Development of a Microwave Sensor for Solid and Liquid Substances Based on Closed Loop Resonator
Abstract
:1. Introduction
2. Sensor Design and Miniaturization
2.1. Resonators Design and Miniaturization
2.2. Experimental Assessment
3. Simulation Analysis of Parallel Stub (PS) Filter as Microwave Sensor
4. Experimental Validation of Parallel Stub (PS) as Microwave Sensor
4.1. Experimental Testing and Results Using PS Sensor in Food Samples
4.1.1. Senor Testing in Solid Samples
4.1.2. Senor Testing in Liquid Samples
4.2. Adulteration Sensing in Food Components
4.2.1. Adulteration Sensing in Turmeric
4.2.2. Adulteration Sensing in Ghee
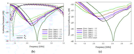
4.2.3. Adulteration Sensing in Honey
4.2.4. Adulteration Sensing in Milk
4.2.5. Adulteration Sensing in Sesame Oil
4.3. Analysis of Experimental Results and Comparisons
5. Conclusions
Author Contributions
Funding
Institutional Review Board Statement
Informed Consent Statement
Data Availability Statement
Acknowledgments
Conflicts of Interest
References
- Mulloni, V.; Donelli, M. Chipless RFID Sensors for the Internet of Things: Challenges and Opportunities. Sensors 2020, 20, 2135. [Google Scholar] [CrossRef] [PubMed] [Green Version]
- Razzo, A.; Donnell, K.M.; Lee, Y.S. Microwave and Millimeter-Wave Sensors, Systems, and Techniques for Electromagnetic Imaging and Materials Characterization. Int. J. Microw. Sci. Technol. 2012, 2012, 132136. [Google Scholar]
- Blakey, R.; Korostynska, O.; Mason, A.; Al-Shamma’a, A. Real-time microwave based sensing method for vegetable oil type verification. Procedia Eng. 2012, 47, 623–626. [Google Scholar] [CrossRef] [Green Version]
- Donelli, M.; Manekiya, M. Development of Environmental Long Range RFID sensors based on the modulated scattering technique. Electronics 2018, 7, 106. [Google Scholar] [CrossRef] [Green Version]
- Aiswarya, S.; Sreerag, C.; Aravind, A.; Menon, S.K. Microstrip multiple resonator assisted passive RFID tag for object tracking. In Proceedings of the 2017 2nd International Conference on Communication and Electronics Systems (ICCES), Coimbatore, India, 19–20 October 2017; pp. 752–756. [Google Scholar]
- Aiswarya, S.; Ranjith, M.; Menon, S.K. Passive RFID tag with multiple resonators for object tracking. In Proceedings of the 2017 Progress in Electromagnetics Research Symposium-Fall (PIERS-FALL), Singapore, 19–22 November 2017; pp. 742–746. [Google Scholar]
- Redzwan, S.; Velander, J.; Asan, N.B.; Perez, M.D.; Augustine, R. Assessment of Signal Transmission using Microwave Sensors for Health Monitoring Applications. In Proceedings of the 2018 IEEE International RF and Microwave Conference (RFM), Penang, Malaysia, 17–19 December 2018; pp. 215–218. [Google Scholar]
- Turgul, V.; Kale, I. A novel pressure sensing circuit for non-invasive RF/microwave blood glucose sensors. In Proceedings of the 2016 16th Mediterranean Microwave Symposium (MMS), Abu Dhabi, United Arab Emirates, 14–16 November 2016; pp. 1–4. [Google Scholar]
- Su, W.; Cook, B.S.; Tentzeris, M.M. Additively manufactured microfluidics-based “peel-and-replace” RF sensors for wearable applications. IEEE Trans. Microw. Theory Tech. 2016, 64, 1928–1936. [Google Scholar] [CrossRef]
- Chen, W.T.; Mansour, R.R. Miniature gas sensor and sensor array with single-and dual-mode RF dielectric resonators. IEEE Trans. Microw. Theory Tech. 2018, 66, 3697–3704. [Google Scholar] [CrossRef]
- Cheng, H.; Ren, X.; Ebadi, S.; Chen, Y.; An, L.; Gong, X. Wireless passive temperature sensors using integrated cylindrical resonator/antenna for harsh-environment applications. IEEE Sens. J. 2014, 15, 1453–1462. [Google Scholar] [CrossRef]
- Cheng, H.; Ebadi, S.; Gong, X. A Low-Profile Wireless Passive Temperature Sensor Using Resonator/Antenna Integration Up to 1000 °C. IEEE Antennas Wirel. Propag. Lett. 2012, 11, 369–372. [Google Scholar]
- Chen, W.T.; Mansour, R.R. RF humidity sensor implemented with PEI-coated compact microstrip resonant cell. In Proceedings of the 2017 IEEE MTT-S International Microwave Workshop Series on Advanced Materials and Processes for RF and THz Applications (IMWS-AMP), Pavia, Italy, 20–22 September 2017; pp. 1–3. [Google Scholar]
- Menon, K.A.; Pranav, S.; Govind, S.; Madhu, Y. RF Sensor for Food Adulteration Detection. Prog. Electromagn. Res. Lett. 2020, 93, 137–142. [Google Scholar] [CrossRef]
- Vinod, A.; Aiswarya, S.; Meenu, L.; Menon, S.K. Design and analysis of planar resonators for wireless communication. In Proceedings of the 2020 5th International Conference on Communication and Electronics Systems (ICCES), Coimbatore, India, 10–12 June 2020; pp. 375–380. [Google Scholar]
- Farah, S.; Benachenhou, A.; Neveux, G.; Barataud, D. Design of a flexible architecture for characterization of active and passive microwave devices (patch antenna, filters, couplers and amplifier stage) in a remote laboratory. In Proceedings of the 2013 IEEE Global Engineering Education Conference (EDUCON), Berlin, Germany, 13–15 March 2013; pp. 847–853. [Google Scholar] [CrossRef]
- Abeesh, T.; Jayakumar, M. Design and studies on dielectric resonator on-chip antennas for millimeter wave wireless applications. In Proceedings of the 2011 International Conference on Signal Processing, Communication, Computing and Networking Technologies, Thuckalay, India, 21–22 July 2011; pp. 322–325. [Google Scholar] [CrossRef]
- Donelli, M.; Menon, S.; Kumar, A. Compact antennas for modern communication systems. Int. J. Antennas Propag. 2020, 2020, 6903268. [Google Scholar] [CrossRef] [Green Version]
- Chen, Z.; Li, K.; Qu, D.; Zhong, X.; Sun, L.; Ma, W. A novel microstrip absorptive bandstop filter. In Proceedings of the 2017 IEEE 2nd Advanced Information Technology, Electronic and Automation Control Conference (IAEAC), Chongqing, China, 25–26 March 2017; pp. 951–954. [Google Scholar] [CrossRef]
- Kulkarni, M.G.; Cheeran, A.N.; Ray, K.P.; Kakatkar, S.S. Design of a novel CPW filter using asymmetric DGS. In Proceedings of the 2016 International Symposium on Antennas and Propagation (APSYM), Cochin, India, 15–17 December 2016; pp. 1–4. [Google Scholar] [CrossRef]
- Menon, S.K.; Donelli, M. Compact CPW filter with modified signal line. In Proceedings of the 2017 IEEE Applied Electromagnetics Conference (AEMC), Aurangabad, India, 19–22 December 2017; pp. 1–2. [Google Scholar] [CrossRef]
- Chu, P.; Hong, W.; Zheng, K.L.; Yang, W.W.; Xu, F.; Wu, K. Balanced hybrid SIW–CPW bandpass filter. Electron. Lett. 2017, 53, 1653–1655. [Google Scholar] [CrossRef]
- Lee, T.H.; Laurin, J.J.; Wu, K. Reconfigurable filter for bandpass-to-absorptive bandstop responses. IEEE Access 2020, 8, 6484–6495. [Google Scholar] [CrossRef]
- Chen, S.; Shi, L.; Liu, G.; Xun, J. An Alternate Circuit for Narrow-Bandpass Elliptic Microstrip Filter Design. IEEE Microw. Wirel. Components Lett. 2017, 27, 624–626. [Google Scholar] [CrossRef]
- Dabhi, V.; Dwivedi, V.V. Analytical study and realization of microstrip parallel coupled bandpass filter at 2 GHz. In Proceedings of the 2016 International Conference on Communication and Electronics Systems (ICCES), Coimbatore, India, 21–22 October 2016; pp. 1–4. [Google Scholar] [CrossRef]
- Ebrahimi, A.; Withayachumnankul, W.; Al-Sarawi, S.F.; Abbott, D. Compact dual-mode wideband filter based on complementary split-ring resonator. IEEE Microw. Wirel. Components Lett. 2013, 24, 152–154. [Google Scholar] [CrossRef] [Green Version]
- Babu, N.C.; Menon, S.K. Design of a Open loop resonator based filter Antenna for WiFi applications. In Proceedings of the 2016 3rd International Conference on Signal Processing and Integrated Networks (SPIN), Noida, India, 11–12 February 2016; pp. 236–239. [Google Scholar]
- Alyahya, M.; Aseeri, M.; Bukhari, H.; Shaman, H.; Alhamrani, A.; Affandi, A. Compact microstrip lowpass filter with ultra-wide rejection-band. In Proceedings of the 2017 International Conference on Wireless Technologies, Embedded and Intelligent Systems (WITS), Fez, Morocco, 19–20 April 2017; pp. 1–4. [Google Scholar] [CrossRef]
- Cousik, T.S.; Pillai, H.; Jayakumar, M. Dependence of radius of cylindrical ground plane on the performance of coplanar based microstrip patch. In Proceedings of the 2015 International Conference on Advances in Computing, Communications and Informatics (ICACCI), Kochi, India, 10–13 August 2015; pp. 675–679. [Google Scholar] [CrossRef]
- Liu, Q.; Yu, C.; Wu, X.; Wang, S.; Zhang, Z. A novel design of dual-band microstrip filter antenna. In Proceedings of the 2016 IEEE Advanced Information Management, Communicates, Electronic and Automation Control Conference (IMCEC), Xi’an, China, 3–5 October 2016; pp. 1573–1576. [Google Scholar] [CrossRef]
- Snyder, R.V. Evolution of passive and active microwave filters. In Proceedings of the 2012 IEEE/MTT-S International Microwave Symposium Digest, Montreal, QC, Canada, 17–22 June 2012; pp. 1–3. [Google Scholar] [CrossRef]
- Zhou, J.; Zhang, G.; Lancaster, M.J. Passive microwave filter tuning using bond wires. IET Microwaves Antennas Propag. 2007, 11, 567–571. [Google Scholar] [CrossRef]
- Lekshmy, B.S.; Lalu, G.; Narayanan, G.; Menon, S.K. Analysis of dual-band hairpin resonator filter. In Proceedings of the 2015 2nd International Conference on Signal Processing and Integrated Networks (SPIN), Noida, India, 19–20 February 2015; pp. 655–658. [Google Scholar] [CrossRef]
- Lu, H.; Xie, T.; Huang, J.; Yuan, N.; Li, Q. Design of compact dual-mode bandpass filter based on a new fractal resonator. In Proceedings of the 2017 7th IEEE International Symposium on Microwave, Antenna, Propagation, and EMC Technologies (MAPE), Xi’an, China, 24–27 October 2017; pp. 360–364. [Google Scholar] [CrossRef]
- Bhandal, A.S.; Young, B. Improving high-speed SerDes performance using passive microwave filters along package traces. In Proceedings of the 19th Topical Meeting on Electrical Performance of Electronic Packaging and Systems, Austin, TX, USA, 25–27 October 2010; pp. 241–244. [Google Scholar] [CrossRef]
- Zhang, Z.; Liao, X. Micromachined Passive Bandpass Filters Based on GaAs Monolithic-Microwave-Integrated-Circuit Technology. IEEE Trans. Electron Devices 2012, 60, 221–228. [Google Scholar] [CrossRef]
- Alahnomi, R.A.; Zakaria, Z.; Yussof, Z.M.; Althuwayb, A.A.; Alhegazi, A.; Alsariera, H.; Rahman, N.A. Review of Recent Microwave Planar Resonator-Based Sensors: Techniques of Complex Permittivity Extraction, Applications, Open Challenges and Future Research Directions. Sensors 2021, 21, 2267. [Google Scholar] [CrossRef]
- Qiang, T.; Wang, C.; Kim, N.Y. Quantitative detection of glucose level based on radiofrequency patch biosensor combined with volume-fixed structures. Biosens. Bioelectron. 2017, 98, 357–363. [Google Scholar] [CrossRef]
- Choi, H.; Naylon, J.; Luzio, S.; Beutler, J.; Birchall, J.; Martin, C.; Porch, A. Design and in vitro interference test of microwave noninvasive blood glucose monitoring sensor. IEEE Trans. Microw. Theory Tech. 2015, 63, 3016–3025. [Google Scholar] [CrossRef] [PubMed] [Green Version]
- Juan, C.G.; García, H.; Ávila-Navarro, E.; Bronchalo, E.; Galiano, V.; Moreno, Ó. Feasibility study of portable microwave microstrip open-loop resonator for non-invasive blood glucose level sensing: Proof of concept. Med Biol. Eng. Comput. 2019, 57, 2389–2405. [Google Scholar] [CrossRef]
- Omer, A.E.; Shaker, G.; Safavi-Naeini, S.; Kokabi, H.; Alquié, G.; Deshours, F.; Shubair, R.M. Low-cost portable microwave sensor for non-invasive monitoring of blood glucose level: Novel design utilizing a four-cell CSRR hexagonal configuration. Sci. Rep. 2020, 10, 15200. [Google Scholar] [CrossRef] [PubMed]
- Oliveira, J.G.; Junior, J.G.; Pinto, E.N.; Neto, V.P.; D’Assunção, A.G. A new planar microwave sensor for building materials complex permittivity characterization. Sensors 2020, 20, 6328. [Google Scholar] [CrossRef]
- Alahnomi, R.; Binti, N.; Hamid, A.; Zakaria, Z.; Sutikno, T.; Azuan, A. Microwave planar sensor for permittivity determination of dielectric materials. Indones. J. Electr. Eng. Comput. Sci. 2018, 11, 362–371. [Google Scholar] [CrossRef]
- Cavalcanti, P.H.B.; Araujo, J.A.; Oliveira, M.R.; de Melo, M.T.; Coutinho, M.S.; da Silva, L.M.; Llamas-Garro, I. Planar Sensor for Material Characterization Based on the Sierpinski Fractal Curve. J. Sens. 2020, 2020, 8830596. [Google Scholar]
- Wiltshire, B.D.; Rafi, M.A.; Zarifi, M.H. Microwave resonator array with liquid metal selection for narrow band material sensing. Sci. Rep. 2021, 11, 8598. [Google Scholar] [CrossRef]
- Ansari, M.A.; Jha, A.K.; Akhter, Z.; Akhtar, M.J. Multi-band RF planar sensor using complementary split ring resonator for testing of dielectric materials. IEEE Sens. J. 2018, 18, 6596–6606. [Google Scholar] [CrossRef]
- Rajendran, J.; Menon, S.K.; Donelli, M. A Novel Liquid Adulteration Sensor Based on a Self Complementary Antenna. Prog. Electromagn. Res. C 2020, 103, 97–110. [Google Scholar] [CrossRef]
- Juan, C.G.; Potelon, B.; Quendo, C.; Bronchalo, E. Microwave Planar Resonant Solutions for Glucose Concentration Sensing: A Systematic Review. Appl. Sci. 2021, 11, 7018. [Google Scholar] [CrossRef]
- Tiwari, N.K.; Jha, A.K.; Singh, S.P.; Akhter, Z.; Varshney, P.K.; Akhtar, M.J. Generalized multimode SIW cavity-based sensor for retrieval of complex permittivity of materials. IEEE Trans. Microw. Theory Tech. 2018, 66, 3063–3072. [Google Scholar] [CrossRef]
- Aquino, A.; Juan, C.G.; Potelon, B.; Quendo, C. Dielectric permittivity sensor based on planar open-loop resonator. IEEE Sens. Lett. 2021, 5, 3500204. [Google Scholar] [CrossRef]
- Xu, Z.; Wang, Y.; Fang, S. Dielectric Characterization of Liquid Mixtures Using EIT-like Transmission Window. IEEE Sens. J. 2021, 21, 17859–17867. [Google Scholar] [CrossRef]
- Velez, P.; Grenier, K.; Mata-Contreras, J.; Dubuc, D.; Martín, F. Highly-sensitive microwave sensors based on open complementary split ring resonators (OCSRRs) for dielectric characterization and solute concentration measurement in liquids. IEEE Access 2018, 6, 48324–48338. [Google Scholar] [CrossRef]
- Chretiennot, T.; Dubuc, D.; Grenier, K. Microwave-based microfluidic sensor for non-destructive and quantitative glucose monitoring in aqueous solution. Sensors 2016, 16, 1733. [Google Scholar] [CrossRef] [PubMed] [Green Version]
- Juan, C.G.; Bronchalo, E.; Potelon, B.; Quendo, C.; Ávila-Navarro, E.; Sabater-Navarro, J.M. Concentration Measurement of Microliter-Volume Water–Glucose Solutions Using Q Factor of Microwave Sensors. IEEE Trans. Instrum. Meas. 2018, 68, 2621–2634. [Google Scholar] [CrossRef]
- Withayachumnankul, W.; Jaruwongrungsee, K.; Tuantranont, A.; Fumeaux, C.; Abbott, D. Metamaterial-based microfluidic sensor for dielectric characterization. Sensors Actuators A Phys. 2013, 189, 233–237. [Google Scholar] [CrossRef] [Green Version]
- Muñoz-Enano, J.; Coromina, J.; Vélez, P.; Su, L.; Gil, M.; Casacuberta, P.; Martín, F. Planar Phase-Variation Microwave Sensors for Material Characterization: A Review and Comparison of Various Approaches. Sensors 2021, 21, 1542. [Google Scholar] [CrossRef]
- Su, L.; Muñoz-Enano, J.; Vélez, P.; Gil-Barba, M.; Casacuberta, P.; Martin, F. Highly Sensitive Reflective-Mode Phase-Variation Permittivity Sensor Based on a Coplanar Waveguide Terminated With an Open Complementary Split Ring Resonator (OCSRR). IEEE Access 2021, 9, 27928–27944. [Google Scholar] [CrossRef]
- Juan, C.G.; Potelon, B.; Quendo, C.; Bronchalo, E.; Sabater-Navarro, J.M. Highly-sensitive glucose concentration sensor exploiting inter-resonators couplings. In Proceedings of the 2019 49th European Microwave Conference (EuMC), Paris, France, 1–3 October 2019; pp. 662–665. [Google Scholar]
- Herrera-Sepulveda, L.V.; Olvera-Cervantes, J.L.; Corona-Chavez, A.; Kaur, T. Sensor and methodology for determining dielectric constant using electrically coupled resonators. IEEE Microw. Wirel. Components Lett. 2019, 29, 626–628. [Google Scholar] [CrossRef]
- Armghan, A. Complementary Metaresonator Sensor with Dual Notch Resonance for Evaluation of Vegetable Oils in C and X Bands. Appl. Sci. 2021, 11, 5734. [Google Scholar] [CrossRef]
- Pozar, D. Microwave Engineering; John Wiley & Sons: New York, NY, USA, 1998. [Google Scholar]
- RO4000-RO4003C-RO4350B-RO4835 Laminates Data Sheet. Available online: https://www.rogerscorp.com/-/media/project/rogerscorp/documents/advanced-electronics-solutions/english/data-sheets/ro4000-laminates-ro4003c-and-ro4350b—data-sheet.pdf (accessed on 17 December 2018).
- Leite, A.S.; Virginia, S.; Quintal, S.; Tadini, C.C. Dielectric properties of infant formulae, human milk and whole low-fat cow milk relevant for microwave heating. Int. J. Food Eng. 2019, 15, 20180340. [Google Scholar] [CrossRef]
- Grove, T.T.; Masters, M.F.; Miers, R.E. Determining dielectric constants using a parallel plate capacitor. Am. J. Phys. 2005, 73, 52–56. [Google Scholar] [CrossRef] [Green Version]
- Varshney, P.K.; Sharma, A.; Akhtar, M.J. Exploration of adulteration in some food materials using high-sensitivity configuration of electric-LC resonator sensor. Int. J. Microw. Comput. Eng. 2020, 30, 22045. [Google Scholar] [CrossRef]
- Boybay, M.S.; Ramahi, O.M. Material characterization using complementary split-ring resonators. IEEE Trans. Instrum. Meas. 2012, 61, 3039–3046. [Google Scholar] [CrossRef]
- Seo, Y.; Memon, M.U.; Lim, S. Microfluidic eighth-mode substrate-integrated-waveguide antenna for compact ethanol chemical sensor application. IEEE Trans. Antennas Propag. 2016, 64, 3218–3222. [Google Scholar] [CrossRef]
- Jha, A.K.; Akhtar, M.J. Automated RF measurement system for detecting adulteration in edible fluids. In Proceedings of the 2013 IEEE Applied Electromagnetics Conference (AEMC), Bhubaneswar, India, 18–20 December 2013; pp. 1–2. [Google Scholar]
- Galindo-Romera, G.; Herraiz-Martínez, F.J.; Gil, M.; Martínez-Martínez, J.J.; Segovia-Vargas, D. Submersible printed split-ring resonator-based sensor for thin-film detection and permittivity characterization. IEEE Sens. J. 2016, 16, 3587–3596. [Google Scholar] [CrossRef]
- Vélez, P.; Su, L.; Grenier, K.; Mata-Contreras, J.; Dubuc, D.; Martín, F. Microwave microfluidic sensor based on a microstrip splitter/combiner configuration and split ring resonators (SRRs) for dielectric characterization of liquids. IEEE Sens. J. 2017, 17, 6589–6598. [Google Scholar] [CrossRef] [Green Version]
- Varshney, P.K.; Tiwari, N.K.; Akhtar, M.J. SIW cavity based compact RF sensor for testing of dielectrics and composites. In Proceedings of the 2016 IEEE MTT-S International Microwave and RF Conference (IMaRC), New Delhi, India, 5–9 December 2016; pp. 1–4. [Google Scholar]
- Karuppuswami, S.; Kaur, A.; Arangali, H.; Chahal, P.P. A hybrid magnetoelastic wireless sensor for detection of food adulteration. IEEE Sens. J. 2017, 17, 1706–1714. [Google Scholar] [CrossRef]
- Shafi, K.M.; Jha, A.K.; Akhtar, M.J. Improved planar resonant RF sensor for retrieval of permittivity and permeability of materials. IEEE Sens. J. 2017, 17, 5479–5486. [Google Scholar] [CrossRef]
- Singh, Y.; Ansari, M.T.; Raghuwanshi, S.K. Design and Development of Titanium Dioxide (TiO2)-Coated eFBG Sensor for the Detection of Petrochemicals Adulteration. IEEE Trans. Instrum. Meas. 2021, 70, 7002508. [Google Scholar] [CrossRef]
- Puspita, I.; Banurea, D.P.; Hidayati, R.N.; Irawati, N.; Marinah, M.; Hatta, A.M.; Kurniawan, F. Detection of Lard Adulteration in Olive Oil by Using Silica Optical Fiber. In Proceedings of the 2018 3rd International Seminar on Sensors, Instrumentation, Measurement and Metrology (ISSIMM), Depok, Indonesia, 4–5 December 2018; pp. 30–33. [Google Scholar]



































| SL. No. | Type | L [mm] | g [mm] | d [mm] |
|---|---|---|---|---|
| 1 | Perpendicular F1 | 40.00 | 4.16 | 2.00 |
| 2 | Parallel F2 | 37.80 | 4.00 | 2.00 |
| 3 | Perpendicular stub F3 | 37.80 | 8.00 | 7.00 |
| 4 | Parallel stub F4 | 21.00 | 2.00 | 12.50 |
| 5 | Perpendicular stub loop F5 | 28.00 | 8.00 | 23.90 |
| 6 | Parallel stub loop F6 | 22.10 | 2.00 | 18.10 |
| SL. No. | Type | [dB] | [dB] | BW [GHz] | L [mm] | Area [mm] |
|---|---|---|---|---|---|---|
| 1 | LC stub circuit | −0.20 | −40.0 | 1.000 | NA | NA |
| 2 | Open/short stub | −0.82 | −70.0 | 2.000 | NA | |
| 3 | Parallel F1 | −0.25 | −44.0 | 1.092 | ||
| 4 | Perpendicular F2 | −0.45 | −36.0 | 1.095 | ||
| 5 | Perpendicular stub F3 | −0.46 | −36.0 | 1.185 | ||
| 6 | Parallel stub F4 | −0.24 | −37.0 | 1.636 |
| SL. No. | Type | [dB] | [dB] | BW [GHz] | L [mm] | Area [mm] |
|---|---|---|---|---|---|---|
| 1 | LC stub circuit | −0.2 | −40.0 | 1.0 | NA | NA |
| 2 | Open/short stub | −1.3 | −12.0 | 1.0 | NA | |
| 3 | Perpendicular stub loop | −24.0 | −0.7 | 1.095 | ||
| 4 | Parallel stub loop | −25.0 | −0.55 | 1.394 |
| SL. No. | Filter Type | Performance | Substrate Characteristics | [GHz] | Bandwidth [GHz] | Area [mm] |
|---|---|---|---|---|---|---|
| 1 | Ref [19] | BSF | , h = 1.524 mm | 2.00 | 1.0 | NA |
| 2 | Ref [24] | BPF | , h = 1.0 mm | 2.45 | NA | 112 × 41 |
| 3 | Ref [25] | BPF | , h = 1.56 mm | 2.00 | 0.4 | 166 × 50 |
| 4 | Ref [26] | BPF | , h = 1.27 mm | 2.23 | 1.38 | 8.4 × 24.1 |
| 5 | Ref [27] | BPF | , h = 1.60 mm | 2.45 | 0.5 | NA |
| 6 | Filter 4 | BSF | , h = 1.60 mm | 2.48 | 1.5 | 35.0 × 35.0 |
| 7 | Filter 6 | BPF | , h = 1.60 mm | 2.48 | 1.5 | 36.1 × 36.1 |
| SL. No. | Parameter | BSF—Prototype 4 (PS) | BPF—Prototype 6 (PSL) |
|---|---|---|---|
| 1 | Simulation freq., [GHz] | 2.48 | 2.48 |
| 2 | Measured freq., [GHz] | 2.42 | 2.44 |
| 3 | Calculated freq., [GHz] | 2.34 | 2.37 |
| 4 | Area [mm] | 1225.0 | 1303.0 |
| 5 | Design equation |
| PS—Freq. [GHz] | PSL—Freq. [GHz] | |
|---|---|---|
| 1 | 2.4636 | 2.4848 |
| 5 | 2.1485 | 2.4545 |
| 10 | 1.9121 | 2.3939 |
| 15 | 1.7152 | 2.3330 |
| 20 | 1.5970 | 2.3030 |
| 25 | 1.4788 | 2.2424 |
| 30 | 1.4000 | 2.2121 |
| 35 | 1.3212 | 2.1515 |
| 40 | 1.2818 | 2.1212 |
| 45 | 1.2424 | 2.0606 |
| 50 | 1.1636 | 2.1212 |
| 55 | 1.1242 | 2.0000 |
| 60 | 1.0848 | 1.9677 |
| 70 | 1.0455 | 1.8788 |
| 80 | 0.9667 | 1.8182 |
| 90 | 0.9273 | 1.7576 |
| 100 | 0.8879 | 1.7273 |
| Sample | [GHz] | [dB] | [dB] | BW [GHz] | [m] | Phase [deg] | Q Factor |
|---|---|---|---|---|---|---|---|
| Turmeric Powder | 2.31 | −0.3 | −33.00 | 1.6620 | 0.1298 | 48.3560 | 44.67 |
| Red Chili Powder | 2.40 | −0.4 | −36.36 | 1.6781 | 0.1249 | 50.2672 | 65.77 |
| Dried Tea Leaves | 2.37 | −0.4 | −34.00 | 1.6750 | 0.1263 | 49.7208 | 50.12 |
| Tea Powder | 2.39 | −0.4 | −34.00 | 1.6711 | 0.1255 | 50.0097 | 50.12 |
| Pepper Powder | 2.38 | −0.4 | −34.00 | 1.6786 | 0.1255 | 50.0055 | 50.12 |
| Sensor without Sample | 2.42 | −0.3 | −39.60 | 1.6855 | 0.1239 | 50.6586 | 95.50 |
| Sample | [GHz] | [dB] | [dB] | BW [GHz] | [m] | Phase [deg] | Q Factor |
|---|---|---|---|---|---|---|---|
| Milk | 1.54 | −1.0 | −19.0 | 1.5860 | 0.1942 | 32.3252 | 8.91 |
| Ghee | 2.38 | −0.5 | −34.0 | 1.6962 | 0.1260 | 49.8045 | 50.12 |
| Honey | 1.97 | −1.4 | −17.0 | 1.7032 | 0.1521 | 41.2679 | 7.08 |
| Aloevera Juice | 1.47 | −1.3 | −19.0 | 1.5415 | 0.2034 | 30.8662 | 8.91 |
| Water | 1.97 | −1.0 | −28.0 | 1.4650 | 0.1523 | 41.2177 | 25.12 |
| Sensor without Sample | 2.42 | −0.3 | −39.6 | 1.6855 | 0.1239 | 50.6586 | 95.50 |
| Turmeric: Yellow Colour Ratio | [GHz] | [dB] | [dB] | BW [GHz] | [m] | Phase [deg] | Q Factor |
|---|---|---|---|---|---|---|---|
| 100%:0% (4:0) | 2.310 | −0.33 | −33 | 1.662 | 0.1298 | 48.3560 | 44.67 |
| 75%:25% (3:1) | 2.309 | −0.33 | −33 | 1.662 | 0.1299 | 48.3350 | 44.67 |
| 50%:50% (2:2) | 2.290 | −0.33 | −34 | 1.662 | 0.1310 | 47.9373 | 50.12 |
| 25%:75% (1:3) | 2.283 | −0.33 | −34 | 1.662 | 0.1313 | 47.7949 | 50.12 |
| 0%:100% (0:4) | 2.277 | −0.33 | −35 | 1.662 | 0.1317 | 47.6777 | 56.23 |
| Ghee:Dalda Ratio | [GHz] | [dB] | [dB] | BW [GHz] | [m] | Phase [deg] | Q Factor |
|---|---|---|---|---|---|---|---|
| 100%:0% (4:0) | 2.379 | −0.5 | −34 | 1.6962 | 0.1260 | 49.8045 | 50.12 |
| 75%:25% (3:1) | 2.360 | −0.5 | −34 | 1.6962 | 0.1271 | 49.4026 | 50.12 |
| 50%:50% (2:2) | 2.340 | −0.5 | −34 | 1.6962 | 0.1282 | 48.9840 | 50.12 |
| 25%:75% (1:3) | 2.330 | −0.5 | −34 | 1.6962 | 0.1287 | 48.7746 | 50.12 |
| 0%:100% (0:4) | 2.318 | −0.5 | −34 | 1.6962 | 0.1294 | 48.5234 | 50.12 |
| Honey:Jaggery Ratio | [GHz] | [dB] | [dB] | BW [GHz] | [m] | Phase [deg] | Q Factor |
|---|---|---|---|---|---|---|---|
| 100%:0% (4:0) | 1.971 | −1.4 | −17.00 | 1.7032 | 0.1521 | 41.2679 | 7.08 |
| 75%:25% (3:1) | 2.087 | −1.4 | −19.76 | 1.7135 | 0.1437 | 43.6878 | 9.73 |
| 50%:50% (2:2) | 2.147 | −1.4 | −21.28 | 1.7100 | 0.1397 | 44.9522 | 11.60 |
| 25%:75% (1:3) | 2.174 | −1.4 | −22.47 | 1.6855 | 0.1379 | 45.5174 | 13.29 |
| 0%:100% (0:4) | 2.228 | −1.4 | −23.76 | 1.6881 | 0.1346 | 46.6503 | 15.41 |
| Milk:Water Ratio | [GHz] | [dB] | [dB] | BW [GHz] | [m] | Phase [deg] | Q Factor |
|---|---|---|---|---|---|---|---|
| 100%:0% (4:0) | 1.544 | −1 | −19 | 1.586 | 0.1942 | 32.3252 | 8.91 |
| 75%:25% (3:1) | 1.688 | −1 | −22 | 1.550 | 0.1777 | 35.3396 | 12.59 |
| 50%:50% (2:2) | 1.790 | −1 | −24 | 1.510 | 0.1675 | 37.4706 | 15.85 |
| 25%:75% (1:3) | 1.826 | −1 | −26 | 1.510 | 0.1643 | 38.2158 | 19.95 |
| 0%:100% (0:4) | 1.969 | −1 | −28 | 1.465 | 0.1523 | 41.2177 | 25.11 |
| Sesame:Sunflower Ratio | [GHz] | [dB] | [dB] | BW [GHz] | [m] | Phase [deg] | Q Factor |
|---|---|---|---|---|---|---|---|
| 100%:0% (4:0) | 2.350 | 0.5 | −34.5 | 1.6863 | 0.1276 | 49.1933 | 53.80 |
| 75%:25% (3:1) | 2.368 | 0.5 | −35.3 | 1.6863 | 0.1266 | 49.5868 | 58.21 |
| 50%:50% (2:2) | 2.390 | 0.5 | −35.7 | 1.6863 | 0.1255 | 50.0306 | 60.96 |
| 25%:75% (1:3) | 2.408 | 0.5 | −36.0 | 1.6863 | 0.1245 | 50.4242 | 63.10 |
| 0%:100% (0:4) | 2.410 | 0.5 | −37.8 | 1.6863 | 0.1244 | 50.4493 | 77.62 |
| Sample Tested [g] | Frequency Shift, [GHz] | Dielectric Shift | Sensitivity [MHz] | Normalised Sensitivity [%] |
|---|---|---|---|---|
| Aluminium foil | 0.790 | 6.80 | 116 | 4.8 |
| Turmeric powder | 0.116 | 1.42 | 82 | 3.4 |
| Tea dried leaf | 0.030 | 2.66 | 11 | 0.47 |
| Tea leaf powder | 0.099 | 1.50 | 66 | 2.7 |
| Pepper | 0.018 | 2.66 | 6.8 | 0.3 |
| Red chilli | 0.012 | 2.92 | 4 | 0.2 |
| Ghee | 0.040 | 2.29 | 17.5 | 0.7 |
| Vegetable ghee | 0.170 | 0.42 | 409 | 17 |
| Honey | 0.436 | 2.37 | 184 | 7.6 |
| Milk | 0.880 | 17.15 | 51 | 2.1 |
| Water | 0.769 | 12.33 | 62 | 2.6 |
| Aloevera | 0.950 | 20.17 | 47 | 2 |
| Coconut oil | 0.100 | 1.79 | 56 | 2.3 |
| Palm oil | 0.090 | 1.95 | 46 | 2 |
| Sesame oil | 0.110 | 1.00 | 110 | 4.6 |
| Olive oil | 0.090 | 1.21 | 74 | 3.1 |
| Unloaded Resonant Frequency [GHz] | Frequency Shift [GHz] for Sample = 5 | Frequency Shift [GHz] for Sample = 10 | Frequency Shift [GHz] for Sample = 15 |
|---|---|---|---|
| 1.8 (L band) | 0.103 | 0.1939 | 0.2848 |
| 2.4 (S band) | 0.2515 | 0.4879 | 0.6848 |
| 5.2 (C band) | 0.6242 | 0.9273 | 1.2303 |
| Reference Number | Type of Sensor | Unloaded Resonance Frequency [GHz] | Sensitivity [MHz] | Tested Sample | Sample Size/ Quantity | Relative Sensitivity per g/L [48] |
|---|---|---|---|---|---|---|
| [65] | Rotated ELC | 3.9 | 136 | Flours | g | 0.05 |
| [66] | CSRR | 1.164 | 69 | Solid | - | 0.86 |
| [67] | SIW antenna | 4.69 | 4.6 | Ethanol | nL | 0.17 |
| [68] | Waveguide cavity | 2.4 | - | Edible Fluids | 3 mm | 0.08 |
| [69] | SRR | 1.84 | 56 | Oils | - | - |
| [70] | SRR | 0.87 | 0.79 | Ethanol | 5 × 5 mm | - |
| [71] | SIW cavity | 1.5134 | 8 | Solid | 8 × 8 mm | - |
| [72] | LC | 0.016 | - | Olive oil | 11 ml | - |
| [73] | IDC-SRR | 2.45 | 2.5 | Solid | 5 × 5 mm | |
| [74] | Bragg grating | - | 32.25 nm/RIU | Diesel | - | - |
| [74] | Bragg grating | - | 54.98 nm/RIU | Petrol | - | - |
| [75] | optical fiber | - | 1.1107 dBm | Olive oil | - | |
| This work | ELC | 2.42 | 116 | Aluminium foil | 50 g | 0.66 |
| This work | ELC | 2.42 | 82 | Turmeric powder | 50 g | 0.09 |
| This work | ELC | 2.42 | 11 | Tea dried leaf | 50 g | 0.02 |
| This work | ELC | 2.42 | 66 | Tea leaf powder | 50 g | 0.02 |
| This work | ELC | 2.42 | 6.8 | Pepper | 50 g | 0.08 |
| This work | ELC | 2.42 | 4 | Red chilli | 50 g | 0.01 |
| This work | ELC | 2.42 | 17.5 | Ghee | 50 L | 0.03 |
| This work | ELC | 2.42 | 184 | Honey | 50 L | 0.36 |
| This work | ELC | 2.42 | 51 | Milk | 50 L | 0.76 |
| This work | ELC | 2.42 | 62 | Water | 50 L | 0.64 |
| This work | ELC | 2.42 | 47 | Aloevera | 50 L | 0.79 |
| This work | ELC | 2.42 | 56 | Coconut oil | 50 L | 0.08 |
| This work | ELC | 2.42 | 409 | Vegetable ghee | 50 L | 0.14 |
| This work | ELC | 2.42 | 46 | Palm oil | 50 L | 0.07 |
| This work | ELC | 2.42 | 110 | Sesame oil | 50 L | 0.09 |
| This work | ELC | 2.42 | 74 | Olive oil | 50 L | 0.07 |
Publisher’s Note: MDPI stays neutral with regard to jurisdictional claims in published maps and institutional affiliations. |
© 2021 by the authors. Licensee MDPI, Basel, Switzerland. This article is an open access article distributed under the terms and conditions of the Creative Commons Attribution (CC BY) license (https://creativecommons.org/licenses/by/4.0/).
Share and Cite
S, A.; Menon, S.K.; Donelli, M.; L, M. Development of a Microwave Sensor for Solid and Liquid Substances Based on Closed Loop Resonator. Sensors 2021, 21, 8506. https://doi.org/10.3390/s21248506
S A, Menon SK, Donelli M, L M. Development of a Microwave Sensor for Solid and Liquid Substances Based on Closed Loop Resonator. Sensors. 2021; 21(24):8506. https://doi.org/10.3390/s21248506
Chicago/Turabian StyleS, Aiswarya, Sreedevi K. Menon, Massimo Donelli, and Meenu L. 2021. "Development of a Microwave Sensor for Solid and Liquid Substances Based on Closed Loop Resonator" Sensors 21, no. 24: 8506. https://doi.org/10.3390/s21248506
APA StyleS, A., Menon, S. K., Donelli, M., & L, M. (2021). Development of a Microwave Sensor for Solid and Liquid Substances Based on Closed Loop Resonator. Sensors, 21(24), 8506. https://doi.org/10.3390/s21248506

