Layer-Averaged Water Temperature Sensing in a Lake by Acoustic Tomography with a Focus on the Inversion Stratification Mechanism
Abstract
:1. Introduction
2. Method and Experiment
2.1. Inversion Method
2.2. Experimental Settings
2.3. Ray Simulation
2.4. Multi-Peak Identification
3. Results and Discussion
3.1. Layer-Averaged Water Temperature of S2–S3
3.1.1. Temperature Inversion Results of S2–S3 Three Layers
3.1.2. Temperature Inversion Results of S2–S3 with Two Layers
3.1.3. Temperature Inversion Results of S2–S3 with Five Layers
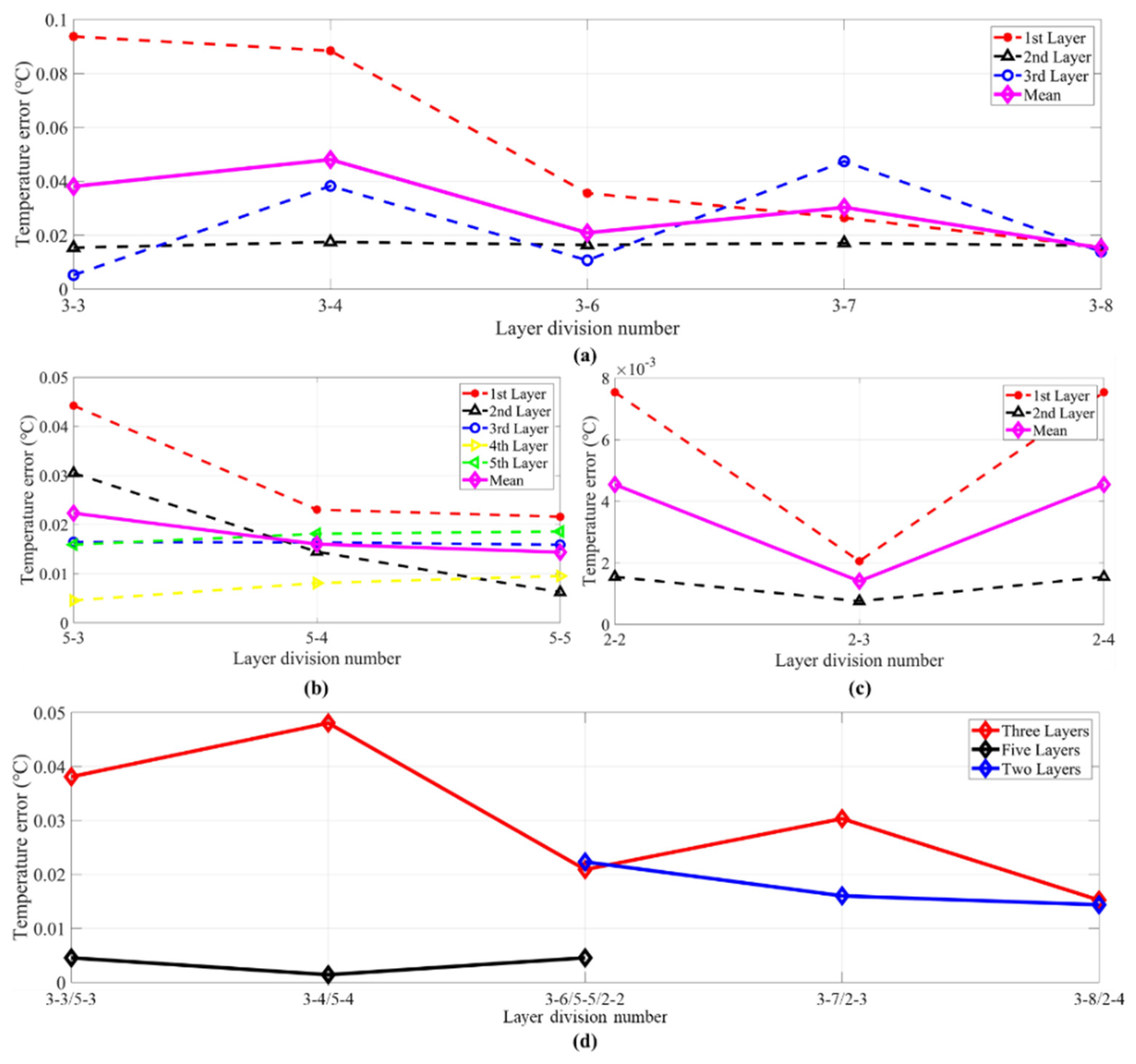
3.2. Comparison of S2–S3
3.3. Comparison of S1–S2
4. Conclusions
- With a certain number of acoustic rays, each layer contains unique acoustic rays that are different from those in other layers; two layers that contain the same acoustic rays must be avoided. In short, every pair of two layers cannot contain only one information of a same acoustic ray at the same time.
- After satisfying the first rule, the error of the layer-averaged analyzing method has a negative exponential relationship with the acoustic ray length of each layer. Therefore, each layer should include roughly the same ray length to reduce the inversion error.
- The temperature inversion error can be decreased if the length of the acoustic rays contained in every layer is similar.
- Setting a reasonable constraint value of temperature error and number of layers can improve the result. When the number of layers increase, the result may deviate.
Author Contributions
Funding
Institutional Review Board Statement
Informed Consent Statement
Acknowledgments
Conflicts of Interest
References
- Kaneko, A.; Zhu, X.; Lin, J. Coastal Acoustic Tomography; Academic Press: Cambridge, MA, USA; Elsevier: Amsterdam, The Netherlands, 2020. [Google Scholar]
- Chen, M.; Syamsudin, F.; Kaneko, A.; Gohda, N.; Howe, B.M.; Mutsuda, H.; Dinan, A.H.; Zheng, H.; Huang, C.-F.; Taniguchi, N.; et al. Real-Time Offshore Coastal Acoustic Tomography Enabled With Mirror-Transpond Functionality. IEEE J. Ocean. Eng. 2020, 45, 645–655. [Google Scholar] [CrossRef]
- Munk, W.; Wunsch, C. Ocean Acoustic Tomography—Scheme for Large-Scale Monitoring. Deep-Sea Res. Part A-Oceanogr. Res. Pap. 1979, 26, 123–161. [Google Scholar] [CrossRef]
- Wang, L.; Wang, Y.; Wang, J.; Li, F. A High Spatial Resolution FBG Sensor Array for Measuring Ocean Temperature and Depth. Photonic Sens. 2020, 10, 57–66. [Google Scholar] [CrossRef] [Green Version]
- Hidalgo Garcia, D.; Arco Diaz, J. Spatial and Multi-Temporal Analysis of Land Surface Temperature through Landsat 8 Images: Comparison of Algorithms in a Highly Polluted City (Granada). Remote Sens. 2021, 13, 1012. [Google Scholar] [CrossRef]
- Hong, Z.; Haruhiko, Y.; Noriaki, G.; Hideaki, N.; Arata, K. Design of the acoustic tomography system for velocity measurement with an application to the coastal sea. Acoust. Soc. Jpn. 1998, 19, 199–210. [Google Scholar]
- Huang, H.; Guo, Y.; Wang, Z.; Shen, Y.; Wei, Y. Water Temperature Observation by Coastal Acoustic Tomography in Artificial Upwelling Area. Sensors 2019, 19, 2655. [Google Scholar] [CrossRef] [PubMed] [Green Version]
- Zhang, C.; Kaneko, A.; Zhu, X.-H.; Gohda, N. Tomographic mapping of a coastal upwelling and the associated diurnal internal tides in Hiroshima Bay, Japan. J. Geophys. Res. -Ocean. 2015, 120, 4288–4305. [Google Scholar] [CrossRef]
- Huang, H.; Guo, Y.; Li, G.; Arata, K.; Xie, X.; Xu, P. Short-Range Water Temperature Profiling in a Lake with Coastal Acoustic Tomography. Sensors 2020, 20, 4498. [Google Scholar] [CrossRef] [PubMed]
- Carriere, O.; Hermand, J.-P. Feature-Oriented Acoustic Tomography for Coastal Ocean Observatories. IEEE J. Ocean. Eng. 2013, 38, 534–546. [Google Scholar] [CrossRef]
- Li, F.; Yang, X.; Zhang, Y.; Luo, W.; Gan, W. Passive ocean acoustic tomography in shallow water. J. Acoust. Soc. Am. 2019, 145, 2823–2830. [Google Scholar] [CrossRef] [PubMed]
- Liu, W.; Zhu, X.; Zhu, Z.; Fan, X.; Dong, M.; Zhang, Z. A Coastal Acoustic Tomography Experiment in the Qiongzhou Strait. In 2016 IEEE/OES China Ocean Acoustics (COA); IEEE: Piscataway, NJ, USA, 2016. [Google Scholar]
- Zhao, Z.; Zhang, Y.; Yang, W.; Chen, D. High Frequency Ocean Acoustic Tomography Observation at Coastal Estuary Areas. In Advances in Ocean Acoustics; AIP Conference Proceedings; Zhou, J., Li, Z., Simmen, J., Eds.; American Institute of Physics: College Park, MD, USA, 2012; Volume 1495, pp. 360–367. [Google Scholar]
- Syamsudin, F.; Chen, M.; Kaneko, A.; Adityawarman, Y.; Zheng, H.; Mutsuda, H.; Hanifa, A.D.; Zhang, C.; Auger, G.; Wells, J.C.; et al. Profiling measurement of internal tides in Bali Strait by reciprocal sound transmission. Acoust. Sci. Technol. 2017, 38, 246–253. [Google Scholar] [CrossRef]
- Syamsudin, F.; Taniguchi, N.; Zhang, C.; Hanifa, A.D.; Li, G.; Chen, M.; Mutsuda, H.; Zhu, Z.-N.; Zhu, X.-H.; Nagai, T.; et al. Observing Internal Solitary Waves in the Lombok Strait by Coastal Acoustic Tomography. Geophys. Res. Lett. 2019, 46, 10475–10483. [Google Scholar] [CrossRef] [Green Version]
- Yu, X.; Zhuang, X.; Li, Y.; Zhang, Y. Real-Time Observation of Range-Averaged Temperature by High-Frequency Underwater Acoustic Thermometry. IEEE Access 2019, 7, 17975–17980. [Google Scholar] [CrossRef]
- Zhu, Z.-N.; Zhu, X.-H.; Guo, X.; Fan, X.; Zhang, C. Assimilation of coastal acoustic tomography data using an unstructured triangular grid ocean model for water with complex coastlines and islands. J. Geophys. Res. Ocean. 2017, 122, 7013–7030. [Google Scholar] [CrossRef]
- Fan, W.; Chen, Y.; Pan, H.; Ye, Y.; Cai, Y.; Zhang, Z. Experimental study on underwater acoustic imaging of 2-D temperature distribution around hot springs on floor of Lake Qiezishan, China. Exp. Therm. Fluid Sci. 2010, 34, 1334–1345. [Google Scholar] [CrossRef]
- Mackenzie, K.V. 9-Term Equation for Sound Speed in the Oceans. J. Acoust. Soc. Am. 1981, 70, 807–812. [Google Scholar] [CrossRef]
- Munk, W.; Worceser, P.F. Wunsch, C. Ocean Acoustic Tomography; Cambridge Univ. Press: New York, NY, USA, 1995; p. 433. [Google Scholar]
- Huang, H.C.; Xu, S.J.; Xie, X.Y.; Guo, Y.; Meng, L.W.; Li, G.M. Continuous Sensing of Water Temperature in a Reservoir with Grid Inversion Method Based on Acoustic Tomography System. Remote Sens. 2021, 13, 2633. [Google Scholar] [CrossRef]
- Chen, M.; Kaneko, A.; Lin, J.; Zhang, C. Mapping of a Typhoon-Driven Coastal Upwelling by Assimilating Coastal Acoustic Tomography Data. J. Geophys. Res. Ocean. 2017, 122, 7822–7837. [Google Scholar] [CrossRef]
- Anas, A.; Krishna, K.; Vijayakumar, S.; George, G.; Menon, N.; Kulk, G.; Chekidhenkuzhiyil, J.; Ciambelli, A.; Kuttiyilmemuriyil Vikraman, H.; Tharakan, B.; et al. Dynamics of Vibrio cholerae in a Typical Tropical Lake and Estuarine System: Potential of Remote Sensing for Risk Mapping. Remote Sens. 2021, 13, 1034. [Google Scholar] [CrossRef]



















| Item | S1–S2 | S2–S3 |
|---|---|---|
| Central frequency | 50 kHz | 50 kHz |
| Transducer depth | 20, 20 m | 20, 16.9 m |
| Order of M sequence | 10 | 10 |
| Q 1 value | 2 | 2 |
| Station distance | 270.07 m | 224.04 m |
| Start and end time | 15–16 September | 15–16 September |
| Number | 2–1 | 2–2 | 2–3 | 2–4 | 2–5 |
|---|---|---|---|---|---|
| Length of 1st layer (m) | 5 | 10 | 15 | 20 | 25 |
| Length of 2nd layer (m) | 25 | 20 | 15 | 10 | 5 |
| Number | 3–1 | 3–2 | 3–3 | 3–4 | 3–5 | 3–6 | 3–7 | 3–8 | 3–9 | 3–10 |
|---|---|---|---|---|---|---|---|---|---|---|
| Length of 1st layer (m) | 5 | 5 | 5 | 5 | 10 | 10 | 10 | 15 | 15 | 20 |
| Length of 2nd layer (m) | 5 | 10 | 15 | 20 | 5 | 10 | 15 | 5 | 10 | 5 |
| Length of 3rd layer (m) | 20 | 15 | 10 | 5 | 15 | 10 | 5 | 10 | 5 | 5 |
| Number | 5–1 | 5–2 | 5–3 | 5–4 | 5–5 |
|---|---|---|---|---|---|
| Length of 1st layer (m) | 5 | 5 | 5 | 5 | 10 |
| Length of 2nd layer (m) | 5 | 5 | 5 | 10 | 5 |
| Length of 3rd layer (m) | 5 | 5 | 10 | 5 | 5 |
| Length of 4th layer (m) | 5 | 10 | 5 | 5 | 5 |
| Length of 5th layer (m) | 10 | 5 | 5 | 5 | 5 |
| S1–S2 | Two Layers | Three Layers | Five Layers | ||||||
|---|---|---|---|---|---|---|---|---|---|
| Ray Path | D | S | B | D | S | B | D | S | B |
| Layer 1 | 0 | 128.923 | 0 | 0 | 188.490 | 0 | 0 | 64.617 | 0 |
| Layer 2 | 224.037 | 98.076 | 225.157 | 224.037 | 38.509 | 139.634 | 0 | 64.306 | 0 |
| Layer 3 | \ | \ | \ | 0 | 0 | 85.523 | 224.037 | 69.526 | 0 |
| Layer 4 | \ | \ | \ | \ | \ | \ | 0 | 28.550 | 139.634 |
| Layer 5 | \ | \ | \ | \ | \ | \ | 0 | 0 | 85.523 |
| TL 1 (m) | 224.037 | 226.999 | 225.157 | 224.037 | 226.999 | 225.157 | 224.037 | 226.999 | 225.157 |
| TT 2 (s) | 0.14962 | 0.15124 | 0.15061 | 0.14962 | 0.15124 | 0.15061 | 0.14962 | 0.15124 | 0.15061 |
Publisher’s Note: MDPI stays neutral with regard to jurisdictional claims in published maps and institutional affiliations. |
© 2021 by the authors. Licensee MDPI, Basel, Switzerland. This article is an open access article distributed under the terms and conditions of the Creative Commons Attribution (CC BY) license (https://creativecommons.org/licenses/by/4.0/).
Share and Cite
Xu, S.; Xue, Z.; Xie, X.; Huang, H.; Li, G. Layer-Averaged Water Temperature Sensing in a Lake by Acoustic Tomography with a Focus on the Inversion Stratification Mechanism. Sensors 2021, 21, 7448. https://doi.org/10.3390/s21227448
Xu S, Xue Z, Xie X, Huang H, Li G. Layer-Averaged Water Temperature Sensing in a Lake by Acoustic Tomography with a Focus on the Inversion Stratification Mechanism. Sensors. 2021; 21(22):7448. https://doi.org/10.3390/s21227448
Chicago/Turabian StyleXu, Shijie, Zhao Xue, Xinyi Xie, Haocai Huang, and Guangming Li. 2021. "Layer-Averaged Water Temperature Sensing in a Lake by Acoustic Tomography with a Focus on the Inversion Stratification Mechanism" Sensors 21, no. 22: 7448. https://doi.org/10.3390/s21227448
APA StyleXu, S., Xue, Z., Xie, X., Huang, H., & Li, G. (2021). Layer-Averaged Water Temperature Sensing in a Lake by Acoustic Tomography with a Focus on the Inversion Stratification Mechanism. Sensors, 21(22), 7448. https://doi.org/10.3390/s21227448

