Backscatter Assisted NOMA-PLNC Based Wireless Networks
Abstract
:1. Introduction
1.1. Motivation
1.2. Contributions
- proposal of low power 5G wireless network using NOMA and PLNC schemes with ambient backscattering.
- derivation for optimal power allocation to the near node and the far node with ABS.
- closed form expression for the end-to-end outage probability of the proposed wireless network with ABS.
- closed form expression for the end-to-end average BER of the proposed wireless network with ABS.
2. System Model
2.1. OMAC Phase
2.2. NOBC Phase
3. Power Optimization in Downlink NOMA
| Algorithm 1: Iterative Optimal Power Allocation [5]. |
| 1. |
| 2. set the stopping criterion’s and |
| 3. Let n = 1, and |
| 4. updates and according to (20) |
| 5. n = n + 1 repeat until convergence i.e., |
| 6. updates according to (24) and (25) |
| 7. Repeat until converge. |
| 8. |
4. Outage Probability Analysis
4.1. Uplink Outage Probability: An OMAC Link
4.2. Downlink Outage Probability: A NOBC Link
5. Bit Error Rate Analysis
5.1. Uplink—OMAC
5.2. Downlink—NOBC
- , ,
- , ,
- , .
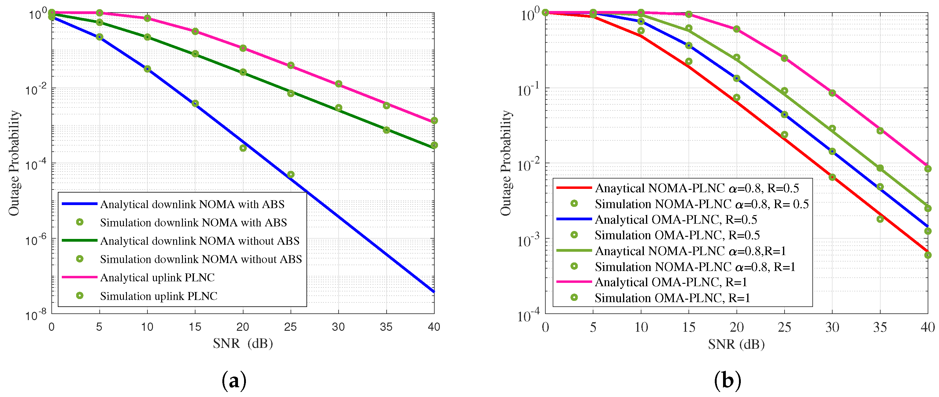
6. Numerical Results
7. Conclusions
Author Contributions
Funding
Institutional Review Board Statement
Informed Consent Statement
Data Availability Statement
Conflicts of Interest
Abbreviations
| 5GB | fifth generation and beyond |
| ABS | Ambient backscattering |
| AP | Access point |
| BER | Bir error rate |
| BPSK | Binary phase shift keying |
| DMT | Diversity and multiplexing tradeoff |
| ICI | Inter cell interference |
| IoT | Internet of Things |
| ML | Maximum likelihood |
| NOBC | Non-orthogonal broadcast channel |
| NOMA | Non-orthogonal multiple access techniques |
| OMAC | Orthogonal multiple access channel |
| PLNC | Physical layer network coding |
| SC | Superposition coding |
| SEP | Symbol error probability |
| SIC | Successive interference cancellation |
| SNR | Signal to noise ratio |
| SWIPT | Simultaneous wireless information and power transfer |
| TDMA | Time division multiple access |
| WiFi | Wireless Fidelity |
Appendix A
Appendix B
References
- Agiwal, M.; Roy, A.; Saxena, N. Next Generation 5G Wireless Networks A Comprehensive Survey. IEEE Commun. Surv. Tuts. 2016, 18, 1617–1655. [Google Scholar] [CrossRef]
- Dai, L.; Wang, B.; Yuan, Y.; Han, S.; Chih-Lin, I.; Wang, Z. Non-orthogonal multiple access for 5G: Solutions, challenges, opportunities, and future research trends. IEEE Commun. Mag. 2015, 53, 74–81. [Google Scholar] [CrossRef]
- Basnayake, V.; Jayakody, D.N.K.; Sharma, V.; Sharma, N.; Muthuchidambaranathan, P.; Mabed, H. A New Green Prospective of Non-orthogonal Multiple Access (NOMA) for 5G. Information 2020, 11, 89. [Google Scholar] [CrossRef] [Green Version]
- Riazul Islam, S.M.; Avazov, N.; Dobre, O.A.; Kwak, K.S. Power-Domain Non-Orthogonal Multiple Access (NOMA) in 5G Systems: Potentials and Challenges. IEEE Commun. Surv. Tuts. 2017, 19, 721–742. [Google Scholar] [CrossRef] [Green Version]
- Tang, J.; Luo, J.; Liu, M.; So, D.K.; Alsusa, E.; Chen, G.; Wong, K.-K.; Chambers, J.A. Energy Efficiency Optimization for NOMA with SWIPT. IEEE J. Sel. Topics Signal Process. 2019, 13, 452–466. [Google Scholar] [CrossRef] [Green Version]
- Zhu, J.; Wang, J.; Huang, Y.; He, S.; You, X.; Yang, L. On Optimal Power Allocation for Downlink Non-Orthogonal Multiple Access Systems. IEEE J. Sel. Areas Commun. 2017, 35, 2744–2757. [Google Scholar] [CrossRef] [Green Version]
- Al-Abbasi, Z.Q.; So, D.K.C. Resource Allocation in Non-Orthogonal and Hybrid Multiple Access System with Proportional Rate Constraint. IEEE Trans. Wireless Commun. 2017, 16, 6309–6320. [Google Scholar] [CrossRef] [Green Version]
- Salaün, L.; Coupechoux, M.; Chen, C.S. Weighted Sum-Rate Maximization in Multi-Carrier NOMA with AP Power Constraint. In Proceedings of the IEEE INFOCOM 2019—IEEE Conference on Computer Communications, Paris, France, 29 April–2 May 2019. [Google Scholar]
- Do, D.-T.; Le, A.-T.; Moo, B. NOMA in Cooperative Underlay Cognitive Radio Networks Under Imperfect SIC. IEEE Access 2020, 8, 86180–86195. [Google Scholar] [CrossRef]
- Do, D.-T.; Van Nguyen, M.-S.; Jameel, F.; Jäntti, R.; Ansari, I.S. Performance Evaluation of Relay-aided CR-NOMA for Beyond 5G Communications. IEEE Access 2020, 8, 134838–134855. [Google Scholar] [CrossRef]
- Do, D.-T.; Van Nguyen, M.-S.; Voznak, M.; Kwasinski, A.; de Souza, J.N. Performance Analysis of Clustering Car-Following V2X System with Wireless Power Transfer and Massive Connections. IEEE Internet Things J. Early Access 2021. [Google Scholar] [CrossRef]
- Zhang, S.; Liew, S.C.; Lam, P. Hot Topic: Physical Layer Network Coding; Proc. MobiCom.: Los Angeles, CA, USA, 2006; pp. 358–365. [Google Scholar]
- Chen, P.; Xie, Z.; Fang, Y.; Chen, Z.; Mumtaz, S.; Rodrigues, J.J. Physical-Layer Network Coding: An Efficient Technique for Wireless Communications. IEEE Netw. 2020, 34, 270–276. [Google Scholar] [CrossRef] [Green Version]
- Louie, R.H.Y.; Li, Y.; Vucetic, B. Performance Analysis of Physical Layer Network Coding in Two-Way Relay Channels. In Proceedings of the GLOBECOM 2009—2009 IEEE Global Telecommunications Conference, Honolulu, HI, USA, 30 November–4 December 2009. [Google Scholar]
- Fukui, H.; Popovski, P.; Yomo, H. Physical layer network coding: An outage analysis in cellular network. In Proceedings of the 22nd European Signal Processing Conference (EUSIPCO), Lisbon, Portugal, 1–5 September 2014. [Google Scholar]
- Velmurugan, P.G.S.; Nandhini, M.; Thiruvengadam, S.J. Full Duplex Relay Based Cognitive Radio System with Physical Layer Network Coding. Wireless Pers. Commun. 2014, 80, 1113–1130. [Google Scholar] [CrossRef]
- Yeen Ho, C.; Yen Leow, C. Cooperative Non-Orthogonal Multiple Access With Physical Layer Network Coding. IEEE Access 2019, 7, 44894–44902. [Google Scholar]
- Yue, X.; Liu, Y.; Kang, S.; Nallanathan, A.; Chen, Y. Modeling and Analysis of Two-Way Relay Non-Orthogonal Multiple Access Systems. IEEE Trans. Wireless Commun. 2018, 66, 3784–3796. [Google Scholar] [CrossRef] [Green Version]
- Van Huynh, N.; Hoang, D.T.; Lu, X.; Niyato, D.; Wang, P.; Kim, D.I. Ambient Backscatter Communications: A Contemporary Survey. IEEE Commun. Surv. Tuts. 2018, 20, 2889–2922. [Google Scholar] [CrossRef] [Green Version]
- Zhao, W.; Wang, G.; Atapattu, S.; Tellambura, C.; Guan, H. Outage Analysis of Ambient Backscatter Communication Systems. IEEE Commun. Lett. 2018, 22, 1736–1739. [Google Scholar] [CrossRef] [Green Version]
- Abedi, A.; Dehbashi, F.; Mazaheri, M.H.; Abari, O.; Brecht, T. WiTAG: Seamless WiFi Backscatter Communication. In Proceedings of the SIGCOMM’ 20, Virtual Event, 10–14 August 2020. [Google Scholar]
- Hessar, M.; Najafi, A.; Gollakota, S. NetScatter: Enabling Large-Scale Backscatter Networks. In Proceedings of the NSDI’ 19, Boston, MA, USA, 26–28 February 2019. [Google Scholar]
- Liu, X.; Chi, Z.; Wang, W.; Yao, Y.; Zhu, T. VMscatter: A Versatile MIMO Backscatter. In Proceedings of the NSDI’ 20, Santa Clara, CA, USA, 25–27 February 2020. [Google Scholar]
- Liu, X.; Chi, Z.; Wang, W.; Yao, Y.; Hao, P.; Zhu, T. Verification and Redesign of OFDM Backscatter. In Proceedings of the NSDI’ 21, Virtual Event, 1 April 2021. [Google Scholar]
- Chi, Z.; Liu, X.; Wang, W.; Yao, Y.; Zhu, T. Leveraging Ambient LTE Traffic for Ubiquitous Passive Communication. In Proceedings of the SIGCOMM’ 20, Virtual Event, 10–14 August 2020. [Google Scholar]
- Zhang, Q.; Zhang, L.; Liang, Y.-C.; Kam, P.Y. Backscatter-NOMA: An Integrated System of Cellular and Internet-of-Things Networks. In Proceedings of the ICC 2019—2019 IEEE International Conference on Communications (ICC), Shanghai, China, 20–24 May 2019. [Google Scholar]
- Chen, W.; Ding, H.; Wang, S.; da Costa, D.B.; Gong, F.; Nardelli, P.H.J. Backscatter Cooperation in NOMA Communications Systems. arXiv 2020, arXiv:2006.13646v1. [Google Scholar]
- Zeb, S.; Abbas, Q.; Hassan, S.A.; Mahmood, A.; Mumtaz, R.; Zaidi, S.H.; Zaidi, S.A.R.; Gidlund, M. NOMA Enhanced Backscatter Communication for Green IoT Networks. In Proceedings of the 16th International Symposium on Wireless Communication Systems (ISWCS), Oulu, Finland, 27–30 August 2019. [Google Scholar]
- Rauniyar, A.; Engelstad, P.E.; Østerbø, O.N. On the Performance of Bidirectional NOMA-SWIPT Enabled IoT Relay Networks. IEEE Sens. J. 2021, 21, 2299–2315. [Google Scholar] [CrossRef]
- Ju, M.C.; Kim, I.M. Error Performance Analysis of BPSK Modulation in Physical-Layer Network-Coded Bidirectional Relay Networks. IEEE Trans. Commun. 2010, 58, 2770–2775. [Google Scholar] [CrossRef]
- Boyd, S.S.; Vandenberghe, L. Convex Optimization; Cambridge University Press: Cambridge, UK, 2004. [Google Scholar]
- Kizilirmak, R.C. Towards 5G Wireless Networks—A Physical Layer Perspective; IntechOpen: London, UK, 2016. [Google Scholar]






| S.No. | Parameters | Uplink OMA and Downlink NOMA | Uplink OMA and Downlink NOMA with PLNC |
|---|---|---|---|
| 1. | No of nodes | 4 | 4 |
| 2. | Time slots | 5 | 3 |
| 3. | SIC operation | 3 | 1 |
| 4. | Complexity | high | low |
| 5. | nodes connectivity | 2 for 3 time slots | 4 for 3 time slots |
| S.No. | Parameters | Symbols | Value |
|---|---|---|---|
| 1. | No of nodes | N | 4 |
| 2. | Distance between the near node 1 and the AP | 2 m | |
| 3. | Distance between the far node 1 and the AP | 10 m | |
| 4. | Path loss exponent | 2 | |
| 5. | Reflection coefficient | 0.8 | |
| 6. | Threshold data rates | R | 0.5, 1, 1.5 |
Publisher’s Note: MDPI stays neutral with regard to jurisdictional claims in published maps and institutional affiliations. |
© 2021 by the authors. Licensee MDPI, Basel, Switzerland. This article is an open access article distributed under the terms and conditions of the Creative Commons Attribution (CC BY) license (https://creativecommons.org/licenses/by/4.0/).
Share and Cite
Rajkumar, S.; Jayakody, D.N.K. Backscatter Assisted NOMA-PLNC Based Wireless Networks. Sensors 2021, 21, 7589. https://doi.org/10.3390/s21227589
Rajkumar S, Jayakody DNK. Backscatter Assisted NOMA-PLNC Based Wireless Networks. Sensors. 2021; 21(22):7589. https://doi.org/10.3390/s21227589
Chicago/Turabian StyleRajkumar, Samikkannu, and Dushantha Nalin K. Jayakody. 2021. "Backscatter Assisted NOMA-PLNC Based Wireless Networks" Sensors 21, no. 22: 7589. https://doi.org/10.3390/s21227589
APA StyleRajkumar, S., & Jayakody, D. N. K. (2021). Backscatter Assisted NOMA-PLNC Based Wireless Networks. Sensors, 21(22), 7589. https://doi.org/10.3390/s21227589

