A High-Speed Demodulation Technology of Fiber Optic Extrinsic Fabry-Perot Interferometric Sensor Based on Coarse Spectrum
Abstract
:1. Introduction
2. Theory
2.1. Coarse Spectral Sampling Point Analysis
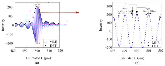
2.2. The Joint Algorithm of FFT and MLE
2.3. Signal-to-Noise Ratio Analysis
2.4. Measurement Ranges Analysis
3. Experiments and Results
3.1. Experimental Measurement System
3.2. Static Measurement Experiment
3.3. Dynamic Real-Time Measurement Experiment
3.4. Comparison Experiment of Different System and Algorithm
4. Conclusions
Author Contributions
Funding
Institutional Review Board Statement
Informed Consent Statement
Data Availability Statement
Conflicts of Interest
References
- Zhang, Z.H.; Jiang, C.L.; Wang, F.L.; Huang, Z.; Shen, L.Q.; Li, C.W. Quadrature phase detection based on an extrinsic Fabry-Perot interferometer for vibration measurement. Opt. Express 2020, 28, 32572–32583. [Google Scholar] [CrossRef]
- McGuinness, F.; Cloonan, A.; Oubaha, M.; Duraibabu, D.B.; Ali, M.M.; Kilkelly, G.; Tobin, E.; Leen, G. Fabrication and Qualitative Analysis of an Optical Fibre EFPI-Based Temperature Sensor. Sensors 2021, 21, 4445. [Google Scholar] [CrossRef]
- Chen, H.B.; Chen, Q.Q.; Wang, W.; Zhang, X.X.; Ma, Z.B.; Li, Y.; Jing, X.; Yuan, S.Z. Fiber-optic, extrinsic Fabry-Perot interferometric dual-cavity sensor interrogated by a dual-segment, low-coherence Fizeau interferometer for simultaneous measurements of pressure and temperature. Opt. Express 2019, 27, 38744–38758. [Google Scholar] [CrossRef]
- Tosi, D.; Saccomandi, P.; Schena, E.; Duraibabu, D.B.; Poeggel, S.; Leen, G.; Lewis, E. Intra-Tissue Pressure Measurement in Ex Vivo Liver Undergoing Laser Ablation with Fiber-Optic Fabry-Perot Probe. Sensors 2016, 16, 544. [Google Scholar] [CrossRef] [Green Version]
- Lee, B.H.; Kim, Y.H.; Park, K.S.; Eom, J.B.; Kim, M.J.; Rho, B.S.; Choi, H.Y. Interferometric Fiber Optic Sensors. Sensors 2012, 12, 2467–2486. [Google Scholar] [CrossRef] [Green Version]
- Zhang, B.; Tong, X.; Hu, P.; Guo, Q.; Zheng, Z.; Zhou, C. Wavelet phase extracting demodulation algorithm based on scale factor for optical fiber Fabry-Perot sensing. Opt. Express 2016, 24, 29506–29511. [Google Scholar] [CrossRef] [PubMed]
- Yang, B.W.; Yang, B.Y.; Zhang, J.; Yin, Y.H.; Niu, Y.X.; Ding, M. A Sensing Peak Identification Method for Fiber Extrinsic Fabry-Perot Interferometric Refractive Index Sensing. Sensors 2019, 19, 96. [Google Scholar] [CrossRef] [Green Version]
- Islam, M.R.; Ali, M.M.; Lai, M.H.; Lim, K.S.; Ahmad, H. Chronology of Fabry-Perot Interferometer Fiber-Optic Sensors and Their Applications: A Review. Sensors 2014, 14, 7451–7488. [Google Scholar] [CrossRef] [PubMed] [Green Version]
- Zhang, H.Y.; Liu, Q. Shock wave overpressure testing system based on double external cavity fabry-perot interferometer. In Proceedings of the 2019 14th IEEE International Conference on Electronic Measurement Instruments, Changsha, China, 1–3 November 2019; pp. 1708–1713. [Google Scholar]
- Ma, C.; Dong, B.; Gong, J.; Wang, A. Decoding the spectra of low-finesse extrinsic optical fiber Fabry-Perot interferometers. Opt. Express 2011, 19, 23727. [Google Scholar] [CrossRef] [PubMed] [Green Version]
- Lee, C.E.; Taylor, H.F. Interferometric optical fibre sensors using internal mirrors. Electron. Lett. 1988, 24, 193–194. [Google Scholar] [CrossRef]
- Qingxu, Y.U.; Zhou, X. Pressure Sensor Based on the Fiber-Optic Extrinsic Fabry-Perot Interferometer. Photonic Sens. 2011, 1, 72–83. [Google Scholar]
- Bhatia, V.; Murphy, K.; Claus, R.O.; Tran, T.; Greene, J. Recent developments in optical-fiber-based extrinsic Fabry-Perot interferometric strain sensing technology. Smart Mater. Struct. 1999, 4, 246. [Google Scholar] [CrossRef]
- Zheng, J.; Li, W.; Liu, X. Fast and simple interrogation of extrinsic Fabry–Perot interferometer sensor based on dual-wavelength intensity ratio. Opt. Commun. 2019, 439, 176–180. [Google Scholar] [CrossRef]
- Liu, Q.; Peng, W. Fast interrogation of dynamic low-finesse Fabry-Perot interferometers: A review. Microw. Opt. Technol. Lett. 2021, 63, 2279–2291. [Google Scholar] [CrossRef]
- Zhang, W.C.; Chen, Q.C.; Zhang, L.Y.; Zhao, H. Fiber Optic Fabry-Perot Sensor with Stabilization Technology for Acoustic Emission Detection of Partial Discharge. In Proceedings of the 2018 IEEE International Conference on High Voltage Engineering and Application (ICHVE), Athens, Greece, 10–13 September 2018. [Google Scholar]
- Schmidt, M. Fiber-Optic Extrinsic Fabry-Perot Interferometer Strain Sensor with <50 pm displacement resolution using three-wavelength digital phase demodulation. Opt. Express 2001, 8, 475–480. [Google Scholar] [CrossRef] [PubMed]
- Schmidt, M. Fiber-optic extrinsic Fabry–Perot interferometer sensors with three-wavelength digital phase demodulation. Opt. Lett. 1999, 24, 599–601. [Google Scholar] [CrossRef]
- Djukanovic, S. An Accurate Method for Frequency Estimation of a Real Sinusoid. IEEE Singal Process. Lett. 2016, 23, 915–918. [Google Scholar] [CrossRef]
- Rathod, A.; Mishra, S.; Ghildiyal, S.; Mukhopadhyay, S. Transform domain methods for performance enhancement of EFPI sensor. Sens. Actuators 2013, 189, 1–7. [Google Scholar] [CrossRef]
- Cui, J.W.; Niu, Y.Z.; Dang, H.; Feng, K.P.; Sun, X.; Tan, J.B. Demodulation Method of F-P Sensor Based on Wavelet Transform and Polarization Low Coherence Interferometry. Sensors 2020, 20, 4249. [Google Scholar] [CrossRef] [PubMed]
- Ramakrishnan, M.; Rajan, G.; Semenova, Y.; Farrell, G. Overview of Fiber Optic Sensor Technologies for Strain/Temperature Sensing Applications in Composite Materials. Sensors 2016, 16, 99. [Google Scholar] [CrossRef] [Green Version]
- Zhao, Y.; Wu, J.X.; Suo, Z.Y.; Liu, X.Y. Fast Implementation of Approximated Maximum Likelihood Parameter Estimation for Frequency Agile Radar under Jamming Environment. Sensors 2020, 20, 2022. [Google Scholar] [CrossRef] [PubMed] [Green Version]
- Qi, Y.; Zhang, P.; Chen, Y.; Lei, X.; Feng, J.; Chen, W. Probability of signal demodulation jump errors in the maximum-likelihood-estimation algorithm for a low SNR interference spectrum. Appl. Opt. 2021, 60, 2171–2176. [Google Scholar] [CrossRef]
- Gappmair, W.; Lopez-Valcarce, R.; Mosquera, C. Cramer-Rao lower bound and EM algorithm for envelope-based SNR estimation of nonconstant modulus constellations. IEEE Trans. Commun. 2009, 57, 1622–1627. [Google Scholar] [CrossRef]
- Li, X.; Hunter, W.; Lewellen, T.K.; Miyaoka, R.S. Use of Cramer–Rao Lower Bound for Performance Evaluation of Different Monolithic Crystal PET Detector Designs. IEEE Trans. Nucl. Sci. 2012, 59, 3–12. [Google Scholar] [CrossRef] [PubMed] [Green Version]
- Zhong, Z.W.; Meng, H.D.; Zhang, H.; Wang, X.Q. Performance Bound for Extended Target Tracking Using High Resolution Sensors. Sensors 2010, 10, 11618–11632. [Google Scholar] [CrossRef] [PubMed]
- Tang, X.H.; Falletti, E.; Lo Presti, L. Fast Nearly ML Estimation of Doppler Frequency in GNSS Signal Acquisition Process. Sensors 2013, 13, 5649–5670. [Google Scholar] [CrossRef] [PubMed]
- Kawrakow, I. Accurate condensed history Monte Carlo simulation of electron transport. II. Application to ion chamber response simulations. Med. Phys. 2000, 27, 499–513. [Google Scholar] [CrossRef]












| MLE Finds the Peak Interval (nm) | MLE Finds Peak Range (μm) | Speed Test Results (μs) |
|---|---|---|
| 10 | 600 | 2.01350 × 103 |
| 100 | 317.45 | |
| 10 | 16.24 | |
| 1 | 1.12 | |
| 1 | 600 | 3.945828 × 104 |
| 100 | 4.32464 × 103 | |
| 10 | 226.75 | |
| 1 | 21.24 | |
| 0.1 | 600 | 8.6255346 × 105 |
| 100 | 6.586125 × 104 | |
| 10 | 5.476215 × 103 | |
| 1 | 274.89 |
Publisher’s Note: MDPI stays neutral with regard to jurisdictional claims in published maps and institutional affiliations. |
© 2021 by the authors. Licensee MDPI, Basel, Switzerland. This article is an open access article distributed under the terms and conditions of the Creative Commons Attribution (CC BY) license (https://creativecommons.org/licenses/by/4.0/).
Share and Cite
Zhang, P.; Wang, Y.; Chen, Y.; Lei, X.; Qi, Y.; Feng, J.; Liu, X. A High-Speed Demodulation Technology of Fiber Optic Extrinsic Fabry-Perot Interferometric Sensor Based on Coarse Spectrum. Sensors 2021, 21, 6609. https://doi.org/10.3390/s21196609
Zhang P, Wang Y, Chen Y, Lei X, Qi Y, Feng J, Liu X. A High-Speed Demodulation Technology of Fiber Optic Extrinsic Fabry-Perot Interferometric Sensor Based on Coarse Spectrum. Sensors. 2021; 21(19):6609. https://doi.org/10.3390/s21196609
Chicago/Turabian StyleZhang, Peng, Ying Wang, Yuru Chen, Xiaohua Lei, Yi Qi, Jianghua Feng, and Xianming Liu. 2021. "A High-Speed Demodulation Technology of Fiber Optic Extrinsic Fabry-Perot Interferometric Sensor Based on Coarse Spectrum" Sensors 21, no. 19: 6609. https://doi.org/10.3390/s21196609
APA StyleZhang, P., Wang, Y., Chen, Y., Lei, X., Qi, Y., Feng, J., & Liu, X. (2021). A High-Speed Demodulation Technology of Fiber Optic Extrinsic Fabry-Perot Interferometric Sensor Based on Coarse Spectrum. Sensors, 21(19), 6609. https://doi.org/10.3390/s21196609
