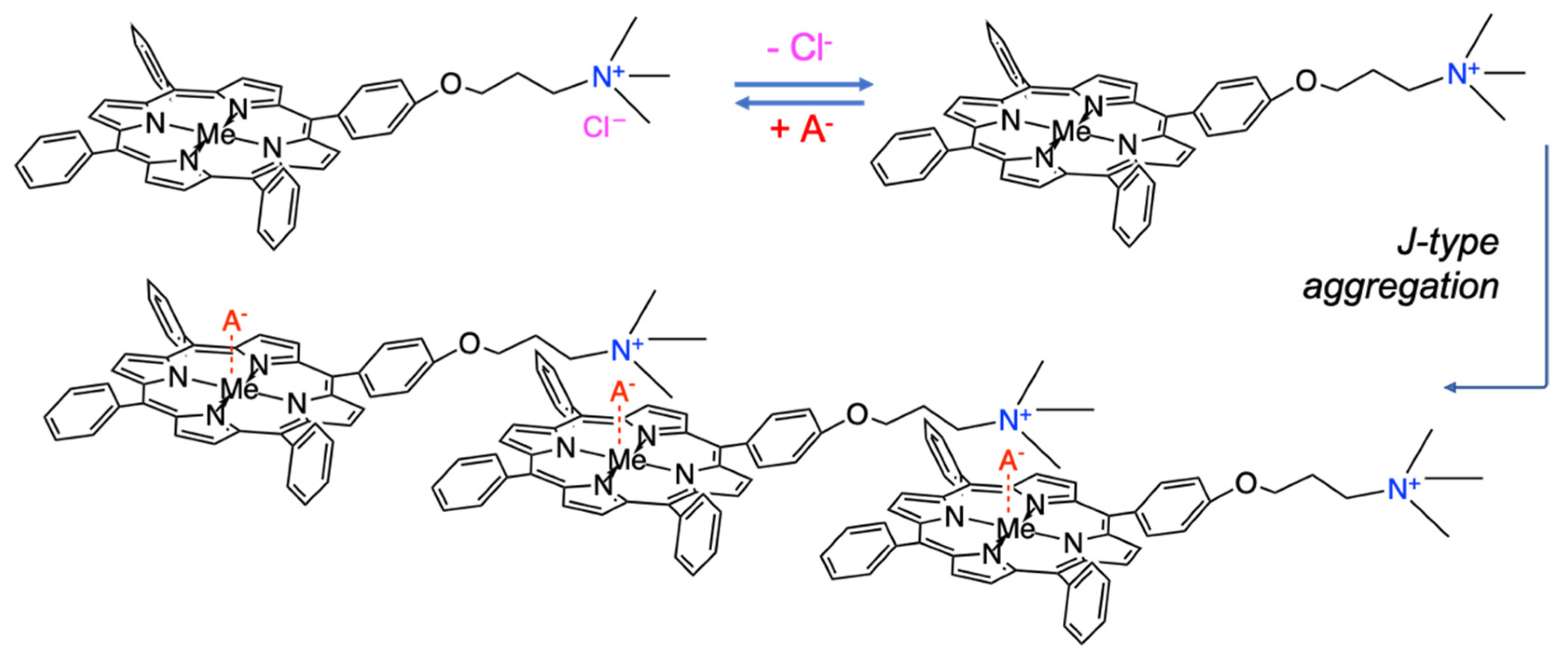
3.1. Kinetic and Spectroscopic Studies on the Aggregation of Co(II)-5-[4-(3-Tris-Methylammonium) Propyloxyphenyl]-10,15,20-Triphenyl-Porphyrin Chloride in Solution
3.2. Spectroscopic Tests and Anionic Sensitivity of Co(II)-5-[4-(3-Trimethylammonium)-Propyloxyphenyl]-10,15,20-Triphenyl-Porphyrin Chloride-Based Membranes
3.3. The Potentiometric Properties of the CoTPP-N Membranes with Lipophilic Sites and Membranes’ Sensitivity Simulation
3.4. Incorporation of Co(II)- 5-[4-(3-Trimethylammonium)Propyloxyphenyl]-10,15,20-Triphenyl-Porphyrin Chloride as a Cation Exchanger in Membranes Based on CoTPP
4. Conclusions
Author Contributions
Funding
Institutional Review Board Statement
Informed Consent Statement
Data Availability Statement
Acknowledgments
Conflicts of Interest
References
- Paolesse, R.; Nardis, S.; Monti, D.; Stefanelli, M.; Di Natale, C. Porphyrinoids for Chemical Sensor Applications. Chem. Rev. 2017, 117, 2517–2583. [Google Scholar] [CrossRef] [PubMed]
- Lvova, L.; Di Natale, C.; Paolesse, R. Porphyrin-based chemical sensors and multisensor arrays operating in the liquid phase. Sens. Actuators B Chem. 2013, 179, 21–31. [Google Scholar] [CrossRef]
- Biesaga, M.; Pyrzyńska, K.; Trojanowicz, M. Porphyrins in analytical chemistry. Talanta 2000, 51, 209–240. [Google Scholar] [CrossRef]
- Górski, Ł.; Malinowska, E.; Parzuchowski, P.; Zhang, W.; Meyerhoff, M.E. Recognition of anions using metalloporphyrin-based ion-selective membranes: State-of-the-art. Electroanalysis 2003, 15, 1229. [Google Scholar]
- Yim, H.; Kibbey, C.E.; Ma, S.; Kliza, D.M.; Lu, D.; Park, S.B.; Espadas-Torre, C.; Meyerhoff, M.E. Polymer membrane-based ion-, gas- and bio-selective potentiometric sensors. Biosens. Bioelectron. 1993, 8, 1–38. [Google Scholar] [CrossRef]
- Steinle, E.D.; Amemiya, S.; Bühlmann, P.; Meyerhoff, M.E. Origin of non-nernstian anion response slopes of metalloporphyrin-based liquid/polymer membrane electrodes. Anal. Chem. 2000, 72, 5766–5773. [Google Scholar] [CrossRef]
- Park, S.B.; Matuszewski, W.; Meyerhoff, M.E.; Liu, Y.H.; Kadish, K.M. Potentiometric anion selectivities of polymer membranes doped with indium(III)-porphyrins. Electroanalysis 1991, 3, 909–916. [Google Scholar] [CrossRef]
- Mitchell-Koch, J.T.; Pietrzak, M.; Malinowska, E.; Meyerhoff, M.E. Aluminum(III) porphyrins as ionophores for fluoride selective polymeric membrane electrodes. Electroanalysis 2006, 18, 551–557. [Google Scholar] [CrossRef]
- Yoon, J.; Shin, J.H.; Paeng, I.R.; Nam, H.; Cha, G.S.; Paeng, K.J. Potentiometric behavior of metalloporphyrin-based ion-selective electrodes: Use of silicone rubber matrix for serum chloride analysis. Anal. Chim. Acta. 1998, 367, 175–181. [Google Scholar] [CrossRef]
- Malinowska, E.; Niedziółka, J.; Meyerhoff, M.E. Potentiometric and spectroscopic characterization of anion selective electrodes based on metal(III) porphyrin ionophores in polyurethane membranes. Anal. Chim. Acta. 2001, 432, 67–78. [Google Scholar] [CrossRef]
- Górski, Ł.; Malinowska, E. Fluoride-selective sensors based on polyurethane membranes doped with Zr (IV)-porphyrins. Anal. Chim. Acta. 2005, 540, 159–165. [Google Scholar]
- Holmes-Smith, A.S.; Hamill, A.; Campbell, M.; Uttamlal, M. Electropolymerised platinum porphyrin polymers for dissolved oxygen sensing. Analyst 1999, 124, 1463–1466. [Google Scholar] [CrossRef]
- Lvova, L.; Paolesse, R.; Di Natale, C.; D’Amico, A.; Bergamini, A. Potentiometric polymeric film sensors based on 5,10,15-tris(4-aminophenyl) porphyrinates of Co(II) and Cu(II) for analysis of biological liquids. Int. J. Electrochem. 2011, 2011, 1–8. [Google Scholar] [CrossRef]
- Lvova, L.; Mastroianni, M.; Di Natale, C.; Lundström, I.; Paolesse, R. Towards hyphenated sensors development: design and application of porphyrin electropolymer materials. Electroanalysis 2012, 24, 776–789. [Google Scholar] [CrossRef]
- Lvova, L.; Yaroshenko, I.; Kirsanov, D.; Di Natale, C.; Paolesse, R.; Legin, A. Electronic tongue for brand uniformity control: a case study of apulian red wines recognition and defects evaluation. Sensors 2018, 18, 2584. [Google Scholar] [CrossRef] [PubMed]
- Oh, K.C.; Kim, K.A.; Paeng, I.R.; Baek, D.; Paeng, K.J. Anion-selective membrane electrodes based on polymer-supported metalloporphyrins. J. Electroanal. Chem. 1999, 468, 98–103. [Google Scholar] [CrossRef]
- Volf, R.; Shishkanova, T.V.; Matejka, P.; Hamplova, M.; Kral, V. Potentiometric anion response of poly(5,15-bis(2-aminophenyl)porphyrin) electropolymerized electrodes. Anal. Chim. Acta 1999, 381, 197–205. [Google Scholar] [CrossRef]
- Blair, T.L.; Allen, J.R.; Daunert, S.; Bachas, L.G. Potentiometric and fiber optic sensors for pH based on an electropolymerized cobalt porphyrin. Anal. Chem. 1993, 65, 2155–2158. [Google Scholar] [CrossRef]
- Qin, Y.; Bakker, E. Elimination of dimer formation in In(III)Porphyrin-based anion-selective membranes by covalent attachment of the ionophore. Anal. Chem. 2004, 76, 4379–4386. [Google Scholar] [CrossRef]
- Wang, L.; Meyerhoff, M.E. Polymethacrylate polymers with appended aluminum(III)-tetraphenylporphyrins: Synthesis, characterizationand evaluation as macromolecular ionophores for electrochemical and optical fluoride sensors. Anal. Chim. Acta. 2008, 611, 97–102. [Google Scholar] [CrossRef]
- Hassan, S.S.M.; Eldin, A.G.; Amr, A.E.-G.E.; Al-Omar, M.A.; Kamel, A.H. Single-walled carbon nanotubes (SWCNTs) as solid-contact in all-solid-state perchlorate ISEs: applications to fireworks and propellants analysis. Sensors 2019, 19, 2697. [Google Scholar] [CrossRef]
- Siwiec, K.; Górski, Ł. The application of germanium(IV)-porphyrins as fluoride-selective ionophores for polymeric membrane electrodes. J. Electroanal. Chem. 2019, 833, 498–504. [Google Scholar] [CrossRef]
- Lvova, L.; Verrelli, G.; Stefanelli, M.; Nardis, S.; Di Natale, C.; Amico, A.D.; Makarychev-Mikhailov, S.; Paolesse, R. Platinum porphyrins as ionophores in polymeric membrane electrodes. Analyst 2011, 136, 4966–4976. [Google Scholar] [CrossRef]
- Vlascici, D.; Plesu, N.; Fagadar-Cosma, G.; Lascu, A.; Petric, M.; Crisan, M.; Belean, A.; Fagadar-Cosma, E. Potentiometric sensors for lodide and bromide based on Pt(II)-porphyrin. Sensors 2018, 18, 2297. [Google Scholar] [CrossRef]
- Lvova, L.; Monti, D.; Pomarico, G.; Di Natale, C.; D’Amico, A.; Paolesse, R. Dual-mode chemical sensors based on metallo- porphyrin aggregation. In Proceedings of the Matrafured 2008 Conference on Chemical Sensors, Dobogókö, Hungary, 5–10 October 2008. [Google Scholar]
- Monti, D.; Venanzi, M.; Russo, M.; Bussetti, G.; Goletti, C.; Montalti, M.; Zaccheroni, N.; Prodi, L.; Rella, R.; Manera, M.G.; et al. Spontaneous deposition of amphiphilic porphyrin films on glassElectronic supplementary information (ESI) available: detailed kinetic studies and procedures, and aggregation studies on 1H2 and 2H2. New J. Chem. 2004, 28, 1123–1128. [Google Scholar] [CrossRef]
- Lvova, L.; Monti, D.; Di Natale, C.; Paolesse, R. Anion-exchanger side-substituted metalloporphyrin ionophores: systematic anionic selectivity tailoring. In Proceedings of the ICPP9, Nanjing, China, 2–8 July 2016. [Google Scholar]
- Smith, K.M. Porphyrins and Metallo-Porphyrins; Elsevier: Amsterdam, The Netherlands, 1975. [Google Scholar]
- Malinowska, E.; Meyerhoff, M.E. Role of axial ligation on potentiometric response of Co (III) tetraphenylporphyrin-doped polymeric membranes to nitrite ions. Anal. Chim. Acta. 1995, 300, 33–43. [Google Scholar] [CrossRef]
- Stepanek, P.; Dukh, M.; Saman, D.; Moravcova, J.; Kniezo, L.; Monti, D.; Venanzi, M.; Mancini, G.; Drasar, P. Synthesis and solvent driven self-aggregation studies of meso-“C-glycoside”-porphyrin derivatives. Org. Biomol. Chem. 2007, 5, 960–970. [Google Scholar] [CrossRef]
- Stefanelli, M.; Monti, D.; Venanzi, M.; Paolesse, R. Kinetic and spectroscopic studies on the self-aggregation of a meso-substituted amphiphilic corrole derivative. New J. Chem. 2007, 31, 1722–1725. [Google Scholar] [CrossRef]
- Bakker, E.; Malinowska, E.; Schiller, R.D.; Meyerhoff, M.E. Anion-selective membrane electrodes based on metalloporphyrins: The influence of lipophilic anionic and cationic sites on potentiometric selectivity. Talanta 1994, 41, 881–890. [Google Scholar] [CrossRef]
- Lvova, L.; Di Natale, C.; D’Amico, A.; Paolesse, R. Corrole-based ion-selective electrodes. J. Porphyrins Phthalocyanines 2009, 13, 1168–1178. [Google Scholar] [CrossRef]










| Membrane N | Ionophore, 1 wt.% | Additive, mol % | |
|---|---|---|---|
| TDMA+ | TpClPB- | ||
| 1 | CoTPP-N | - | - | 
| 2 | CoTPP-N | 20% | - | 
| 3 | CoTPP-N | - | 20% | 
| 4 | CoTPP-N | - | 80% | 
| 5 | CoTPP | 20% | |
| 6 | CoTPP | CoTPPN, 20% | - | 
| 7 | CoTPP | CoTPPN, 70% | - | 
| 8 | - | TDMACl, 10 wt.% | - | 
| Entry | [TBANO2], M | kapp, min−1 | n | 
|---|---|---|---|
| 1 | 1.0 × 10−5 | 2.6 × 10−4 | 0.83 | 
| 2 | 5.0 × 10−5 | 2.2 × 10−3 | 0.99 | 
| 3 | 1.0 × 10−4 | 3.4 × 10−3 | 0.91 | 
| 4 | 5.0 × 10−4 | 3.9 × 10−3 | 0.96 | 
| Membrance Composition | Schematic Presentation | Possible Interactions | |
|---|---|---|---|
| Case 1: MeTTP ionophore+ 20 mol% ion exchanger |  |  |  | 
| Case 2: MeTTP-N ionophore |  |  |  | 
|  |  |  | |
| Case 3: MeTTP ionophore + 20 mol% MeTTP-N ion exchanger |  |  |  | 
|  |  |  | 

| Publisher’s Note: MDPI stays neutral with regard to jurisdictional claims in published maps and institutional affiliations. | 
© 2021 by the authors. Licensee MDPI, Basel, Switzerland. This article is an open access article distributed under the terms and conditions of the Creative Commons Attribution (CC BY) license (http://creativecommons.org/licenses/by/4.0/).
Share and Cite
Lvova, L.; Monti, D.; Natale, C.D.; Paolesse, R. The Long-Lasting Story of One Sensor Development: From Novel Ionophore Design toward the Sensor Selectivity Modeling and Lifetime Improvement. Sensors 2021, 21, 1401. https://doi.org/10.3390/s21041401
Lvova L, Monti D, Natale CD, Paolesse R. The Long-Lasting Story of One Sensor Development: From Novel Ionophore Design toward the Sensor Selectivity Modeling and Lifetime Improvement. Sensors. 2021; 21(4):1401. https://doi.org/10.3390/s21041401
Chicago/Turabian StyleLvova, Larisa, Donato Monti, Corrado Di Natale, and Roberto Paolesse. 2021. "The Long-Lasting Story of One Sensor Development: From Novel Ionophore Design toward the Sensor Selectivity Modeling and Lifetime Improvement" Sensors 21, no. 4: 1401. https://doi.org/10.3390/s21041401
APA StyleLvova, L., Monti, D., Natale, C. D., & Paolesse, R. (2021). The Long-Lasting Story of One Sensor Development: From Novel Ionophore Design toward the Sensor Selectivity Modeling and Lifetime Improvement. Sensors, 21(4), 1401. https://doi.org/10.3390/s21041401
 
         
                                                




 
       