Controlled Measurement Setup for Ultra-Wideband Dielectric Modeling of Muscle Tissue in 20–45 °C Temperature Range
Abstract
:1. Introduction
2. Materials and Methods
2.1. Porcine Muscle Samples and Sample Preparation Procedure
2.2. Controlled Measurement Setup for Dielectric Measurements of Biological Tissue
3. Measurements Results
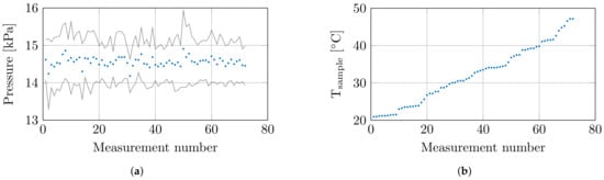
3.1. Stability of Controlled Measurement Setup
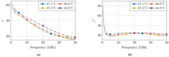
3.2. Dielectric Measurement Results of Muscle Tissue
4. Dielectric Tissue Modeling
5. Discussion on Measurement Improvements with Controlled Measurement Setup
6. Conclusions and Future Work
Author Contributions
Funding
Institutional Review Board Statement
Informed Consent Statement
Data Availability Statement
Acknowledgments
Conflicts of Interest
Abbreviations
| DIW | distilled water |
| EM | electromagnetic |
| IFBW | intermediate frequency bandwidth |
| ISM | industrial, scientific, and medical |
| IT’IS | foundation for research on information technologies in society |
| MINDER | minimum information for dielectric measurements of biological tissues [33] |
| PI | proportional-integral |
| PMMA | polymethylmethacrylate |
| RF | radiofrequency |
| RMSE | root mean square error |
| SHF | super-high frequency |
| VNA | vector network analyzer |
| UHF | ultra-high frequency |
References
- Schwan, H. Electrical properties of tissues and cell suspensions: Mechanisms and models. In Proceedings of the 16th Annual International Conference of the IEEE Engineering in Medicine and Biology Society, Baltimore, MD, USA, 3–6 November 1994; Volume 1, pp. A70–A71. [Google Scholar] [CrossRef]
- Grimnes, S.; Martinsen, Ø.G. Alpha-dispersion in human tissue. J. Phys. Conf. Ser. 2010, 224, 012073. [Google Scholar] [CrossRef]
- Schwarz, G. A theory of the low-frequency dielectric dispersion of colloidal particles in electrolyte solution. J. Phys. Chem. 1962, 66, 2636–2642. [Google Scholar] [CrossRef]
- Grosse, C.; Delgado, A. Dielectric dispersion in aqueous colloidal systems. Curr. Opin. Colloid Interface Sci. 2010, 15, 145–159. [Google Scholar] [CrossRef]
- Markx, G.H.; Davey, C.L.; Kell, D.B. To what extent is the magnitude of the Cole-Cole α of the β-dielectric dispersion of cell suspensions explicable in terms of the cell size distribution? J. Electroanal. Chem. Interfacial Electrochem. 1991, 320, 195–211. [Google Scholar] [CrossRef]
- Huang, W.H.; Chui, C.K.; Teoh, S.H.; Chang, S.K. A multiscale model for bioimpedance dispersion of liver tissue. IEEE Trans. Biomed. Eng. 2012, 59, 1593–1597. [Google Scholar] [CrossRef]
- Ellison, W.J. Permittivity of pure water, at standard atmospheric pressure, over the frequency range 0–25 THz and the temperature range 0–100 °C. J. Phys. Chem. Ref. Data 2007, 36, 1–18. [Google Scholar] [CrossRef]
- Smith, S.R.; Foster, K.R. Dielectric properties of low-water-content tissues. Phys. Med. Biol. 1985, 30, 965–973. [Google Scholar] [CrossRef] [PubMed] [Green Version]
- Etoz, S.; Brace, C.L. Development of water content dependent tissue dielectric property models. IEEE J. Electromagn. Microwaves Med. Biol. 2019, 3, 105–110. [Google Scholar] [CrossRef]
- Bockris, J.O.; Gileadi, E.; Müller, K. Dielectric relaxation in the electric double layer. J. Chem. Phys. 1966, 44, 1445–1456. [Google Scholar] [CrossRef]
- Greenebaum, B.; Barnes, F.S. Bioengineering and Biophysical Aspects of Electromagnetic Fields; Taylor & Francis: Londom, UK, 2019. [Google Scholar]
- Holder, D.S. Electrical Impedance Tomography: Methods, History and Applications; IoP Publishing: Bristol, UK, 2005. [Google Scholar]
- Krokidis, M.; Ahmed, I. Overview of thermal ablation devices: Radiofrequency ablation. In Interventional Radiology Techniques in Ablation; Clark, T., Sabharwal, T., Eds.; Springer: London, UK, 2013; pp. 5–11. [Google Scholar] [CrossRef]
- Chandra, R.; Zhou, H.; Balasingham, I.; Narayanan, R.M. On the opportunities and challenges in microwave medical sensing and imaging. IEEE Trans. Biomed. Eng. 2015, 62, 1667–1682. [Google Scholar] [CrossRef]
- Dickson, J.A.; Calderwood, S.K. Temperature range and selective sensitivity of tumors to hyperthermia: A critical review. Ann. N. Y. Acad. Sci. 1980, 335, 180–205. [Google Scholar] [CrossRef] [PubMed]
- Simon, C.J.; Dupuy, D.E.; Mayo-Smith, W.W. Microwave ablation: Principles and applications. RadioGraphics 2005, 25, S69–S83. [Google Scholar] [CrossRef] [PubMed]
- Gabriel, C.; Gabriel, S.; Corthout, E. The dielectric properties of biological tissues: I. literature survey. Phys. Med. Biol. 1996, 41, 2231–2249. [Google Scholar] [CrossRef] [PubMed] [Green Version]
- Gabriel, S.; Lau, R.W.; Gabriel, C. The dielectric properties of biological tissues: II. measurements in the frequency range 10 Hz to 20 GHz. Phys. Med. Biol. 1996, 41, 2251–2269. [Google Scholar] [CrossRef] [Green Version]
- Gabriel, S.; Lau, R.W.; Gabriel, C. The dielectric properties of biological tissues: III. parametric models for the dielectric spectrum of tissues. Phys. Med. Biol. 1996, 41, 2271–2293. [Google Scholar] [CrossRef] [Green Version]
- Hasgall, P.A.; F, D.; Baumgartner, C.; Neufeld, E.; Lloyd, B.; Gosselin, M.C.; Payne, D.; Klingenböck, A.; Kuster, N. IT’IS Database for Thermal and Electromagnetic Parameters of Biological Tissues. 2018. Available online: https://itis.swiss/virtual-population/tissue-properties/overview/ (accessed on 15 September 2021).
- Lazebnik, M.; Converse, M.C.; Booske, J.H.; Hagness, S.C. Ultrawideband temperature-dependent dielectric properties of animal liver tissue in the microwave frequency range. Phys. Med. Biol. 2006, 51, 1941–1955. [Google Scholar] [CrossRef] [Green Version]
- Peyman, A.; Rezazadeh, A.A.; Gabriel, C. Changes in the dielectric properties of rat tissue as a function of age at microwave frequencies. Phys. Med. Biol. 2001, 46, 1617–1629. [Google Scholar] [CrossRef]
- Abdilla, L.; Sammut, C.; Mangion, L.Z. Dielectric properties of muscle and liver from 500 MHz–40 GHz. Electromagn. Biol. Med. 2013, 32, 244–252. [Google Scholar] [CrossRef]
- Ley, S.; Schilling, S.; Fiser, O.; Vrba, J.; Sachs, J.; Helbig, M. Ultra-wideband temperature dependent dielectric spectroscopy of porcine tissue and blood in the microwave frequency range. Sensors 2019, 19, 1707. [Google Scholar] [CrossRef] [Green Version]
- Martinsen, O.G.; Grimnes, S.; Mirtaheri, P. Non-invasive measurements of post-mortem changes in dielectric properties of haddock muscle – a pilot study. J. Food Eng. 2000, 43, 189–192. [Google Scholar] [CrossRef]
- Sugitani, T.; Kubota, S.I.; Kuroki, S.I.; Sogo, K.; Arihiro, K.; Okada, M.; Kadoya, T.; Hide, M.; Oda, M.; Kikkawa, T. Complex permittivities of breast tumor tissues obtained from cancer surgeries. Appl. Phys. Lett. 2014, 104, 253702. [Google Scholar] [CrossRef]
- Porter, E.; O’Halloran, M. Investigation of histology region in dielectric measurements of heterogeneous tissues. IEEE Trans. Antennas Propag. 2017, 65, 5541–5552. [Google Scholar] [CrossRef] [Green Version]
- Shahzad, A.; Khan, S.; Jones, M.; Dwyer, R.M.; O’Halloran, M. Investigation of the effect of dehydration on tissue dielectric properties in ex vivo measurements. Biomed. Phys. Eng. Express 2017, 3, 045001. [Google Scholar] [CrossRef] [Green Version]
- Pollacco, D.A.; Farina, L.; Wismayer, P.S.; Farrugia, L.; Sammut, C.V. Characterization of the dielectric properties of biological tissues and their correlation to tissue hydration. IEEE Trans. Dielectr. Electr. Insul. 2018, 25, 2191–2197. [Google Scholar] [CrossRef]
- Maenhout, G.; Santorelli, A.; Porter, E.; Ocket, I.; Markovic, T.; Nauwelaers, B. Effect of dehydration on dielectric measurements of biological tissue as function of time. IEEE J. Electromagn. Microwaves Med. Biol. 2020, 4, 200–207. [Google Scholar] [CrossRef]
- Maenhout, G.; Markovic, T.; Ocket, I.; Nauwelaers, B. Effect of open-ended coaxial probe-to-tissue contact pressure on dielectric measurements. Sensors 2020, 20, 2060. [Google Scholar] [CrossRef] [PubMed] [Green Version]
- Hagl, D.; Popovic, D.; Hagness, S.; Booske, J.; Okoniewski, M. Sensing volume of open-ended coaxial probes for dielectric characterization of breast tissue at microwave frequencies. IEEE Trans. Microw. Theory Tech. 2003, 51, 1194–1206. [Google Scholar] [CrossRef] [Green Version]
- Porter, E.; La Gioia, A.; Salahuddin, S.; Decker, S.; Shahzad, A.; Elahi, M.A.; O’Halloran, M.; Beyan, O. Minimum information for dielectric measurements of biological tissues (MINDER): A framework for repeatable and reusable data. Int. J. Microw.-Comput.-Aided Eng. 2017, 28. [Google Scholar] [CrossRef] [Green Version]
- Bai, X.; Hou, J.; Wang, L.; Wang, M.; Wang, X.; Wu, C.; Yu, L.; Yang, J.; Leng, Y.; Sun, Y.; et al. Electrical impedance analysis of pork tissues during storage. J. Food Meas. Charact. 2017, 12, 164–172. [Google Scholar] [CrossRef]
- Savazzi, M.; Felicio, J.M.; Costa, J.R.; Fernandes, C.A.; Conceicao, R.C. Study of freezing and defrosting effects on complex permittivity of biological tissues. IEEE Antennas Wirel. Propag. Lett. 2021. [Google Scholar] [CrossRef]
- Martellosio, A.; Pasian, M.; Bozzi, M.; Perregrini, L.; Mazzanti, A.; Svelto, F.; Summers, P.E.; Renne, G.; Preda, L.; Bellomi, M. Dielectric properties characterization from 0.5 to 50 GHz of breast cancer tissues. IEEE Trans. Microw. Theory Tech. 2017, 65, 998–1011. [Google Scholar] [CrossRef]
- Bao, J.; Markovic, T.; Ocket, I.; Kil, D.; Brancato, L.; Puers, R.; Nauwelaers, B. Investigation of thermal effect caused by different input power of biosensor using a novel microwave and optical sensing system for biological liquids. In Proceedings of the 2017 First IEEE MTT-S International Microwave Bio Conference (IMBIOC), Gothenburg, Sweden, 15–17 May 2017; pp. 1–4. [Google Scholar] [CrossRef]
- Stogryn, A. Equations for calculating the dielectric constant of saline water (correspondence). IEEE Trans. Microw. Theory Tech. 1971, 19, 733–736. [Google Scholar] [CrossRef]
- Nörtemann, K.; Hilland, J.; Kaatze, U. Dielectric properties of aqueous NaCl solutions at microwave frequencies. J. Phys. Chem. A 1997, 101, 6864–6869. [Google Scholar] [CrossRef]
- Peyman, A.; Gabriel, C.; Grant, E. Complex permittivity of sodium chloride solutions at microwave frequencies. Bioelectromagnetics 2007, 28, 264–274. [Google Scholar] [CrossRef]
- La Gioia, A.; Porter, E.; Merunka, I.; Shahzad, A.; Salahuddin, S.; Jones, M.; O’Halloran, M. Open-ended coaxial probe technique for dielectric measurement of biological tissues: Challenges and common practices. Diagnostics 2018, 8, 40. [Google Scholar] [CrossRef] [PubMed] [Green Version]
- Cole, K.S.; Cole, R.H. Dispersion and absorption in dielectrics I. alternating current characteristics. J. Chem. Phys. 1941, 9, 341–351. [Google Scholar] [CrossRef] [Green Version]
- Jaspard, F.; Nadi, M. Dielectric properties of blood: An investigation of temperature dependence. Physiol. Meas. 2002, 23, 547–554. [Google Scholar] [CrossRef]
- Gabriel, C. Dielectric properties of biological tissue: Variation with age. Bioelectromagnetics 2005, 26, 12–18. [Google Scholar] [CrossRef]
- MATLAB Optimization Toolbox, Version 9.3—R2017b; The MathWorks: Natick, MA, USA, 2017.





) and second (
) order polynomial fit. The Cole–Cole parameters , , , , and are shown in (a), (b), (c), (d) and (e), respectively.
) and second (
) order polynomial fit. The Cole–Cole parameters , , , , and are shown in (a), (b), (c), (d) and (e), respectively.


| −0.0746 | 3.7529 | 0.6257 | 0.0022 | −0.2172 | 5.9668 | 0.6550 | |
| [S/m] | 0.0393 | 0.9585 | 0.5001 | 0.0005 | 0.0033 | 1.5166 | 0.5055 |
| −0.1545 | 59.7534 | 0.3852 | 0.0075 | −0.6453 | 67.3747 | 0.4351 | |
| [psec] | −0.1243 | 11.7765 | 0.9432 | 0.0025 | −0.2883 | 14.3239 | 0.9643 |
| α | −0.0014 | 0.1646 | 0.4924 | −4.77·10 | 0.0018 | 0.1159 | 0.5259 |
| Reference | [S/m] | [psec] | [nsec] | |||||
|---|---|---|---|---|---|---|---|---|
| S. Gabriel et al. [19] | 4.00 | 0.20 | 50.00 | 7.23 | 0.10 | 7000 | 353.68 | 0.10 |
| A. Peyman et al. [22] | 3.00 | 0.11 | 46.64 | 12.21 | 0.10 | - | - | - |
| L. Abdilla et al. [23] | 11.78 | 0.95 | 39.45 | 9.17 | 0.10 | - | - | - |
| S. Ley et al. [24] | 4.75 | 0.53 | 50.73 | 6.62 | 0.18 | 7000 | 311.03 | 0.18 |
| This work (37 °C) | 1.23 | 2.41 | 53.73 | 7.21 | 0.11 | - | - | - |
Publisher’s Note: MDPI stays neutral with regard to jurisdictional claims in published maps and institutional affiliations. |
© 2021 by the authors. Licensee MDPI, Basel, Switzerland. This article is an open access article distributed under the terms and conditions of the Creative Commons Attribution (CC BY) license (https://creativecommons.org/licenses/by/4.0/).
Share and Cite
Maenhout, G.; Markovic, T.; Nauwelaers, B. Controlled Measurement Setup for Ultra-Wideband Dielectric Modeling of Muscle Tissue in 20–45 °C Temperature Range. Sensors 2021, 21, 7644. https://doi.org/10.3390/s21227644
Maenhout G, Markovic T, Nauwelaers B. Controlled Measurement Setup for Ultra-Wideband Dielectric Modeling of Muscle Tissue in 20–45 °C Temperature Range. Sensors. 2021; 21(22):7644. https://doi.org/10.3390/s21227644
Chicago/Turabian StyleMaenhout, Gertjan, Tomislav Markovic, and Bart Nauwelaers. 2021. "Controlled Measurement Setup for Ultra-Wideband Dielectric Modeling of Muscle Tissue in 20–45 °C Temperature Range" Sensors 21, no. 22: 7644. https://doi.org/10.3390/s21227644
APA StyleMaenhout, G., Markovic, T., & Nauwelaers, B. (2021). Controlled Measurement Setup for Ultra-Wideband Dielectric Modeling of Muscle Tissue in 20–45 °C Temperature Range. Sensors, 21(22), 7644. https://doi.org/10.3390/s21227644

