The Lightfield Microscope Eyepiece
Abstract
:1. Introduction
2. Materials and Methods
2.1. Parametrization
2.2. Optical Design
2.3. Mechanical Building
3. Results and Discussion
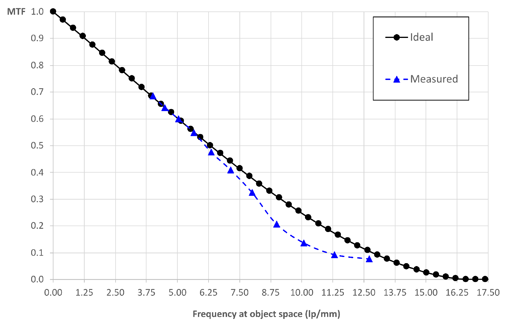
3.1. Performance Verification
3.2. Sample Imaging
4. Conclusions
5. Patents
Supplementary Materials
Author Contributions
Funding
Institutional Review Board Statement
Informed Consent Statement
Data Availability Statement
Acknowledgments
Conflicts of Interest
References
- Sheppard, C.; Cogswell, C. Three-dimensional image formation in confocal microscopy. J. Microsc. 1990, 159, 179–194. [Google Scholar] [CrossRef]
- Kino, G.S.; Corle, T.R. Confocal Scanning Optical Microscopy and Related Imaging Systems; Academic Press: Cambridge, MA, USA, 1996. [Google Scholar]
- Huisken, J.; Swoger, J.; Del Bene, F.; Wittbrodt, J.; Stelzer, E.H. Optical sectioning deep inside live embryos by selective plane illumination microscopy. Science 2004, 305, 1007–1009. [Google Scholar] [CrossRef] [PubMed] [Green Version]
- Chen, B.C.; Legant, W.R.; Wang, K.; Shao, L.; Milkie, D.E.; Davidson, M.W.; Janetopoulos, C.; Wu, X.S.; Hammer, J.A.; Liu, Z.; et al. Lattice light-sheet microscopy: Imaging molecules to embryos at high spatiotemporal resolution. Science 2014, 346, 1257998. [Google Scholar] [CrossRef] [PubMed] [Green Version]
- Schermelleh, L.; Carlton, P.M.; Haase, S.; Shao, L.; Winoto, L.; Kner, P.; Burke, B.; Cardoso, M.C.; Agard, D.A.; Gustafsson, M.G.; et al. Subdiffraction multicolor imaging of the nuclear periphery with 3D structured illumination microscopy. Science 2008, 320, 1332–1336. [Google Scholar] [CrossRef] [PubMed] [Green Version]
- Doblas, A.; Shabani, H.; Saavedra, G.; Preza, C. Tunable-frequency three-dimensional structured illumination microscopy with reduced data-acquisition. Opt. Express 2018, 26, 30476–30491. [Google Scholar] [CrossRef] [PubMed]
- Shaw, M.; Zajiczek, L.; O’Holleran, K. High speed structured illumination microscopy in optically thick samples. Methods 2015, 88, 11–19. [Google Scholar] [CrossRef] [PubMed]
- Pégard, N.C.; Liu, H.Y.; Antipa, N.; Gerlock, M.; Adesnik, H.; Waller, L. Compressive light-field microscopy for 3D neural activity recording. Optica 2016, 3, 517–524. [Google Scholar] [CrossRef]
- Wagner, N.; Norlin, N.; Gierten, J.; de Medeiros, G.; Balázs, B.; Wittbrodt, J.; Hufnagel, L.; Prevedel, R. Instantaneous isotropic volumetric imaging of fast biological processes. Nat. Methods 2019, 16, 497–500. [Google Scholar] [CrossRef] [PubMed]
- Zhang, Z.; Bai, L.; Cong, L.; Yu, P.; Zhang, T.; Shi, W.; Li, F.; Du, J.; Wang, K. Imaging volumetric dynamics at high speed in mouse and zebrafish brain with confocal light field microscopy. Nat. Biotechnol. 2021, 39, 74–83. [Google Scholar] [CrossRef] [PubMed]
- Lippmann, G. Epreuves reversibles donnant la sensation du relief. J. Phys. Theor. Appl. 1908, 7, 821–825. [Google Scholar] [CrossRef]
- Levoy, M.; Ng, R.; Adams, A.; Footer, M.; Horowitz, M. Light field microscopy. ACM Trans. Graphics 2006, 25, 924–934. [Google Scholar] [CrossRef]
- Scrofani, G.; Sola-Pikabea, J.; Llavador, A.; Sanchez-Ortiga, E.; Barreiro, J.; Saavedra, G.; Garcia-Sucerquia, J.; Martínez-Corral, M. FIMic: Design for ultimate 3D-integral microscopy of in-vivo biological samples. Biomed. Opt. Express 2018, 9, 335–346. [Google Scholar] [CrossRef] [PubMed]
- Guo, C.; Liu, W.; Hua, X.; Li, H.; Jia, S. Fourier light-field microscopy. Optics Express 2019, 27, 25573–25594. [Google Scholar] [CrossRef] [PubMed]
- Cong, L.; Wang, Z.; Chai, Y.; Hang, W.; Shang, C.; Yang, W.; Bai, L.; Du, J.; Wang, K.; Wen, Q. Rapid whole brain imaging of neural activity in freely behaving larval zebrafish (Danio rerio). Elife 2017, 6, e28158. [Google Scholar] [CrossRef] [PubMed]
- Liu, F.L.; Kuo, G.; Antipa, N.; Yanny, K.; Waller, L. Fourier diffuserScope: Single-shot 3D Fourier light field microscopy with a diffuser. Opt. Express 2020, 28, 28969–28986. [Google Scholar]
- Sims, R.R.; Rehman, S.A.; Lenz, M.O.; Benaissa, S.I.; Bruggeman, E.; Clark, A.; Sanders, E.W.; Ponjavic, A.; Muresan, L.; Lee, S.F.; et al. Single molecule light field microscopy. Optica 2020, 7, 1065–1072. [Google Scholar] [CrossRef]
- Yoon, Y.G.; Wang, Z.; Pak, N.; Park, D.; Dai, P.; Kang, J.S.; Suk, H.J.; Symvoulidis, P.; Guner-Ataman, B.; Wang, K.; et al. Sparse decomposition light-field microscopy for high speed imaging of neuronal activity. Optica 2020, 7, 1457–1468. [Google Scholar] [CrossRef]
- Blechinger, F.; Achtner, B. Handbook of Optical Systems, Volume 4: Survey of Optical Instruments; Wiley-VCH: Hoboken, NJ, USA, 2005; Volume 4. [Google Scholar]
- Hopkins, R.E. Military Standardization Handbook: Optical Design, Section 14: Eyepieces; US Department of Defense: Washington, VA, USA, 1962. [Google Scholar]
- Boreman, G.D. Modulation Transfer Function in Optical and Electro-Optical Systems; SPIE Press: Bellingham, WA, USA, 2001; Volume 4. [Google Scholar]
- Sanchez-Ortiga, E.; Scrofani, G.; Saavedra, G.; Martinez-Corral, M. Optical sectioning microscopy through single-shot lightfield protocol. IEEE Access 2020, 8, 14944–14952. [Google Scholar] [CrossRef]
- Erguvan, Ö.; Louveaux, M.; Hamant, O.; Verger, S. ImageJ SurfCut: A user-friendly pipeline for high-throughput extraction of cell contours from 3D image stacks. BMC Biol. 2019, 17, 38. [Google Scholar] [CrossRef] [PubMed] [Green Version]
- Martinez-Corral, M.; Saavedra, G.; Scrofani, G.; Tolosa, Á.; Garcia-Sucerquia, J. Plenoptic Ocular Device. WO/2020/030841, 13 February 2020. [Google Scholar]
- Doitplenoptic. The Plenoptic Eyepiece. Available online: https://www.doitplenoptic.com/ (accessed on 18 July 2021).









Publisher’s Note: MDPI stays neutral with regard to jurisdictional claims in published maps and institutional affiliations. |
© 2021 by the authors. Licensee MDPI, Basel, Switzerland. This article is an open access article distributed under the terms and conditions of the Creative Commons Attribution (CC BY) license (https://creativecommons.org/licenses/by/4.0/).
Share and Cite
Incardona, N.; Tolosa, Á.; Scrofani, G.; Martinez-Corral, M.; Saavedra, G. The Lightfield Microscope Eyepiece. Sensors 2021, 21, 6619. https://doi.org/10.3390/s21196619
Incardona N, Tolosa Á, Scrofani G, Martinez-Corral M, Saavedra G. The Lightfield Microscope Eyepiece. Sensors. 2021; 21(19):6619. https://doi.org/10.3390/s21196619
Chicago/Turabian StyleIncardona, Nicolò, Ángel Tolosa, Gabriele Scrofani, Manuel Martinez-Corral, and Genaro Saavedra. 2021. "The Lightfield Microscope Eyepiece" Sensors 21, no. 19: 6619. https://doi.org/10.3390/s21196619
APA StyleIncardona, N., Tolosa, Á., Scrofani, G., Martinez-Corral, M., & Saavedra, G. (2021). The Lightfield Microscope Eyepiece. Sensors, 21(19), 6619. https://doi.org/10.3390/s21196619

