Optical Fiber Pyrometer Designs for Temperature Measurements Depending on Object Size
Abstract
1. Introduction
2. Theoretical Background and Modelling
- Integration limit δ. In case of integrating over arcs, the limits of δ can be calculated using a triangulation method, see Figure 2a. Applying the trigonometric cosine law, the expression of the integration limit of δ is given by:In the case of integrating over circumferences, the limits of δ are δmin = 0 and δmax = 2π.
- Integration limit u. The integration limits are defined by the length of the radius and can be changed depending on the ratio between rβmax and rF. There are three different scenarios:
- ○
- Case I: rβmax < rFAs the radial position, r, of the dST increases, the integration limits are circumferences, then a combination of circumferences and arcs and, finally, only arcs, see Figure 3.
- ○
- Case II: rF < rβmax < 2rFAs the radial position increases, the integration limits are first a mix of circumferences and arcs, then a mix of circumferences and arcs with different limits and, finally, only arcs, see Figure 4.
- ○
- Case III: 2rF < rβmaxAs the radial position increases, the integration limits are a mix of circumferences and arcs, then arcs and, finally, only arcs with different limits, see Figure 5.
- The first scenario was presented in [38] and is given as follows:which is valid when rT > rF, specifically for the range given by:
3. Simulation Results and Applications
3.1. Proposed Model Validation
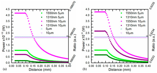
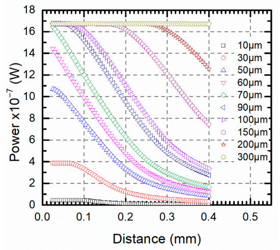
3.2. Critical Distance to Target Surface and Spatial Resolution
3.3. Optical Fiber Pyrometer Designs and Target Size for Avoiding Temperature Errors Using a Single Channel
3.4. Two-Color Pyrometer for Avoiding Critical Distance Influence on Temperature Errors and Achieving High Spatial Resolution
4. Conclusions
Author Contributions
Funding
Institutional Review Board Statement
Informed Consent Statement
Data Availability Statement
Acknowledgments
Conflicts of Interest
References
- Usamentiaga, R.; Venegas, P.; Guerediaga, J.; Vega, L.; Molleda, J.; Bulnes, F.G. Infrared thermography for temperature measurement and non-destructive testing. Sensors 2014, 14, 12305–12348. [Google Scholar] [CrossRef] [PubMed]
- Dinc, C.; Lazoglu, I.; Serpenguzel, A. Analysis of thermal fields in orthogonal machining with infrared imaging. J. Mater. Process. Technol. 2008, 198, 147–154. [Google Scholar] [CrossRef]
- Radajewski, M.; Decker, S.; Krüger, L. Direct temperature measurement via thermocouples within an SPS/FAST graphite tool. Measurement 2019, 147, 106863. [Google Scholar] [CrossRef]
- Le Coz, G.; Dudzinski, D. Temperature variation in the workpiece and in the cutting tool when dry milling inconel 718. Int. J. Adv. Manuf. Technol. 2014, 74, 1133–1139. [Google Scholar] [CrossRef]
- Tapetado, A.; Diaz-Alvarez, J.; Miguelez, H.; Vázquez, C. Fiber-Optic Pyrometer for Very Localized Temperature Measurements in a Turning Process. IEEE J. Sel. Top. Quantum Electron. 2017, 23, 1–6. [Google Scholar] [CrossRef]
- Díaz-Álvarez, J.; Tapetado, A.; Vázquez, C.; Miguélez, H. Temperature Measurement and Numerical Prediction in Machining Inconel 718. Sensors 2017, 17, 1531. [Google Scholar] [CrossRef] [PubMed]
- Tapetado, A.; Diaz-Alvarez, J.; Miguelez, H.; Vazquez, C. Two-Color Pyrometer for Process Temperature Measurement During Machining. J. Lightwave Technol. 2016, 34, 1380–1386. [Google Scholar] [CrossRef]
- Kus, A.; Isik, Y.; Cakir, M.; Coşkun, S.; Özdemir, K. Thermocouple and Infrared Sensor-Based Measurement of Temperature Distribution in Metal Cutting. Sensors 2015, 15, 1274–1291. [Google Scholar] [CrossRef]
- Urgoiti, L.; Barrenetxea, D.; Sánchez, J.A.; Pombo, I.; Álvarez, J. On the influence of infra-red sensor in the accurate estimation of grinding temperatures. Sensors 2018, 18, 4134. [Google Scholar] [CrossRef]
- Tapetado, A.; Vázquez, C.; Zubia, J.; Arrue, J. A temperature sensor based on a polymer optical fiber macro-bend. Sensors 2013, 13, 13076–13089. [Google Scholar] [CrossRef]
- Bao, Y.; Huang, Y.; Hoehler, M.S.; Chen, G. Review of fiber optic sensors for structural fire engineering. Sensors 2019, 19, 877. [Google Scholar] [CrossRef] [PubMed]
- Tapetado, A.; Pinzón, P.J.; Zubia, J.; Vázquez, C. Polymer Optical Fiber Temperature Sensor With Dual-Wavelength Compensation of Power Fluctuations. J. Lightwave Technol. 2015, 33, 2716–2723. [Google Scholar] [CrossRef]
- Montero, D.S.; Vázquez, C.; Möllers, I.; Arrúe, J.; Jäger, D. A self-referencing intensity based polymer optical fiber sensor for liquid detection. Sensors 2009, 9, 6446–6455. [Google Scholar] [CrossRef] [PubMed]
- Montero, D.S.; Vázquez, C.; Baptista, J.M.; Santos, J.L.; Montalvo, J. Coarse WDM networking of self-referenced fiber-optic intensity sensors with reconfigurable characteristics. Opt. Express 2010, 18, 4396–4410. [Google Scholar] [CrossRef] [PubMed]
- Vázquez, C.; Núñez-Cascajero, A.; Tapetado, A.; Miguélez, H. Very localized temperature measurements and applications using optical fiber pyrometers. In Proceedings of the 21th International Conference on Transparent Optical Networks, Angers, France, 9–13 July 2019. [Google Scholar]
- Núñez-Cascajero, A.; Tapetado, A.; Contreras, P.; Fresno, A.; Vazquez, C. Effect of the fiber’s core size on a two color pyrometer. In Proceedings of the International Conference on Transparent Optical Networks, Bari, Italy, 19–23 July 2020; Volume 2020. [Google Scholar]
- Aretusini, S.; Núñez-Cascajero, A.; Spagnuolo, E.; Tapetado, A.; Vazquez, C.; Di Toro, G. How hot is a lab-earthquake? Geophys. Res. Abstr. 2019, 21, 6862. [Google Scholar]
- Beechem, T.; Graham, S.; Kearney, S.P.; Phinney, L.M.; Serrano, J.R. Simultaneous mapping of temperature and stress in microdevices using micro-Raman spectroscopy. Rev. Sci. Instrum. 2007, 78. [Google Scholar] [CrossRef]
- Kuball, M.; Pomeroy, J.W.; Simms, R.; Riedel, G.J.; Ji, H.; Sarua, A.; Uren, M.J.; Martin, T. Thermal properties and reliability of GaN microelectronics: Sub-micron spatial and nanosecond time resolution thermography. In Proceedings of the 2007 IEEE Compound Semiconductor Integrated Circuits Symposium, Portland, OR, USA, 14–17 October 2007; pp. 116–119. [Google Scholar] [CrossRef]
- Kuball, M.; Rajasingam, S.; Sarua, A.; Uren, M.J.; Martin, T.; Hughes, B.T.; Hilton, K.P.; Balmer, R.S. Measurement of temperature distribution in multifinger AlGaN/GaN heterostructure field-effect transistors using micro-Raman spectroscopy. Appl. Phys. Lett. 2003, 82, 124–126. [Google Scholar] [CrossRef]
- Jorgensen, F.R.A.; Zuiderwyk, M. Two-colour pyrometer measurement of the temperature of individual combusting particles. J. Phys. E Sci. Instrum. 1985, 18, 486–491. [Google Scholar] [CrossRef]
- Joutsenoja, T.; Heino, P.; Hernberg, R.; Bonn, B. Pyrometric temperature and size measurements of burning coal particles in a fluidized bed combustion reactor. Combust. Flame 1999, 118, 707–717. [Google Scholar] [CrossRef]
- Koyano, T.; Takahashi, T.; Tsurutani, S.; Hosokawa, A.; Furumoto, T.; Hashimoto, Y. Temperature Measurement of Wire Electrode in Wire EDM by Two-color Pyrometer. Procedia CIRP 2018, 68, 96–99. [Google Scholar] [CrossRef]
- Minton, T.; Ghani, S.; Sammler, F.; Bateman, R.; Fürstmann, P.; Roeder, M. Temperature of internally-cooled diamond-coated tools for dry-cutting titanium. Int. J. Mach. Tools Manuf. 2013, 75, 27–35. [Google Scholar] [CrossRef]
- Saman, A.M.; Furumoto, T.; Ueda, T.; Hosokawa, A. A study on separating of a silicon wafer with moving laser beam by using thermal stress cleaving technique. J. Mater. Process. Technol. 2015, 223, 252–261. [Google Scholar] [CrossRef]
- Bogdanovich, P.N.; Belov, V.M.; Tkachuk, D.V. Determination of temperature field in zone of cutting of diamond crystals by thermography. J. Frict. Wear 2007, 28, 44–50. [Google Scholar] [CrossRef]
- Öner, B.; Pomeroy, J.W.; Kuball, M. Submicrometer Resolution Hyperspectral Quantum Rod Thermal Imaging of Microelectronic Devices. ACS Appl. Electron. Mater. 2020, 2, 93–102. [Google Scholar] [CrossRef]
- Han, J.; Cao, K.; Xiao, L.; Tan, X.; Li, T.; Xu, L.; Tang, Z.; Liao, G.; Shi, T. In situ measurement of cutting edge temperature in turning using a near-infrared fiber-optic two-color pyrometer. Measurement 2020, 156, 107595. [Google Scholar] [CrossRef]
- Ueda, T.; Sato, M.; Sugita, T.; Nakayama, K. Thermal Behaviour of Cutting Grain in Grinding. CIRP Ann. Manuf. Technol. 1995, 44, 325–328. [Google Scholar] [CrossRef]
- Núñez-Cascajero, A.; Tapetado, A.; Vázquez, C. High spatial resolution optical fiber two colour pyrometer with fast response. IEEE Sens. J. 2020, 21, 2942–2950. [Google Scholar] [CrossRef]
- Vázquez, C.; Pérez-Prieto, S.; López-Cardona, J.; Tapetado, A.; Blanco, E.; Moreno-López, J.; Montero, D.; Lallana, P. Fiber-Optic Pyrometer with Optically Powered Switch for Temperature Measurements. Sensors 2018, 18, 483. [Google Scholar] [CrossRef]
- Müller, B.; Renz, U. Development of a fast fiber-optic two-color pyrometer for the temperature measurement of surfaces with varying emissivities. Rev. Sci. Instrum. 2001, 72, 3366–3374. [Google Scholar] [CrossRef]
- Hernandez, D.; Olalde, G.; Beck, A.; Milcent, E. Bicolor pyroreflectometer using an optical fiber probe. Rev. Sci. Instrum. 1995, 66, 5548–5551. [Google Scholar] [CrossRef]
- Thevenet, J.; Siroux, M.; Desmet, B. Measurements of brake disc surface temperature and emissivity by two-color pyrometry. Appl. Therm. Eng. 2010, 30, 753–759. [Google Scholar] [CrossRef]
- Vázquez, C.; Núñez-Cascajero, A.; Tapetado, A.; Barrondo, I.; Barreiro, X. High spatial resolution optical fiber thermometers for applications in harsh environments. In Proceedings of the Optical Sensors and Sensing Conference, Washington, DC, USA, 22–26 June 2020. [Google Scholar]
- Han, X.; Huan, K.; Sheng, S. Performance evaluation and optimization design of photoelectric pyrometer detection optical system. Def. Technol. 2020, 16, 401–407. [Google Scholar] [CrossRef]
- Tapetado, A. Fiber Optic Sensors and Self-Reference Techniques for Temperature Measurements in Different Industrial Sectors. Ph.D. Thesis, Electronics Technology Department, Carlos III University of Madrid, Madrid, Spain, 2015. [Google Scholar]
- Ueda, T.; Hosokawa, A.; Yamamoto, A. Studies on Temperature of Abrasive Grains in Grinding—Application of Infrared Radiation Pyrometer. J. Eng. Ind. 1985, 107, 127. [Google Scholar] [CrossRef]













| r | |||||
|---|---|---|---|---|---|
| Case I rβmax < rF | 0 < r < rF − rβmax | rF − rβmax < r < rF | rF < r < rF + rβmax | ||
| Circumferences | Circumferences | Arcs | Arcs | ||
| umin = 0 umax = rβmax | umin = 0 umax = rF − r | umin = rF − r umax = rβmax | umin = r − rF umax = rβmax | ||
| Case II rF< rβmax <2rF | 0 < r < rβmax − rF | rβmax − rF < r < rF | rF < r < rF + rβmax | ||
| Circumferences | Arcs | Circumferences | Arcs | Arcs | |
| umin = 0 umax = rF − r | umin = rF − r umax = rF + r | umin = 0 umax = rF − r | umin = rF − r umax = rβmax | umin = r − rF umax = rβmax | |
| Case III 2rF < rβmax | 0 < r < rF | rF < r < rβmax − rF | rβmax − rF < r < rF + rβmax | ||
| Circumferences | Arcs | Arcs | Arcs | ||
| umin = 0 umax = rF − r | umin = rF − r umax = rF + r | umin = r − rF umax = r + rF | umin = r − rF umax = rβmax | ||
| Optical Fiber Material | Silica glass |
| Photodetector material | Ge |
| Responsivity (A/W) @ 1540 nm | 0.846 |
| Wavelength band (nm) | 800–1700 |
| Numerical aperture (NA) | 0.29 |
| Core diameter (μm) | 100 |
| Target diameter (μm) | 200 |
| Temperature (°C) | 2000 |
| Target emissivity | 1 |
| Filter insertion loss (dB) | 0.18 |
Publisher’s Note: MDPI stays neutral with regard to jurisdictional claims in published maps and institutional affiliations. |
© 2021 by the authors. Licensee MDPI, Basel, Switzerland. This article is an open access article distributed under the terms and conditions of the Creative Commons Attribution (CC BY) license (http://creativecommons.org/licenses/by/4.0/).
Share and Cite
Núñez-Cascajero, A.; Tapetado, A.; Vargas, S.; Vázquez, C. Optical Fiber Pyrometer Designs for Temperature Measurements Depending on Object Size. Sensors 2021, 21, 646. https://doi.org/10.3390/s21020646
Núñez-Cascajero A, Tapetado A, Vargas S, Vázquez C. Optical Fiber Pyrometer Designs for Temperature Measurements Depending on Object Size. Sensors. 2021; 21(2):646. https://doi.org/10.3390/s21020646
Chicago/Turabian StyleNúñez-Cascajero, Arántzazu, Alberto Tapetado, Salvador Vargas, and Carmen Vázquez. 2021. "Optical Fiber Pyrometer Designs for Temperature Measurements Depending on Object Size" Sensors 21, no. 2: 646. https://doi.org/10.3390/s21020646
APA StyleNúñez-Cascajero, A., Tapetado, A., Vargas, S., & Vázquez, C. (2021). Optical Fiber Pyrometer Designs for Temperature Measurements Depending on Object Size. Sensors, 21(2), 646. https://doi.org/10.3390/s21020646

