Mode Sensitivity Exploration of Silica–Titania Waveguide for Refractive Index Sensing Applications
Abstract
:1. Introduction
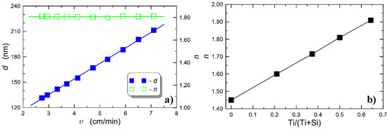
2. SiO2:TiO2 Sol–Gel-Derived WG Films
- Simplicity and low-cost fabrication because no expensive equipment, such as a PECVD system, is necessary;
- Precise control of WG thickness with proper adjustment of the substrate withdrawal speed;
- Precise control of refractive index with proper adjustment of the stoichiometric ratio between precursor components;
- Low propagation loss thanks to the high smoothness of fabricated WG films;
- Possibility of etch-less fabrication with the implementation of direct nano-imprint lithography (NIL) on non-hardened WG films;
- Scalability with an increment of the number of substrates being dip-coated at the same time.
3. Effective Refractive Index Analysis
4. Mode Sensitivity Analysis
5. Ring Resonator Sensor Based on a Silica–Titania Platform
6. Conclusions
Author Contributions
Funding
Institutional Review Board Statement
Informed Consent Statement
Acknowledgments
Conflicts of Interest
References
- Morosanova, E.I. Silica and silica-titania sol-gel materials: Synthesis and analytical application. Talanta 2012, 102, 114–122. [Google Scholar] [CrossRef] [PubMed]
- Lenza, R.F.S.; Vasconcelos, W.L. Synthesis of Titania-Silica Materials by Sol-Gel. Mater. Res. 2002, 5, 497–502. [Google Scholar] [CrossRef]
- Karasiński, P.; Jaglarz, J.; Mazur, J. Low loss silica-titania waveguide films. Photonics Lett. Pol. 2010, 2, 1. [Google Scholar] [CrossRef] [Green Version]
- Kazmierczak, A.; Slowikowski, M.; Pavlov, K.; Filipiak, M.; Vervaeke, M.; Tyszkiewicz, C.; Ottevaere, H.; Piramidowicz, R.; Karasinski, P. Efficient, low-cost optical coupling mechnism for TiO2-SiO2 sol-gel derived slab waveguide surface grating coupler sensors. Opt. Appl. 2020, 4, 539–549. [Google Scholar]
- Innocenzi, P.; Martucci, A.; Guglielmi, M.; Armelao, L.; Pelli, S.; Righini, G.; Battaglin, G. Optical and surface properties of inorganic and hybrid organic–inorganic silica–titania sol–gel planar waveguides. J. Non-Cryst. Solids 1999, 259, 182–190. [Google Scholar] [CrossRef]
- Karasinski, P.; Tyszkiewicz, C.; Piramidowicz, R.; Kazmierczak, A. Development of integrated photonics based on SiO2:TiO2 sol-gel derived waveguide layers:state of the art, perspectives, prospective applications. In Proceedings of the SPIE 11364, Integrated Photonics Platforms: Fundamental Research, Manufacturing and Applications, SPIE Photonics Europe, Strasbourg, France, 29 March–2 April 2020. [Google Scholar]
- Dezfuli, S.M.; Sabzi, M. Deposition of self-healing thin films by the sol–gel method: A review of layer-deposition mechanisms and activation of self-healing mechanisms. Appl. Phys. A 2019, 125, 557. [Google Scholar] [CrossRef]
- Inoue, H.; Iwamoto, T.; Horie, K.; Makishima, A.; Ikemoto, M. Preparation and properties of sol-gel thin films with porphins. J. Opt. Soc. Am. B 1992, 9, 816–818. [Google Scholar] [CrossRef]
- Butt, M.A.; Khonina, S.; Kazanskiy, N. Ultrashort inverted tapered silicon ridge-to-slot waveguide coupler at 155 µm and 3392 µm wavelength. Appl. Opt. 2020, 59, 7821. [Google Scholar] [CrossRef]
- Bouajaj, A.; Gonçalves, R.R.; Ferrari, M. Sol-Gel-Derived Erbium-Activated Silica-Titania and Silica-Hafnia Planar Waveguides for 1.5 µm Application in C Band of Telecommunication. Spectrosc. Lett. 2014, 47, 381–386. [Google Scholar] [CrossRef]
- Reisfeld, R. Sol-Gel processed lasers and related optical materials. In Handbook of Sol-Gel Science and Technology; Klein, L., Aparicio, M., Jitianu, A., Eds.; Springer: Cham, Switzerland, 2016. [Google Scholar]
- Karasinski, P.; Tyszkiewicz, C.; Rogozinski, R.; Jaglarz, J.; Mazur, J. Optical rib waveguides based on sol-gel derived silica-titania fims. Thin. Solid Films 2011, 519, 5544–5551. [Google Scholar] [CrossRef]
- Khlyustova, A.; Cheng, Y.; Yang, R. Vapor-deposited functional polymer thin films in biological applications. J. Mater. Chem. B 2020, 8, 6588–6609. [Google Scholar] [CrossRef]
- Tyszkiewicz, C.; Karasiński, P.; Rogoziński, R. Directional couplers fabricated via a sol–gel route and conventional optical lithography. Opt. Quantum Electron. 2015, 48, 19. [Google Scholar] [CrossRef]
- Karasinski, P.; Tyszkiewicz, C.; Rogozinski, R. Rib waveguides based on the sol-gel derived SiO2:TiO2 films. Photonics Lett. Pol. 2010, 2, 40–42. [Google Scholar]
- Chau, Y.-F.C.; Chen, K.-H.; Chiang, H.-P.; Lim, C.M.; Huang, H.J.; Lai, C.-H.; Kumara, N.T.R.N. Fabrication and Characterization of a Metallic–Dielectric Nanorod Array by Nanosphere Lithography for Plasmonic Sensing Application. Nanomaterials 2019, 9, 1691. [Google Scholar] [CrossRef] [Green Version]
- Karasiński, P.; Kaźmierczak, A.; Zięba, M.; Tyszkiewicz, C.; Wojtasik, K.; Kielan, P. Highly Sensitive Sensor Structure Based on Sol-Gel Waveguide Films and Grating Couplers. Electronics 2021, 10, 1389. [Google Scholar] [CrossRef]
- Tyszkiewicz, C. Sensing Properties of Four-Layered Planar Waveguides—Theoretical Analysis. Acta Phys. Pol. A 2012, 122, 908–914. [Google Scholar] [CrossRef]
- Jaglarz, J.; Dulian, P.; Karasiński, P.; Winkowski, P. Scattering Phenomena in Porous Sol-Gel-Derived Silica Films. Coatings 2020, 10, 509. [Google Scholar] [CrossRef]
- Karasiński, P.; Domanowska, A.; Gondek, E.; Sikora, A.; Tyszkiewicz, C.; Skolik, M. Homogeneity of sol-gel derived silica-titania waveguide films—Spectroscopic and AFM studies. Opt. Laser Technol. 2019, 121, 105840. [Google Scholar] [CrossRef]
- Weissman, Z. Evanescent field sensors with periodically segmented waveguides. Appl. Opt. 1997, 36, 1218–1222. [Google Scholar] [CrossRef] [PubMed]
- Butt, M.A.; Kazanskiy, N.L. Mode sensitivity analysis of vertically arranged double hybrid plasmonic waveguide. Optoelectron. Adv. Mater. Rapid Commun. 2020, 14, 385–388. [Google Scholar]
- Odeh, M.; Twayana, K.; Sloyan, K.; Villegas, J.E.; Chandran, S.; Dahlem, M.S. Mode Sensitivity Analysis of Subwavelength Grating Slot Waveguides. IEEE Photon. J. 2019, 11, 1–10. [Google Scholar] [CrossRef]
- Butt, M.A.; Khonina, S.N.; Kazanskiy, N.L. Device performance of standard strip, slot and hybrid plasmonic μ-ring resonator: A comparative study. Waves Random Complex Media 2020, 1–10. [Google Scholar] [CrossRef]
- Butt, M.A.; Khonina, S.N.; Kazanskiy, N.L. A highly sensitive design of subwavelength grating double-slot waveguide microring resonator. Laser Phys. Lett. 2020, 17, 076201. [Google Scholar] [CrossRef]
- Butt, M.A.; Khonina, S.N.; Kazanskiy, N.L. Sensitivity Enhancement of Silicon Strip Waveguide Ring Resonator by Incorporating a Thin Metal Film. IEEE Sens. J. 2019, 20, 1355–1362. [Google Scholar] [CrossRef]
- Fu, M.; Zheng, Y.; Li, G.; Hu, H.; Pu, M.; Oxenløwe, L.K.; Frandsen, L.H.; Li, X.; Guan, X. High-Q titanium dioxide micro-ring resonators for integrated nonlinear photonics. Opt. Express 2020, 28, 39084–39092. [Google Scholar] [CrossRef] [PubMed]
- Cai, D.-P.; Lu, J.-H.; Chen, C.-C.; Lee, C.-C.; Lin, C.-E.; Yen, T.-J. High Q-factor microring resonator wrapped by the curved waveguide. Sci. Rep. 2015, 5, 10078. [Google Scholar] [CrossRef] [Green Version]
- Olyaee, S.; Seifouri, M.; Karami, R.; Mohebzadeh-Bahabady, A. Designing a high sensitivity hexagonal nano-cavity photonic crystal resonator for the purpose of seawater salinity sensing. Opt. Quantum Electron. 2019, 51, 97. [Google Scholar] [CrossRef]
- Cheng, X.; Hong, J.; Spring, A.M.; Yokoyama, S. Fabrication of a high-Q factor ring resonator using LSCVD deposited Si_3N_4 film. Opt. Mater. Express 2017, 7, 2182. [Google Scholar] [CrossRef]
- Kazanskiy, N.L.; Khonina, S.N.; Butt, M.A. Subwavelength Grating Double Slot Waveguide Racetrack Ring Resonator for Refractive Index Sensing Application. Sensors 2020, 20, 3416. [Google Scholar] [CrossRef]
- Khonina, S.N.; Kazanskiy, N.L.; Butt, M.A. Evanescent Field Ratio Enhancement of a Modified Ridge Waveguide Structure for Methane Gas Sensing Application. IEEE Sens. J. 2020, 20, 8469–8476. [Google Scholar] [CrossRef]
- Consani, C.; Dubois, F.; Auböck, G. Figures of merit for mid-IR evanescent-wave absorption sensors and their simulation by FEM methods. Opt. Express 2021, 29, 9723–9736. [Google Scholar] [CrossRef] [PubMed]
- Wang, Y.; Gao, B.; Zhang, K.; Yuan, K.; Wan, Y.; Xie, Z.; Xu, X.; Zhang, H.; Song, Q.; Yao, L.; et al. Refractive Index Sensor Based on Leaky Resonant Scattering of Single Semiconductor Nanowire. ACS Photon. 2017, 4, 688–694. [Google Scholar] [CrossRef]
- Teng, C.; Yu, F.; Ding, Y.; Zheng, J. Refractive index sensor based on multi-mode plastic optical fiber with long period grating. Proc. SPIE 2017, 10231, 102311M. [Google Scholar] [CrossRef]
- Carlborg, C.F.; Gylfason, K.B.; Kaźmierczak, A.; Dortu, F.; Polo, M.J.B.; Catala, A.M.; Kresbach, G.; Sohlström, H.; Moh, T.; Vivien, L.; et al. A packaged optical slot-waveguide ring resonator sensor array for multiplex label-free assays in labs-on-chips. Lab Chip 2010, 10, 281–290. [Google Scholar] [CrossRef] [PubMed] [Green Version]
- TalebiFard, S.; Schmidt, S.; Shi, W.; Wu, W.; Jaeger, N.A.F.; Kwok, E.; Ratner, D.M.; Chrostowski, L. Optimized sensitviity of silicon-on-insulator (SOI) strip waveguide resonator sensor. Biomed. Opt. Express 2017, 8, 500–511. [Google Scholar] [CrossRef]













| Wring (nm) | S (nm/RIU) | FOM (RIU−1) | Q-Factor |
|---|---|---|---|
| 500 | ~230 | ~418.2 | 2247.5 |
| 600 | ~165 | ~375 | 2240 |
| 700 | ~120 | ~272.7 | 2227.5 |
| 800 | ~90 | ~204.5 | 2239 |
Publisher’s Note: MDPI stays neutral with regard to jurisdictional claims in published maps and institutional affiliations. |
© 2021 by the authors. Licensee MDPI, Basel, Switzerland. This article is an open access article distributed under the terms and conditions of the Creative Commons Attribution (CC BY) license (https://creativecommons.org/licenses/by/4.0/).
Share and Cite
Butt, M.A.; Kaźmierczak, A.; Tyszkiewicz, C.; Karasiński, P.; Piramidowicz, R. Mode Sensitivity Exploration of Silica–Titania Waveguide for Refractive Index Sensing Applications. Sensors 2021, 21, 7452. https://doi.org/10.3390/s21227452
Butt MA, Kaźmierczak A, Tyszkiewicz C, Karasiński P, Piramidowicz R. Mode Sensitivity Exploration of Silica–Titania Waveguide for Refractive Index Sensing Applications. Sensors. 2021; 21(22):7452. https://doi.org/10.3390/s21227452
Chicago/Turabian StyleButt, Muhammad A., Andrzej Kaźmierczak, Cuma Tyszkiewicz, Paweł Karasiński, and Ryszard Piramidowicz. 2021. "Mode Sensitivity Exploration of Silica–Titania Waveguide for Refractive Index Sensing Applications" Sensors 21, no. 22: 7452. https://doi.org/10.3390/s21227452
APA StyleButt, M. A., Kaźmierczak, A., Tyszkiewicz, C., Karasiński, P., & Piramidowicz, R. (2021). Mode Sensitivity Exploration of Silica–Titania Waveguide for Refractive Index Sensing Applications. Sensors, 21(22), 7452. https://doi.org/10.3390/s21227452

