Location-Aware Node Management Solution for Multi-Radio Dual Connectivity Scenarios
Abstract
:1. Introduction
2. Scenario
3. Node Management Methodology
- Service: The service used by the UE. In this regard, the selection could vary depending on the requirements of the service, i.e., the importance of the throughput, communication reliability, delay, etc. to perceive a good QoE. Thus, the system will use a different configuration for each service.
- Location: The location of the UE. In this sense, the configuration of the system could also change depending on the characteristics of the area that surrounds the UE. In this study, the network operator is assumed to be aware of the UE position by trilateration [30]. This process computes the intersection between circles created between the UE and different network nodes taking advantage of the received signal strength.
- Reference Signal Received Power (RSRP): The RSRP of each candidate eNB and gNB reported by the UE. Only the nodes that overcome a threshold will be proposed as candidates.
- Reference Signal Received Quality (RSRQ): The RSRQ of each candidate eNB and gNB reported by the UE. It may not correlate with the RSRP in some cases, such as when both the received power and interference level are high.
- Available Physical Resource Blocks (PRB): The number of free PRBs in each candidate eNB and gNB. It may rely on the density of users as well as the average bandwidth assigned to each user, which can also depend on the predominant service.
| Algorithm 1 Node management solution |
| 1: [C,WLoad,WPower,WQuality] ← Stored estimation model for the corresponding square and service |
| 2: for each eNB and gNB do |
| 3: if RSRPreported > Threshold then |
| 4: Et ← (2) |
| 5: end if |
| 5: end for |
| 7: Serving eNB and gNB ← eNB and gNB providing the highest Et |
4. Simulation Assumptions
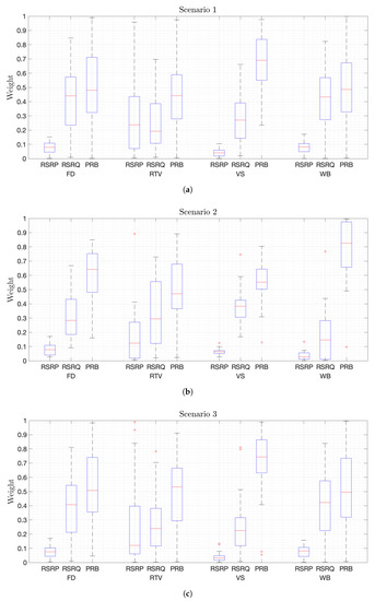
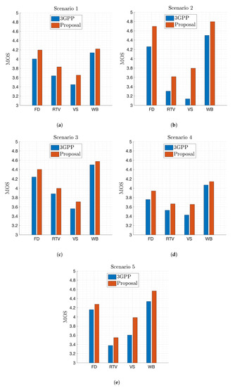
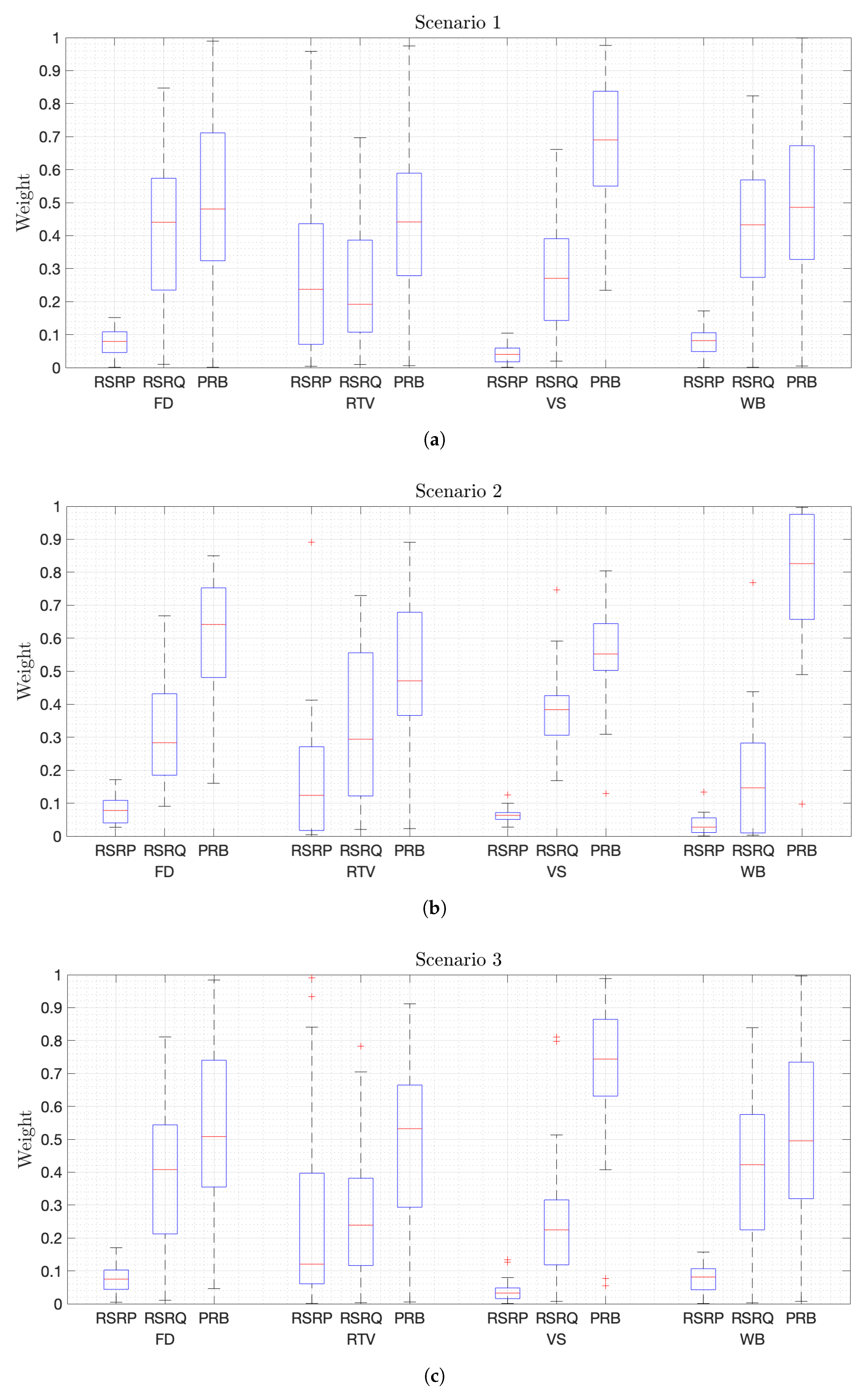
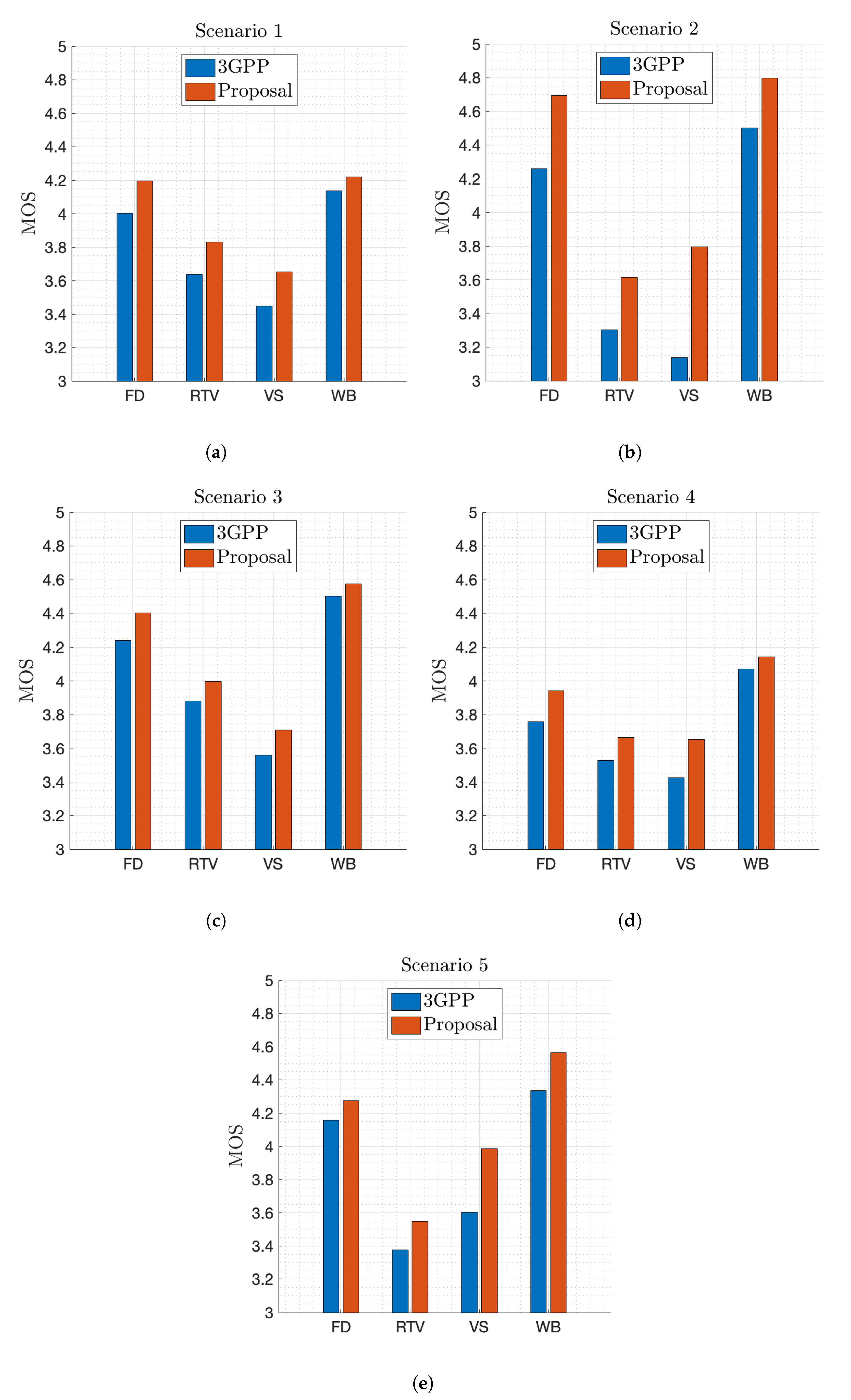
5. Evaluation
6. Conclusions and Further Work
Author Contributions
Funding
Institutional Review Board Statement
Informed Consent Statement
Data Availability Statement
Conflicts of Interest
Abbreviations
| CN | Core Network |
| CSI | Channel State Information |
| DC | Dual Connectivity |
| eNB | evolved Node B |
| FD | File Download |
| gNB | 5G New Radio node B |
| IoT | Internet-of-Things |
| KQI | Key Quality Indicator |
| MAPE | Mean Absolute Percentage Error |
| MOS | Mean Opinion Score |
| MR-DC | Multi-Radio Dual Connectivity |
| PRB | Physical Resource Block |
| QoE | Quality of Experience |
| QoS | Quality of Service |
| RAT | Radio Access Technology |
| RRC | Radio Resource Control |
| RSRP | Reference Signal Received Power |
| RSRQ | Reference Signal Received Quality |
| RTV | Real Time Video |
| SINR | Signal-to-Interference-plus-Noise Ratio |
| UE | User Equipment |
| UMi | Urban micro |
| VS | Video Streaming |
| WAP | Wireless local area network Access Point |
| WB | Web Browsing |
References
- Lee, C.-Y.; Lee, C.F.; Tsai, H.-M. An economic assistance strategy for autonomous driving system. In Proceedings of the 2015 International Conference on Advanced Robotics and Intelligent Systems (ARIS), Taipei, Taiwan, 29–31 May 2015; pp. 1–4. [Google Scholar] [CrossRef]
- Naik, P.; Desai, P.V.; Pati, S. Location Based Place Recommendation using Social Network. In Proceedings of the 2019 IEEE 5th International Conference for Convergence in Technology (I2CT), Bombay, India, 29–31 March 2019; pp. 1–5. [Google Scholar] [CrossRef]
- Fortes, S.; Baena, C.; Villegas, J.; Baena, E.; Asghar, M.Z.; Barco, R. Location-Awareness for Failure Management in Cellular Networks: An Integrated Approach. Sensors 2021, 21, 1501. [Google Scholar] [CrossRef] [PubMed]
- Choi, J.; Shin, D. Location-Aware Self-Optimization for Interference Management in Ultra-Dense Small Cell Networks. IEEE Commun. Lett. 2018, 22, 2555–2558. [Google Scholar] [CrossRef]
- Jeong, M.; Orikumhi, I.; Kim, S. Location-aware Power Adaptation Scheme for UAV Communications. In Proceedings of the TENCON 2018—2018 IEEE Region 10 Conference, Jeju Island, Korea, 28–31 October 2018; pp. 1624–1627. [Google Scholar] [CrossRef]
- Monserrat, J.F.; Bouchmal, F.; Martin-Sacristan, D.; Carrasco, O. Multi-Radio Dual Connectivity for 5G Small Cells Interworking. IEEE Commun. Stand. Mag. 2020, 4, 30–36. [Google Scholar] [CrossRef]
- Fokin, G. Interference Suppression Using Location Aware Beamforming in 5G Ultra-Dense Networks. In Proceedings of the 2020 IEEE Microwave Theory and Techniques in Wireless Communications (MTTW), Riga, Latvia, 1–2 October 2020; pp. 13–17. [Google Scholar] [CrossRef]
- 3GPP. TS 37.340, NR; Multi-Connectivity; Overall Description; Stage-2; V15.7.0; Rel-15. Available online: https://portal.3gpp.org/desktopmodules/Specifications/SpecificationDetails.aspx?specificationId=3198 (accessed on 2 May 2021).
- Mahmood, N.H.; Lopez, M.; Laselva, D.; Pedersen, K.; Berardinelli, G. Reliability Oriented Dual Connectivity for URLLC services in 5G New Radio. In Proceedings of the 2018 15th International Symposium on Wireless Communication Systems (ISWCS), Lisbon, Portugal, 28–31 August 2018; pp. 1–6. [Google Scholar] [CrossRef] [Green Version]
- Centenaro, M.; Laselva, D.; Steiner, J.; Pedersen, K.; Mogensen, P. System-Level Study of Data Duplication Enhancements for 5G Downlink URLLC. IEEE Access 2020, 8, 565–578. [Google Scholar] [CrossRef]
- Guo, Y.; Meng, Q.; Wang, X. Energy-Optimized 5G Dual Connectivity Radio Resource Allocation. In Proceedings of the 2019 IEEE 2nd International Conference on Electronics Technology (ICET), Chengdu, China, 10–13 May 2019; pp. 126–130. [Google Scholar] [CrossRef]
- Wu, Y.; Qian, L.P.; Zheng, J.; Zhou, H.; Shen, X.S. Green-Oriented Traffic Offloading through Dual Connectivity in Future Heterogeneous Small Cell Networks. IEEE Commun. Mag. 2018, 56, 140–147. [Google Scholar] [CrossRef]
- Simsek, M.; Hößler, T.; Jorswieck, E.; Klessig, H.; Fettweis, G. Multiconnectivity in Multicellular, Multiuser Systems: A Matching- Based Approach. Proc. IEEE 2019, 107, 394–413. [Google Scholar] [CrossRef]
- Zhang, B.; Xu, X.; Zhang, K.; Zhang, J.; Guan, H.; Zhang, Y.; Zhang, Y.; Zheng, N.; Teng, Y. Goodput-Aware Traffic Splitting Scheme with Non-ideal Backhaul for 5G-LTE Multi-Connectivity. In Proceedings of the 2019 IEEE Wireless Communications and Networking Conference (WCNC), Marrakesh, Morocco, 15–18 April 2019; pp. 1–6. [Google Scholar] [CrossRef]
- Kim, M.; Jung, S.Y.; Kim, S. Sum-rate maximizing cell association via dual-connectivity. In Proceedings of the 2015 International Conference on Computer, Information and Telecommunication Systems (CITS), Gijón, Spain, 15–17 July 2015; pp. 1–5. [Google Scholar] [CrossRef] [Green Version]
- Moein, E.; Taskou, S.K.; Rasti, M. Base Station Assignment in Two-tier Dual Connectivity Heterogeneous Networks. In Proceedings of the 2018 9th International Symposium on Telecommunications (IST), Tehran, Iran, 17–19 September 2018; pp. 474–480. [Google Scholar] [CrossRef]
- Ba, X.; Wang, Y. Load-Aware Cell Select Scheme for Multi-Connectivity in Intra-Frequency 5G Ultra Dense Network. IEEE Commun. Lett. 2019, 23, 354–357. [Google Scholar] [CrossRef]
- Wang, C.; Zhao, Z.; Sun, Q.; Zhang, H. Deep Learning-Based Intelligent Dual Connectivity for Mobility Management in Dense Network. In Proceedings of the 2018 IEEE 88th Vehicular Technology Conference (VTC-Fall), Chicago, IL, USA, 27–30 August 2018; pp. 1–5. [Google Scholar] [CrossRef] [Green Version]
- Anedda, M.; Muntean, G.; Murroni, M. Adaptive real-time multi-user access network selection algorithm for load-balancing over heterogeneous wireless networks. In Proceedings of the 2016 IEEE International Symposium on Broadband Multimedia Systems and Broadcasting (BMSB), Nara, Japan, 1–3 June 2016; pp. 1–4. [Google Scholar] [CrossRef]
- Anedda, M.; Murroni, M.; Muntean, G. A Novel Markov Decision Process-Based Solution for Improved Quality Prioritized Video Delivery. IEEE Trans. Netw. Serv. Manag. 2020, 17, 592–606. [Google Scholar] [CrossRef]
- Bouali, F.; Moessner, K.; Fitch, M. A context-aware QoE-driven strategy for adaptive video streaming in 5G multi-RAT environments. In Proceedings of the 2017 20th International Symposium on Wireless Personal Multimedia Communications (WPMC), Bali, Indonesia, 17–20 December 2017; pp. 354–360. [Google Scholar] [CrossRef]
- 3GPP. TR 36.842, Study on Small Cell Enhancements for E-UTRA and E-UTRAN; Higher Layer Aspects; Rel-12. Available online: https://portal.3gpp.org/desktopmodules/Specifications/SpecificationDetails.aspx?specificationId=2543 (accessed on 2 May 2021).
- Andrews, J.G.; Buzzi, S.; Choi, W.; Hanly, S.V.; Lozano, A.; Soong, A.C.K.; Zhang, J.C. What Will 5G Be? IEEE J. Sel. Areas Commun. 2014, 32, 1065–1082. [Google Scholar] [CrossRef]
- 3GPP. TR 38.913. Study on Scenarios and Requirements for Next Generation Access Technologies; Rel-15. Available online: https://portal.3gpp.org/desktopmodules/Specifications/SpecificationDetails.aspx?specificationId=2996 (accessed on 2 May 2021).
- Altozano, M.L.M.; Toril, M.; Luna-Ramírez, S.; Gijón, C. A Self-Tuning Algorithm for Optimal QoE-Driven Traffic Steering in LTE. IEEE Access 2020, 8, 156707–156717. [Google Scholar] [CrossRef]
- Gómez, G.; Lorca, J.; García, R.; Pérez, Q. Towards a QoE-driven resource control in LTE and LTE-A networks. J. Comput. Netw. Commun. 2013. [Google Scholar] [CrossRef] [Green Version]
- Gijón, C.; Toril, M.; Luna-Ramírez, S.; Marí-Altozano, M.L. A Data-Driven Traffic Steering Algorithm for Optimizing User Experience in Multi-Tier LTE Networks. IEEE Trans. Veh. Technol. 2019, 68, 9414–9424. [Google Scholar] [CrossRef]
- Shahzad, M.; Antoniou, J. Quality of User Experience in 5G-VANET. In Proceedings of the 2019 IEEE 24th International Workshop on Computer Aided Modeling and Design of Communication Links and Networks (CAMAD), Limassol, Cyprus, 11–13 September 2019; pp. 1–6. [Google Scholar] [CrossRef] [Green Version]
- Odarchenko, R.; Abakumova, A.; Usik, P.; Smirnov, O.A.; Kundyz, M. QoE Optimization Technique for Media Delivery in 5G Networks. In Proceedings of the 2019 IEEE International Scientific-Practical Conference Problems of Infocommunications, Science and Technology (PIC S&T), Kiev, Ukraine, 8–11 October 2019; pp. 597–601. [Google Scholar] [CrossRef]
- del Peral-Rosado, J.A.; Raulefs, R.; López-Salcedo, J.A.; Seco-Granados, G. Survey of Cellular Mobile Radio Localization Methods: From 1G to 5G. IEEE Commun. Surv. Tutor. 2018, 20, 1124–1148. [Google Scholar] [CrossRef]
- Shin, Y.; Chae, C.; Kim, S. Multiple regression models for a big data empowered SON framework. In Proceedings of the 2015 Seventh International Conference on Ubiquitous and Future Networks, Sapporo, Japan, 7–10 July 2015; pp. 982–984. [Google Scholar] [CrossRef]
- Burgueño, J.; de-la-Bandera, I.; Palacios, D.; Barco, R. Traffic Steering for eMBB in Multi-Connectivity Scenarios. Electronics 2020, 9, 2063. [Google Scholar] [CrossRef]
- Fikri, A.; Erol, H. Mean squared error matrix comparisons of some biased estimators in linear regression. Commun. -Stat.-Theory Methods 2003, 32, 2389–2413. [Google Scholar]
- Muñoz, P.; de-la-Bandera, I.; Ruiz, F.; Luna, S.; Barco, R.; Toril, M.; Lázaro, P.; Rodríguez, J. Computationally-Efficient Design of a Dynamic System-Level LTE Simulator. Int. J. Electron. Telecommun. 2011, 57, 347–358. [Google Scholar] [CrossRef] [Green Version]
- ICT-317669-METIS/D6.1, Mobile and Wireless Communications Enablers for the Twenty-Twenty Information Society (METIS). Available online: https://metis2020.com/wp-content/uploads/deliverables/METIS_D6.1_v1.pdf (accessed on 10 May 2021).
- 3GPP. TR 38.901, Study on Channel Model for Frequencies from 0.5 to 100 GHz; Rel-16. Available online: https://portal.3gpp.org/desktopmodules/Specifications/SpecificationDetails.aspx?specificationId=3173 (accessed on 2 May 2021).
- Rhee, J.; Holtzman, J.M.; Kim, D. Scheduling of real/non-real time services: Adaptive EXP/PF algorithm. In Proceedings of the 57th IEEE Semiannual Vehicular Technology Conference, VTC 2003-Spring, Jeju, Korea, 22–25 April 2003; Volume 1, pp. 462–466. [Google Scholar]









| Scenario 1 | Uniform distribution of users and services |
| (60 UEs per site and 300 UEs per service on average) | |
| Scenario 2 | Uneven distribution of services |
| 4 squares: 70% of total UEs use the same service in each square | |
| The remaining 30% use the other 3 services | |
| Predominant service as indicated in Figure 3a | |
| Scenario 3 | Uneven distribution of users |
| 4 squares: Users density decreases by 15% in each square | |
| as indicated in Figure 3b | |
| Scenario 4 | Different radio conditions |
| 4 squares: Propagation losses increase in each square | |
| as indicated in Figure 3c | |
| Scenario 5 | 4 squares with completely different characteristics |
| Scenarios 2, 3 and 4 are combined |
| Environment | Dense urban scenario with 20 sites, |
| 1 eNB and 1 gNB per site, 3 sectors/site | |
| Carrier | eNB: 10 MHz carrier bandwidth at 2.4 GHz |
| gNB: 10 MHz carrier bandwidth at 4 GHz | |
| Channel model | Urban micro (UMi) [36] |
| PHY numerology | 15 kHz sub-carrier spacing |
| 12 subcarriers/PRB (180 kHz) | |
| Data channel MCS | QPSK to 64 QAM |
| with same encoding rates as specified for LTE | |
| Antenna configuration | 2 × 2 MIMO |
| Scheduler | Classical exponential/proportional fair [37] |
| Link adaptation | CQI-based |
| Mobility model | 50% chance of the user being static or moving at 0.83 m/s |
| FD traffic model | File size: log-normal distribution (avg. 2 MB) |
| WB traffic model | Web page size: log-normal distribution (avg. 3 MB) |
| No. pages per session: log-normal distribution (avg. 4) | |
| Reading time: exponential distribution (avg. 30 s) | |
| RTV traffic model | Video codec: H.264, Resolution: 720 p |
| Video bitrate range: 1.5–2 Mbps | |
| Video duration: uniform distribution [0, 540] s | |
| VS traffic model | Video codec: H.264, Resolution: 1080 p |
| Video bitrate range: 3–4 Mbps | |
| Video duration: uniform distribution [0, 540] s |
Publisher’s Note: MDPI stays neutral with regard to jurisdictional claims in published maps and institutional affiliations. |
© 2021 by the authors. Licensee MDPI, Basel, Switzerland. This article is an open access article distributed under the terms and conditions of the Creative Commons Attribution (CC BY) license (https://creativecommons.org/licenses/by/4.0/).
Share and Cite
Burgueño, J.; de-la-Bandera, I.; Barco, R. Location-Aware Node Management Solution for Multi-Radio Dual Connectivity Scenarios. Sensors 2021, 21, 7450. https://doi.org/10.3390/s21227450
Burgueño J, de-la-Bandera I, Barco R. Location-Aware Node Management Solution for Multi-Radio Dual Connectivity Scenarios. Sensors. 2021; 21(22):7450. https://doi.org/10.3390/s21227450
Chicago/Turabian StyleBurgueño, Jesús, Isabel de-la-Bandera, and Raquel Barco. 2021. "Location-Aware Node Management Solution for Multi-Radio Dual Connectivity Scenarios" Sensors 21, no. 22: 7450. https://doi.org/10.3390/s21227450
APA StyleBurgueño, J., de-la-Bandera, I., & Barco, R. (2021). Location-Aware Node Management Solution for Multi-Radio Dual Connectivity Scenarios. Sensors, 21(22), 7450. https://doi.org/10.3390/s21227450
