An Improved Algorithm for Measuring Nitrate Concentrations in Seawater Based on Deep-Ultraviolet Spectrophotometry: A Case Study of the Aoshan Bay Seawater and Western Pacific Seawater
Abstract
1. Introduction
2. Materials and Methods
2.1. Main Elements in Seawater
2.2. Optical Measurement
2.2.1. Measurement Principle
2.2.2. Description of the Measurement System
- Light source
- 2.
- UV fiber splitter module
- 3.
- Temperature control module
- 4.
- Spectrometer
2.3. Model Establishment Method
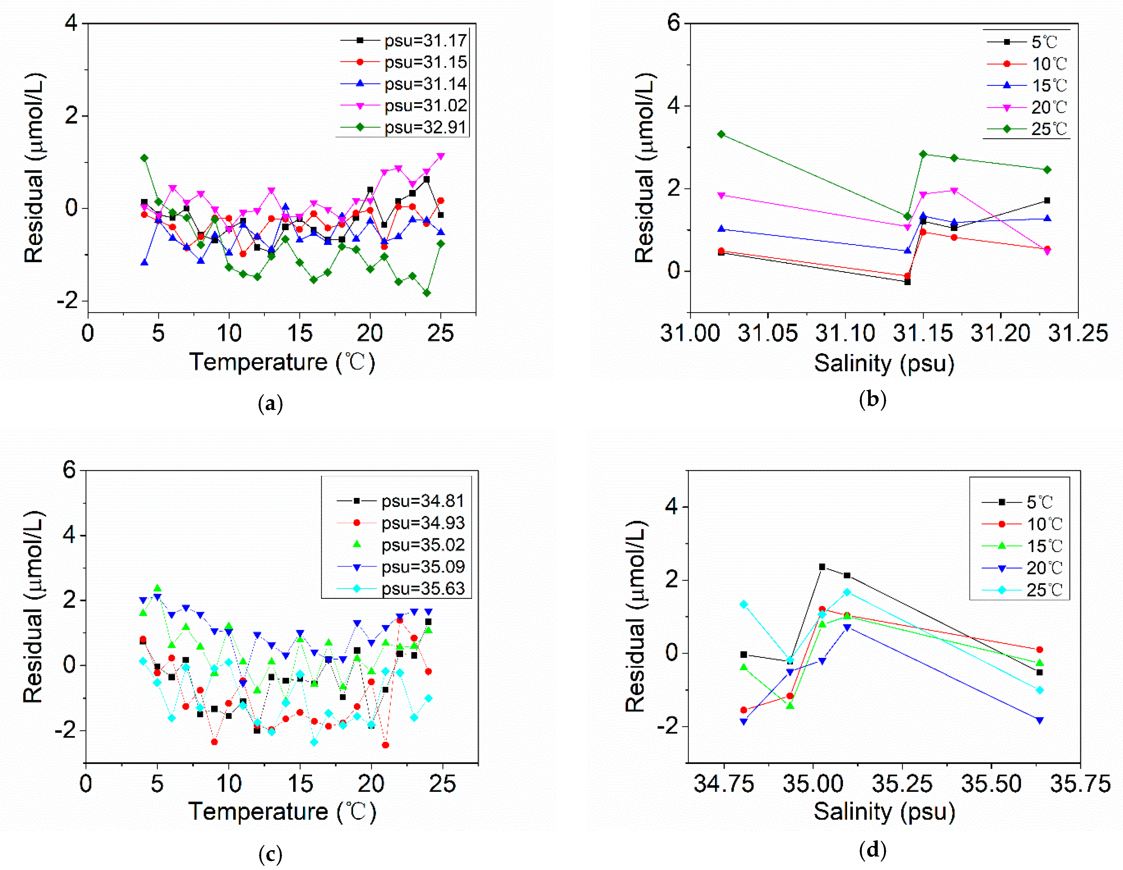
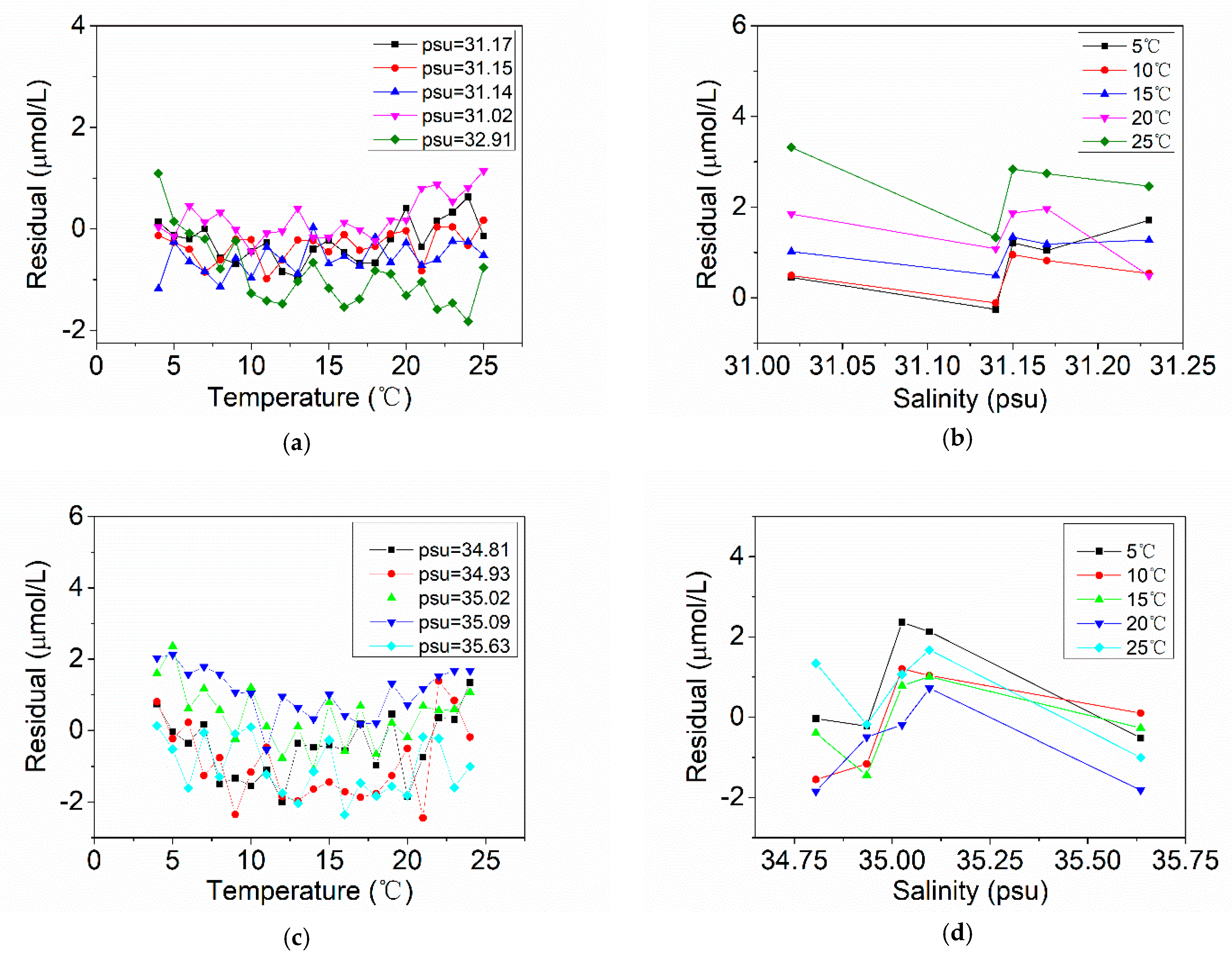
2.3.1. Temperature and Salinity Correction Algorithm
2.3.2. Weighted Average Kernel Partial Least Squares Algorithm
- Randomly initialize ;
- Repeat (2) to (4) steps until convergence;
- Calculate residual matrices of and , ;
2.4. Measurement Method
- (1)
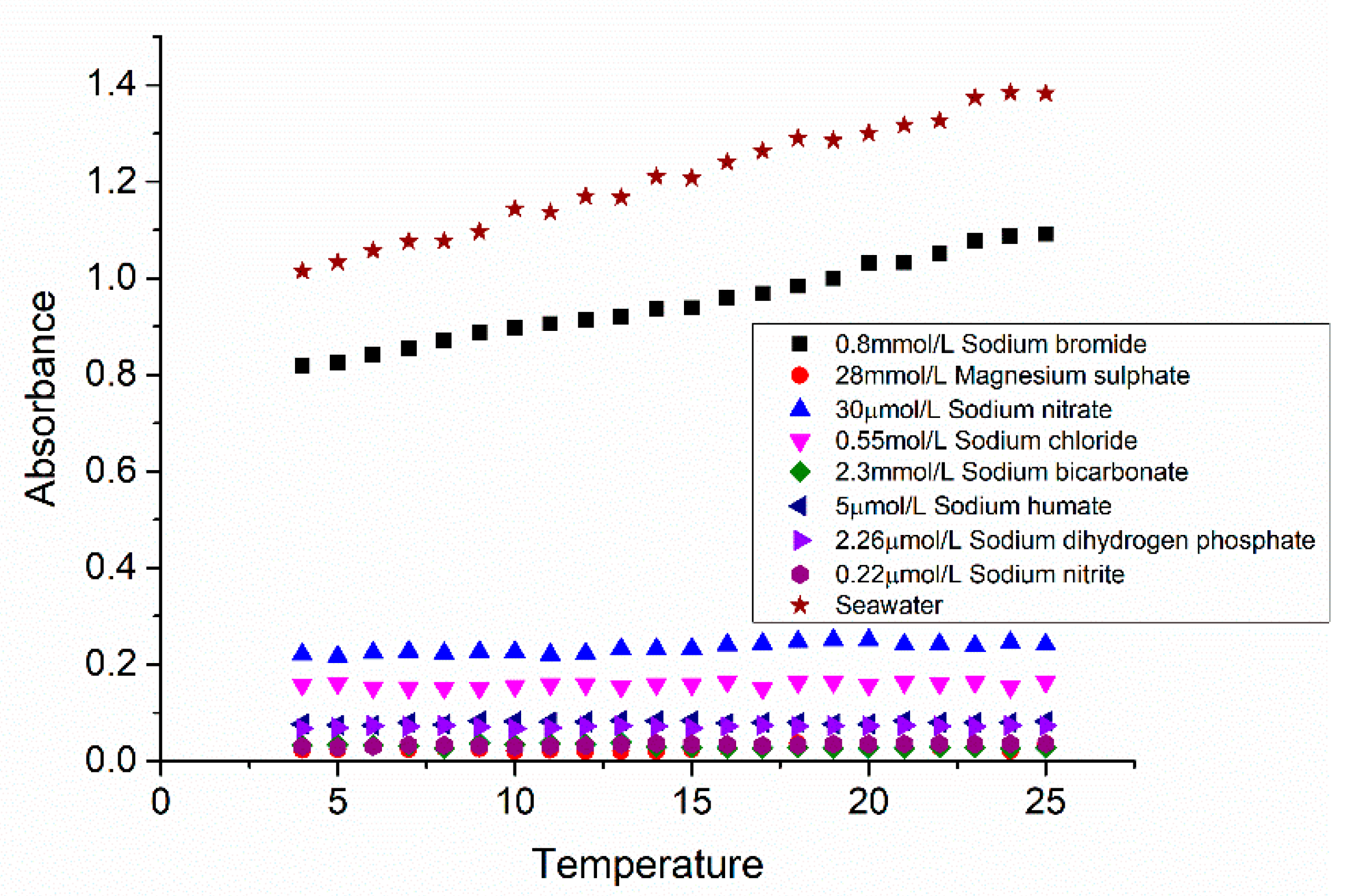
- A number of different artificial samples were created as follows to test the system sensitivity to different ions and to nitrate in seawater. To a basis of deionized water sodium chloride (0.55 mol/L), magnesium sulfate (28 mmol/L), sodium bicarbonate (2.3 mmol/L), sodium bromide (0.8 mmol/L), sodium nitrate (30 µmol/L), sodium humate (5 µmol/L), sodium dihydrogen phosphate (2.26 µmol/L), and sodium nitrite (0.22 µmol/L) were added [51]. The seawater from Western Pacific and Aoshan Bay, Qingdao of China were filtered using a 0.45 μm filter membrane. AutoAnalyzer 3 (SEAL, Germany) is used to measure the background nitrate concentration in Western Pacific and Aoshan Bay seawater. The background nitrate concentration in Western Pacific seawater is lower than 0.1 µmol/L. The background nitrate concentration in Aoshan Bay seawater is 1.59 µmol/L. Different concentrations of nitrate (0–100 µmol/L) in seawater were created with a basis of LNS and Aoshan Bay seawater. The LNS sample, Western Pacific seawater samples, and Aoshan Bay seawater samples were frozen at −20 °C in clean high-density polyethylene bottles. These seawater samples with different nitrate concentrations were finished measuring within 5 days.
- (2)
- Based on the designed system, the absorbance of the different solutions and of seawater samples was measured at different temperatures (4–25 °C at 1 °C intervals) to establish the temperature dependency of the measurements. All measurements were done after the temperature had stabilized. The results from these measurements were used to select the optimal wavelength range and establish the temperature and salinity correction model by the measurement data.
- (3)
- The LNS samples, Western Pacific seawater samples, and Aoshan Bay seawater samples with addition of nitrate concentrations were measured by the system. The nitrate calculation models based on different regression algorithms were established.
- (4)
- The nitrate concentrations in Western Pacific seawater samples and Aoshan Bay seawater samples were calculated and analyzed by using different regression algorithms.
3. Results
3.1. Influence of Ions and Temperature
3.2. A Nitrate Calculation Model Based on the WA-KPLS Algorithm with Temperature and Salinity Correction
3.3. Prediction Results for Aoshan Bay Seawater and Western Pacific Seawater
4. Discussion
Author Contributions
Funding
Institutional Review Board Statement
Informed Consent Statement
Data Availability Statement
Conflicts of Interest
References
- Tas, S. A prolonged red tide of Heterocapsa triquetra (Ehrenberg) F. Stein (Dinophyceae) and phytoplankton succession in a eutrophic estuary in Turkey. Mediterr. Mar. Sci. 2015, 16, 621–627. [Google Scholar] [CrossRef]
- Yoo, Y.D.; Seong, K.A.; Jeong, H.J.; Yih, W.; Rho, J.R.; Nam, S.W.; Kim, H.S. Mixotrophy in the marine red-tide cryptophyte Teleaulax amphioxeia and ingestion and grazing impact of cryptophytes on natural populations of bacteria in Korean coastal waters. Harmful Algae 2017, 68, 105–117. [Google Scholar] [CrossRef] [PubMed]
- Gruber, N.; Galloway, J.M. An Earth-system perspective of the global nitrogen cycle. Nature 2008, 451, 293–296. [Google Scholar] [CrossRef] [PubMed]
- Hoagland, P.; Jin, D.; Beet, A.; Kirkpatrick, B.; Reich, A.; Ullmann, S.; Fleming, L.E.; Kirkpatrick, G. The human health effects of Florida Red Tide (FRT) blooms: An expanded analysis. Environ. Int. 2014, 68, 144–153. [Google Scholar] [CrossRef] [PubMed]
- Liu, Q.; Zhao, B.; Li, R.; Wu, D.; Xu, D.; Cheng, C.; Zhao, S. Bacterial community structure in different functional sea areas of Zhoushan archipelago. Acta Microbiol. Sin. 2018, 58, 247–263. [Google Scholar]
- Gad-Andresen, K. A Method for quantitative determination of ammonia, nitrate and nitrite, together with other nitrogenous compounds, in seawater. ICES J. Mar. Sci. 1923, 82, 1–22. [Google Scholar] [CrossRef]
- Garside, C. A chemiluminescent technique for the determination of nanomolar concentrations of nitrate and nitrite in seawater. Mar. Chem. 1982, 11, 159–167. [Google Scholar] [CrossRef]
- Ogura, N.; Hanya, T. Nature of ultra-violet absorption in sea water. Nature 1966, 212, 758. [Google Scholar] [CrossRef]
- Wang, J.M.; Zhang, J.C.; Zhang, Z.J. Rapid Determination of Nitrate Nitrogen and Nitrite Nitrogen by Second Derivative Spectrophotometry. Spectrosc. Spect. Anal. 2019, 39, 161–165. [Google Scholar]
- Hossain, S.; Chow, C.W.; Hewa, G.A.; Cook, D.; Harris, M. Spectrophotometric Online Detection of Drinking Water Disinfectant: A Machine Learning Approach. Sensors 2020, 20, 6671. [Google Scholar] [CrossRef]
- Ouyang, K.X.; Pan, S.H.; Ruan, Y.F.; Zou, Y. Evaluation of uncertainty in the results of ultraviolet spectrophotometric determination of nitrate nitrogen in water. J. Kaili U 2019, 37, 44–47. [Google Scholar]
- Chen, X.W.; Yin, G.F.; Zhao, N.J.; Gan, T.T.; Yang, R.F.; Zhu, W.; Liu, J.G.; Liu, W.Q. Study on the determination of nitrate with UV first derivative spectrum under turbidity interference. Spectrosc. Spect. Anal. 2019, 39, 2912–2916. [Google Scholar]
- Kieber, R.J.; Seaton, P.J. Determination of subnanomolar concentrations of nitrite in natural waters. Anal. Chem. 1995, 67, 3261–3264. [Google Scholar] [CrossRef]
- Ren, Q.; Ji, X.; Zuo, Y.; Wan, L.; Ai, S.; Bian, D. Evaluation of Uncertainty in Analysis of Nitrite in Water by High Performance Liquid Chromatography. Adv. Mater. Res. 2013, 718-720, 863–867. [Google Scholar] [CrossRef]
- Wang, L.; Ou, L.; Huang, K.; Chai, C.; Wang, Z.; Wang, X.; Jiang, T. Determination of the spatial and temporal variability of phytoplankton community structure in Daya Bay via HPLC-CHEMTAX pigment analysis. Chin. J. Oceanol. Limnol. 2018, 36, 750–760. [Google Scholar] [CrossRef]
- Chen, J.; Ma, Q.; Wang, C.H.; Hu, X.; Gao, Y.; Wang, H.; Qin, D.; Lu, X. A Simple Fluorescence sensor for detecting of Nitrite (NO2-) in Real Samples using Water-dispersible Graphite-like Carbon Nitride (w-g-C3N4) Nanomaterials. New J. Chem. 2017, 41, 7171–7176. [Google Scholar] [CrossRef]
- Mikuška, P.; Večera, Z. Chemiluminescent flow-injection analysis of nitrates in water using on-line ultraviolet photolysis. Anal. Chim. Acta 2002, 474, 99–105. [Google Scholar] [CrossRef]
- Zong, Y.H.; Ge, W.W.; Zhao, M.; Wang, Z.H.; Yang, Z.Y.; Li, Y.L. Determination of nitrate nitrogen in water by hydrazine sulfate reduction method. Appl. Chem. Ind. 2019, 48, 1754–1757. [Google Scholar]
- Liu, S.M.; Altabet, M.A.; Zhao, L.; Larkum, J.; Song, G.D.; Zhang, G.L.; Jin, H.; Han, L.J. Tracing nitrogen biogeochemistry during the beginning of a spring phytoplankton bloom in the Yellow Sea using coupled nitrate nitrogen and oxygen isotope ratios. J. Geophys. Res. Biogeosci. 2017, 122, 2490–2508. [Google Scholar] [CrossRef]
- Kuban, P.; Engström, A.; Olsson, J.C.; Thorsen, G.; Tryzell, R.; Karlberg, B. New interface for coupling flow-injection and capillary electrophoresis. Anal. Chim. Acta 1997, 337, 117–124. [Google Scholar] [CrossRef]
- Johnson, K.S.; Beehler, C.L.; Sakamotoarnold, C.M. A submersible flow analysis system. Anal. Chim. Acta 1986, 179, 245–257. [Google Scholar] [CrossRef]
- Ŕužička, J.; Hansen, E. Flow injection analyses: Part I. A new concept of fast continuous flow analysis. Anal. Chim. Acta 1975, 78, 145–157. [Google Scholar] [CrossRef]
- Johnson, K.S.; Petty, R.L. Determination of nitrate and nitrite in seawater by flow injection analysis. Limnol. Oceanogr. 1983, 28, 1260–1266. [Google Scholar] [CrossRef]
- Gardolinski, P.C.F.C.; David, A.R.J.; Worsfold, P.J. Miniature flow injection analyser for laboratory, shipboard and in situ monitoring of nitrate in estuarine and coastal waters. Talanta 2002, 58, 1015–1027. [Google Scholar] [CrossRef]
- Thouron, D.; Vuillemin, R.; Philippon, X.; Loureno, A.; Provost, C.; Cruzado, A.; Garcon, V. An Autonomous Nutrient Analyzer for Oceanic Long-Term in Situ Biogeochemical Monitoring. Anal. Chem. 2003, 75, 2601–2609. [Google Scholar] [CrossRef] [PubMed]
- Beaton, A.D.; Cardwell, C.L.; Thomas, R.S.; Sieben, V.J.; Legiret, F.E.; Waugh, E.M.; Statham, P.J.; Mowlem, M.C.; Morgan, H. Lab-on-chip measurement of nitrate and nitrite for in situ analysis of natural waters. Environ. Sci. Technol. 2012, 46, 9548–9556. [Google Scholar] [CrossRef]
- Revsbech, N.P.; Nielsen, M.; Fapyane, D. Ion Selective Amperometric Biosensors for Environmental Analysis of Nitrate, Nitrite and Sulfate. Sensors 2020, 20, 4326. [Google Scholar] [CrossRef]
- Alahi, M.E.E.; Nag, A.; Mukhopadhyay, S.C.; Burkitt, L. A temperature-compensated graphene sensor for nitrate monitoring in real-time application. Sens. Actuators A Phys. 2018, 269, 79–90. [Google Scholar] [CrossRef]
- Charbaji, A.; Heidari-Bafroui, H.; Anagnostopoulos, C.; Faghri, M. A New Paper-Based Microfluidic Device for Improved Detection of Nitrate in Water. Sensors 2021, 21, 102. [Google Scholar] [CrossRef]
- Johnson, K.S.; Plant, J.N.; Coletti, L.J.; Jannasch, H.W.; Sakamoto, C.M.; Riser, S.C.; Swift, D.D.; Williams, N.L.; Boss, E.; Haëntjens, N.; et al. Biogeochemical sensor performance in the SOCCOM profiling float array. J. Geophys. Res. Ocean. 2017, 122, 6416–6436. [Google Scholar] [CrossRef]
- Aubert, A.H.; Breuer, L. New seasonal shift in instream diurnal nitrate cycles identified by mining high-frequency data. PLoS ONE 2016, 11, e0153138. [Google Scholar] [CrossRef] [PubMed]
- Finch, M.S.; Hydes, D.J.; Clayson, C.H.; Weigl, B.; Dakin, J.; Gwilliam, P. A low power ultra violet spectrophotometer for measurement of nitrate in seawater: Introduction, calibration and initial sea trials. Anal. Chim. Acta 1998, 377, 167–177. [Google Scholar] [CrossRef]
- Johnson, K.S.; Coletti, L.J. In situ ultraviolet spectrophotometry for high resolution and long-term monitoring of nitrate, bromide and bisulfide in the ocean. Deep Sea Res. Part I Oceanogr. Res. Pap. 2002, 49, 1291–1305. [Google Scholar] [CrossRef]
- MacDonald, G.; Levison, J.; Parker, B. On methods for in-well nitrate monitoring using optical sensors. Ground Water Monit. Remediat. 2017, 37, 60–70. [Google Scholar] [CrossRef]
- Pan, J.; Yu, F.; Ren, Q.; Wei, C.J.; Li, J. Reliability analysis of spatial and temporal nitrate variations estimated by SUNA in the South Yellow Sea. Mar. Sci. 2017, 41, 9–16. [Google Scholar]
- Mullaney, J.R.; Martin, J.W.; Morrison, J. Nitrogen concentrations and loads for the Connecticut River at Middle Haddam, Connecticut, computed with the use of autosampling and continuous measurements of water quality for water years 2009 to 2014. U.S. Geol. Surv. Sci. Investig. Rep. 2018, 5006, 1–22. [Google Scholar]
- Sakamoto, C.M.; Johnson, K.S.; Coletti, L.J. Improved algorithm for the computation of nitrate concentrations in seawater using an in situ ultraviolet spectrophotometer. Limnol. Oceanogr. Meth. 2009, 7, 132–143. [Google Scholar] [CrossRef]
- Poornima, D.; Shanthi, R.; Ranith, R.P.; Senthilnathan, L.; Sarangi, R.K.; Thangaradjou, T.; Chauhan, P. Application of in-situ sensors (SUNA and thermal logger) in fine tuning the nitrate model of the Bay of Bengal. Remote Sens. Appl. Soc. Environ. 2016, 4, 9–17. [Google Scholar] [CrossRef]
- Snazelle, T.T. Results from Laboratory and Field Testing of Nitrate Measuring Spectrophotometers; U.S. Geological Survey Open-File Report; US Geological Survey: Reston, VA, USA, 2015; Volume 1065, pp. 1–35.
- Chen, R.F.; Bada, J.L. The fluorescence of dissolved organic matter in seawater. Mar. Chem. 1992, 37, 191–221. [Google Scholar] [CrossRef]
- Mccarthy, M.; Hedges, J.; Benner, R. Major biochemical composition of dissolved high molecular weight organic matter in seawater. Mar. Chem. 1996, 55, 281–297. [Google Scholar] [CrossRef]
- Longnecker, K. Dissolved organic matter in newly formed sea ice and surface seawater. Geochim. Cosmochim. Acta 2015, 171, 39–49. [Google Scholar] [CrossRef]
- Brogi, S.R.; Ha, S.Y.; Kim, K.; Derrien, M.; Lee, Y.K.; Hur, J. Optical and molecular characterization of dissolved organic matter (DOM) in the Arctic ice core and the underlying seawater (Cambridge Bay, Canada): Implication for increased autochthonous DOM during ice melting. Sci. Total Environ. 2018, 627, 802–811. [Google Scholar] [CrossRef] [PubMed]
- Noto, V.D.; Mecozzi, M. Determination of Seawater Salinity by Ultraviolet Spectroscopic Measurements. Appl. Spectrosc. 1997, 51, 1294–1302. [Google Scholar] [CrossRef]
- Zielinski, O.; Voß, D.; Saworski, B.; Fiedler, B.; Körtzinger, A. Computation of nitrate concentrations in turbid coastal waters using an in situ ultraviolet spectrophotometer. J. Sea Res. 2011, 65, 456–460. [Google Scholar] [CrossRef]
- Guenther, E.A.; Johnson, K.S.; Coale, K.H. Direct ultraviolet spectrophotometric determination of total sulfide and iodide in natural waters. Anal. Chem. 2001, 73, 3481–3487. [Google Scholar] [CrossRef]
- Hawkins, D.M. The problem of overfitting. J. Chem. Inf. Comput. Sci. 2004, 44, 1–12. [Google Scholar] [CrossRef]
- Zhang, M.H.; Xu, Q.S.; Massart, D.L. Averaged and weighted average partial least squares. Anal. Chim. Acta 2004, 504, 279–289. [Google Scholar] [CrossRef]
- Rosipal, R.; Trejo, L.J. Kernel Partial Least Squares Regression in Reproducing Kernel Hilbert Space. J. Mach. Learn. Res. 2002, 2, 97–123. [Google Scholar]
- Schapire, R.E. The strength of weak learnability. Mach. Learn. 1990, 5, 197–227. [Google Scholar] [CrossRef]
- Millero, F.J.; Feistel, R.; Wright, D.G.; McDougall, T.J. The composition of Standard Seawater and the definition of the Reference-Composition Salinity Scale. Deep Sea Res. Part I Oceanogr. Res. Pap. 2008, 55, 50–72. [Google Scholar] [CrossRef]
- Meyer, D.; Prien, R.D.; Rautmann, L.; Pallentin, M.; Waniek, J.J.; Schulz-Bull, D.E. In situ Determination of Nitrate and Hydrogen Sulfide in the Baltic Sea Using an Ultraviolet Spectrophotometer. Front. Mar. Sci. 2018, 5, 1–10. [Google Scholar] [CrossRef]
- Jortner, J.; Ottolenghi, M.; Stein, G. On the Photochemistry of Aqueous Solutions of Chloride, Bromide, and Iodide Ions. J. Phys. Chem. 1964, 68, 247–255. [Google Scholar] [CrossRef]
- Mack, J.; Bolton, J.R. Photochemistry of nitrite and nitrate in aqueous solution: A review. J. Photochem. Photobiol. A Chem. 1999, 128, 1–13. [Google Scholar] [CrossRef]
- Zielinski, O.; Fiedler, B.; Heuermann, R.; Kortzinger, A.; Munderloh, K. A new nitrate continuous observation sensor for autonomous sub-surface applications: Technical design and first results. In Proceedings of the Oceans IEEE 2007, Aberdeen, UK, 18–21 June 2007; pp. 1–4. [Google Scholar]
- Morris, A.W.; Riley, J.P. The bromide/chlorinity and sulphate/chlorinity ratio in sea water. Deep-Sea Res. Part I Oceanogr. Res. Pap. 1996, 13, 699–705. [Google Scholar] [CrossRef]
- Frank, C.; Meier, D.; Voß, D.; Zielinski, O. Computation of nitrate concentrations in coastal waters using an in situ ultraviolet spectrophotometer: Behavior of different computation methods in a case study a steep salinity gradient in the southern North Sea. Methods Oceanogr. 2014, 9, 34–43. [Google Scholar] [CrossRef]













| Component | Parameter | Description |
|---|---|---|
| Light source | Type | Deuterium lamp (DH-2000-DUV) |
| Power consumption | 585 µW | |
| Lifetime | 1000 h | |
| Output wavelength | 190 nm–400 nm | |
| Output stability | Less than 5 × 10−6 peak to peak (0.1–10.0 Hz) | |
| Output drift | Less than 0.01% per hour | |
| UV spectrometer | Wavelength range | 200 nm–385 nm |
| Optical resolution | 0.4 nm | |
| Entrance slit | 10 µm | |
| Grating | GRATING_#H48 | |
| Dark noise | 2.5 counts RMS | |
| Signal to noise ratio | 1000:1 (single acquisition) | |
| Thermal stability | 0.01 pixels/°C |
| Sample | Algorithm Model | RMSEP (µmol/L) | Error Range (µmol/L) | R2 |
|---|---|---|---|---|
| Aoshan Bay seawater | TSC-WA-KPLS | 0.67 | [−1.86, 1.53] | 0.9996 |
| TSC-MLR | 1.10 | [−3.06, 2.72] | 0.9989 | |
| ISUS | 1.75 | [−4.47, 5.16] | 0.9971 | |
| Western Pacific seawater | TSC-WA-KPLS | 1.08 | [−3.00, 3.17] | 0.9987 |
| TSC-MLR | 1.72 | [−4.01, 3.58] | 0.9967 | |
| ISUS | 1.36 | [−3.22, 2.81] | 0.9980 |
Publisher’s Note: MDPI stays neutral with regard to jurisdictional claims in published maps and institutional affiliations. |
© 2021 by the authors. Licensee MDPI, Basel, Switzerland. This article is an open access article distributed under the terms and conditions of the Creative Commons Attribution (CC BY) license (http://creativecommons.org/licenses/by/4.0/).
Share and Cite
Zhu, X.; Yu, K.; Zhu, X.; Su, J.; Wu, C. An Improved Algorithm for Measuring Nitrate Concentrations in Seawater Based on Deep-Ultraviolet Spectrophotometry: A Case Study of the Aoshan Bay Seawater and Western Pacific Seawater. Sensors 2021, 21, 965. https://doi.org/10.3390/s21030965
Zhu X, Yu K, Zhu X, Su J, Wu C. An Improved Algorithm for Measuring Nitrate Concentrations in Seawater Based on Deep-Ultraviolet Spectrophotometry: A Case Study of the Aoshan Bay Seawater and Western Pacific Seawater. Sensors. 2021; 21(3):965. https://doi.org/10.3390/s21030965
Chicago/Turabian StyleZhu, Xingyue, Kaixiong Yu, Xiaofan Zhu, Juan Su, and Chi Wu. 2021. "An Improved Algorithm for Measuring Nitrate Concentrations in Seawater Based on Deep-Ultraviolet Spectrophotometry: A Case Study of the Aoshan Bay Seawater and Western Pacific Seawater" Sensors 21, no. 3: 965. https://doi.org/10.3390/s21030965
APA StyleZhu, X., Yu, K., Zhu, X., Su, J., & Wu, C. (2021). An Improved Algorithm for Measuring Nitrate Concentrations in Seawater Based on Deep-Ultraviolet Spectrophotometry: A Case Study of the Aoshan Bay Seawater and Western Pacific Seawater. Sensors, 21(3), 965. https://doi.org/10.3390/s21030965

