Validation and Assessment of a Posture Measurement System with Magneto-Inertial Measurement Units †
Abstract
:1. Introduction
2. Materials and Methods
2.1. Magneto-Inertial Measurement Units (MIMUs)
2.2. Stereophotogrammetric Motion Capture System (MoCap)
2.3. Patient Enrolment and Sensor Placement
2.4. Calculation of Kyphosis and Lordosis Angles
2.5. Experimental Protocol and Data Analysis
3. Results
3.1. Comparison of the Two Measurement Systems
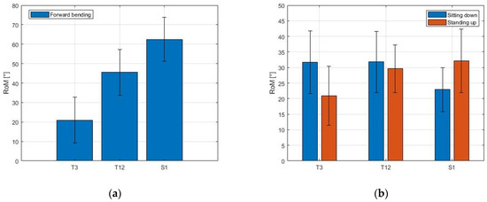
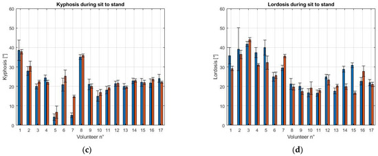
3.2. Assessment of the Range of Movement (ROM)
4. Discussion
5. Conclusions
Author Contributions
Funding
Institutional Review Board Statement
Informed Consent Statement
Data Availability Statement
Conflicts of Interest
References
- Neumann, D.A. Kinesiology of the Musculoskeletal System Foundations for Rehabilitation; Elsevier: Amsterdam, The Netherlands, 2016; p. 595. ISBN 978-0-323-28753-1. [Google Scholar]
- CM, H. What do we mean by a “working posture”? Ergonomics 1994, 37, 781–799. [Google Scholar]
- Laird, R.A.; Gilbert, J.; Kent, P.; Keating, J.L. Comparing lumbo-pelvic movement in people with and without back pain: A systematic review. BMC Musculoskelet. Disord. 2014, 15, 1–13. [Google Scholar] [CrossRef]
- De Looze, M.P.; Toussaint, H.M.; Ensink, J.; Mangnus, C.; Van Der Beek, A.J. The validity of visual observation to assess posture in a laboratory-simulated, manual material handling task. Ergonomics 1994, 37, 1335–1343. [Google Scholar] [CrossRef] [PubMed]
- Lee, C.H.; Lee, S.; Shin, G. Reliability of forward head posture evaluation while sitting, standing, walking and running. Hum. Mov. Sci. 2017, 55, 81–86. [Google Scholar] [CrossRef]
- Pearcy, M.J. Stereo Radiography of Lumbar Spine Motion; Taylor & Francis: Singapore, Singapore, 1985; Volume 56, ISBN 8716063058. [Google Scholar]
- Morrissy, R.T.; Goldsmith, G.S.; Hall, E.C.; Kehl, D.; Cowie, G.H. Measurement of the cobb angle on radiographs of patients who have. J. Bone Jt. Surg. 1990, 72, 320–327. [Google Scholar] [CrossRef] [Green Version]
- Pruijs, J.E.H.; Hageman, M.A.P.E.; Keessen, W.; van der Meer, R.; van Wieringen, J.C. Variation in Cobb angle measurements in scoliosis. Skeletal Radiol. 1994, 23, 517–520. [Google Scholar] [CrossRef] [PubMed]
- Perriman, D.M.; Scarvell, J.M.; Hughes, A.R.; Ashman, B.; Lueck, C.J.; Smith, P.N. Validation of the Flexible Electrogoniometer for Measuring Thoracic Kyphosis. Spine 2010, 35, E633–E640. [Google Scholar] [CrossRef] [PubMed]
- Boocock, M.G.; Jackson, J.A.; Burton, A.K.; Tillotson, K.M. Continuous measurement of lumbar posture using flexible electrogoniometers. Ergonomics 1994, 37, 175–185. [Google Scholar] [CrossRef]
- Thoumie, P.; Drape, J.-L.; Aymard, C.; Bedoiseau, M. Effects of a lumbar support on spine posture and motion assessed by electrogoniometer and recording. Clin. Biomech. 1998, 13, 18–26. [Google Scholar] [CrossRef]
- Topley, M.; Richards, J. A Comparison of Currently Available Optoelectronic Motion Capture Systems. J. Biomech. 2020, 106, 109820. [Google Scholar] [CrossRef]
- Colyer, S.L.; Evans, M.; Cosker, D.P.; Salo, A.I.T. A Review of the Evolution of Vision-Based Motion Analysis and the Integration of Advanced Computer Vision Methods Towards Developing a Markerless System. Sports Med.-Open 2018, 4, 24. [Google Scholar] [CrossRef] [Green Version]
- Ganesh, P.; Volle, K.; Buzaud, P.; Brink, K.; Willis, A. Extrinsic Calibration of Camera and Motion Capture Systems. In Proceedings of the SoutheastCon 2021, Atlanta, GA, USA, 10–13 March 2021; pp. 1–8. [Google Scholar]
- Voinea, G.D.; Butnariu, S.; Mogan, G. Measurement and geometric modelling of human spine posture for medical rehabilitation purposes using a wearable monitoring system based on inertial sensors. Sensors 2017, 17, 3. [Google Scholar] [CrossRef] [Green Version]
- Borzucka, D.; Kręcisz, K.; Rektor, Z.; Kuczyński, M. Postural control in top-level female volleyball players. BMC Sports Sci. Med. Rehabil. 2020, 12. [Google Scholar] [CrossRef] [PubMed]
- Esola, M.A.; McClure, P.W.; Fitzgerald, G.K.; Siegler, S. Analysis of Lumbar Spine and Hip Motion During Forward Bending in Subjects With and Without a History of Low Back Pain. Spine 1996, 21, 71–78. [Google Scholar] [CrossRef]
- Gauvin, M.G.; Riddle, D.L.; Rothstein, J.M. Reliability of Clinical Measurements of Forward Bending Using the Modified Fingertip-to-Floor Method. Phys. Ther. 1990, 70, 443–447. [Google Scholar] [CrossRef] [Green Version]
- De Carvalho, D.E.; Soave, D.; Ross, K.; Callaghan, J.P. Lumbar spine and pelvic posture between standing and sitting: A radiologic investigation including reliability and repeatability of the lumbar lordosis measure. J. Manip. Physiol. Ther. 2010, 33, 48–55. [Google Scholar] [CrossRef] [PubMed]
- Sardini, E.; Serpelloni, M.; Ometto, M. Smart vest for posture monitoring in rehabilitation exercises. In Proceedings of the 2012 IEEE Sensors Applications Symposium Proceedings, Brescia, Italy, 7–9 February 2012; pp. 161–165. [Google Scholar] [CrossRef]
- Simpson, L.; Maharaj, M.M.; Mobbs, R.J. The role of wearables in spinal posture analysis: A systematic review. BMC Musculoskelet. Disord. 2019, 20. [Google Scholar] [CrossRef]
- Yoong, N.K.M.; Perring, J.; Mobbs, R.J. Commercial postural devices: A review. Sensors 2019, 19, 5128. [Google Scholar] [CrossRef] [Green Version]
- Wong, W.Y.; Wong, M.S. Trunk posture monitoring with inertial sensors. Eur. Spine J. 2008, 17, 743–753. [Google Scholar] [CrossRef] [PubMed] [Green Version]
- Wong, W.Y.; Wong, M.S.; Lo, K.H. Clinical applications of sensors for human posture and movement analysis: A review. Prosthet. Orthot. Int. 2007, 31, 62–75. [Google Scholar] [CrossRef]
- Bauer, C.M.; Heimgartner, M.; Rast, F.M.; Ernst, M.J.; Oetiker, S.; Kool, J. Reliability of lumbar movement dysfunction tests for chronic low back pain patients. Man. Ther. 2016, 24, 81–84. [Google Scholar] [CrossRef]
- Beange, K.H.E.; Chan, A.D.C.; Beaudette, S.M.; Graham, R.B. Concurrent validity of a wearable IMU for objective assessments of functional movement quality and control of the lumbar spine. J. Biomech. 2019, 97, 109356. [Google Scholar] [CrossRef]
- Paloschi, D.; Bravi, M.; Miccinilli, S.; Schena, E.; Sterzi, S.; Massaroni, C.; Saccomandi, P. Preliminary analysis on the cervicothoracic angular velocity during forward bending and backward return task. In Proceedings of the 2021 IEEE International Workshop on Metrology for Industry 4.0 & IoT (MetroInd4.0&IoT), Rome, Italy, 7–9 June 2021; pp. 330–334. [Google Scholar]
- Ranavolo, A.; Don, R.; Draicchio, F.; Bartolo, M.; Serrao, M.; Padua, L.; Cipolla, G.; Pierelli, F.; Iavicoli, S.; Sandrini, G. Modelling the spine as a deformable body: Feasibility of reconstruction using an optoelectronic system. Appl. Ergon. 2013, 44, 192–199. [Google Scholar] [CrossRef]
- Michoński, J.; Walesiak, K.; Pakuła, A.; Glinkowski, W.; Sitnik, R. Monitoring of spine curvatures and posture during pregnancy using surface topography-case study and suggestion of method. Scoliosis Spinal Disord. 2016, 11. [Google Scholar] [CrossRef] [PubMed]
- Garrido-Castro, J.L.; Medina-Carnicer, R.; Schiottis, R.; Galisteo, A.M.; Collantes-Estevez, E.; Gonzalez-Navas, C. Assessment of spinal mobility in ankylosing spondylitis using a video-based motion capture system. Man. Ther. 2012, 17, 422–426. [Google Scholar] [CrossRef]
- Muyor, J.M.; Arrabal-Campos, F.M.; Martínez-Aparicio, C.; Sánchez-Crespo, A.; Villa-Pérez, M. Test-retest reliability and validity of a motion capture (MOCAP) system for measuring thoracic and lumbar spinal curvatures and sacral inclination in the sagittal plane. J. Back Musculoskelet. Rehabil. 2017, 30, 1319–1325. [Google Scholar] [CrossRef] [PubMed]
- Lee, A.; Goldstein, R.; Rhim, M.; Chan, C.; Brooks, D.; Zabjek, K. Reliability and validity of non-radiological measures of thoracic kyphosis in chronic obstructive pulmonary disease. Int. J. Ther. Rehabil. 2018, 25, 648–654. [Google Scholar] [CrossRef]
- Kok, M.; Hol, J.D.; Schön, T.B. Using Inertial Sensors for Position and Orientation Estimation. Found. Trends® Signal. Process. 2017, 11, 1–153. [Google Scholar] [CrossRef] [Green Version]
- MetamotionR Datasheet. Available online: https://mbientlab.com/documentation/ (accessed on 6 September 2021).
- Hemingway, E.G.; O’Reilly, O.M. Perspectives on Euler angle singularities, gimbal lock, and the orthogonality of applied forces and applied moments. Multibody Syst. Dyn. 2018, 44, 31–56. [Google Scholar] [CrossRef]
- Cappozzo, A.; Dellacroce, U.; Leardini, A.; Chiari, L. Human movement analysis using stereophotogrammetry: Part 1: Theoretical background. Gait Posture 2005, 21, 186–196. [Google Scholar] [CrossRef] [PubMed]
- Chiari, L.; Della Croce, U.; Leardini, A.; Cappozzo, A. Human movement analysis using stereophotogrammetry. Part 2: Instrumental errors. Gait Posture 2005, 21, 197–211. [Google Scholar] [CrossRef] [PubMed]
- Bolink, S.; Naisas, H.; Senden, R.; Essers, J.M.N.; Heyligers, I.; Meijer, K.; Grimm, B. Validity of an inertial measurement unit to assess pelvic orientation angles during gait, sit–stand transfers and step-up transfers: Comparison with an optoelectronic motion capture system * Optoelectronic motion capture system Pelvic orientation angles G. Med. Eng. Phys. 2016, 13, 1–7. [Google Scholar] [CrossRef]
- Šenk, M.; Cheze, L. A new method for motion capture of the scapula using an optoelectronic tracking device: A feasibility study. Comput. Methods Biomech. Biomed. Engin. 2009, 13, 397–401. [Google Scholar] [CrossRef] [PubMed]
- Wirth, M.; Gabriella, F.; Verdú, J.; Reissner, L.; Balocco, S.; Calcagni, M. Comparison of a New Inertial Sensor Based System with an Optoelectronic Motion Capture System for Motion Analysis of Healthy Human Wrist Joints. Sensors 2019, 19, 5297. [Google Scholar] [CrossRef] [PubMed] [Green Version]
- Massaroni, C.; Senesi, G.; Schena, E.; Silvestri, S. Analysis of breathing via optoelectronic systems: Comparison of four methods for computing breathing volumes and thoraco-abdominal motion pattern. Comput. Methods Biomech. Biomed. Eng. 2017, 20, 1678–1689. [Google Scholar] [CrossRef]
- Massaroni, C.; Carraro, E.; Vianello, A.; Miccinilli, S.; Morrone, M.; Levai, I.K.; Schena, E.; Saccomandi, P.; Sterzi, S.; Dickinson, J.W.; et al. Optoelectronic Plethysmography in Clinical Practice and Research: A Review. Respiration 2017, 93, 339–354. [Google Scholar] [CrossRef]
- De Tommasi, F.; Massaroni, C.; Carnevale, A.; Presti, D.L.; De Vita, E.; Iadicicco, A.; Faiella, E.; Grasso, R.F.; Longo, U.G.; Campopiano, S.; et al. Fiber Bragg Grating Sensors for Temperature Monitoring During Thermal Ablation Procedure: Experimental Assessment of Artefact Caused by Respiratory Movements. IEEE Sens. J. 2021, 21, 13342–13349. [Google Scholar] [CrossRef]
- Nelles, J.; Kohns, S.; Spies, J.; Schmitz-Buhl, F.; Thietje, R.; Brandl, C.; Mertens, A.; Schlick, C.M. Analysis of stress and strain in head based control of cooperative robots through tetraplegics. Int. J. Health Med. Eng. 2017, 11, 11–22. [Google Scholar]
- van Blommestein, A.S.; Lewis, J.S.; Morrissey, M.C.; MaCrae, S. Reliability of measuring thoracic kyphosis angle, lumbar lordosis angle and straight leg raise with an inclinometer. Open Spine J. 2012, 4, 10–15. [Google Scholar] [CrossRef] [Green Version]
- Laird, R.A.; Kent, P.; Keating, J.L. How consistent are lordosis, range of movement and lumbo-pelvic rhythm in people with and without back pain? BMC Musculoskelet. Disord. 2016, 17, 1–14. [Google Scholar] [CrossRef] [Green Version]
- Michaud, F.; Pérez Soto, M.; Lugrís, U.; Cuadrado, J. Lower Back Injury Prevention and Sensitization of Hip Hinge with Neutral Spine Using Wearable Sensors during Lifting Exercises. Sensors 2021, 21, 5487. [Google Scholar] [CrossRef] [PubMed]
- Punchihewa, N.G.; Miyazaki, S.; Chosa, E.; Yamako, G. Efficacy of Inertial Measurement Units in the Evaluation of Trunk and Hand Kinematics in Baseball Hitting. Sensors 2020, 20, 7331. [Google Scholar] [CrossRef] [PubMed]
- Sedrez, J.A.; de Mesquita, P.V.; Gelain, G.M.; Candotti, C.T. Kinematic characteristics of sit-to-stand movements in patients with low back pain: A systematic review. J. Manip. Physiol. Ther. 2019, 42, 532–540. [Google Scholar] [CrossRef]
- Kent, P.M.; Keating, J.L.; Taylor, N.F. Primary care clinicians use variable methods to assess acute nonspecific low back pain and usually focus on impairments. Man. Ther. 2009, 14, 88–100. [Google Scholar] [CrossRef] [PubMed]
- O’Sullivan, P. Diagnosis and classification of chronic low back pain disorders: Maladaptive movement and motor control impairments as underlying mechanism. Man. Ther. 2005, 10, 242–255. [Google Scholar] [CrossRef]
- Majumder, S.; Mondal, T.; Deen, M.J. Wearable Sensors for Remote Health Monitoring. Sensors 2017, 17, 130. [Google Scholar] [CrossRef]
- Fathi, A.; Curran, K. Detection of spine curvature using wireless sensors. J. King Saud Univ.-Sci. 2017, 29, 553–560. [Google Scholar] [CrossRef]












| Dataset | RMSE (°) | Mean Difference (°) | Standard Deviation (°) |
|---|---|---|---|
| Kyphosis—forward bending | 5.0 | −3.6 | 4.9 |
| Lordosis—forward bending | 5.0 | −1.4 | 5.5 |
| Kyphosis—sit-to-stand | 3.0 | −1.3 | 2.8 |
| Lordosis—sit-to-stand | 5.6 | 1.9 | 5.4 |
| Dataset | MoD [°] | LoA [°] |
|---|---|---|
| Kyphosis—forward bending | −3.0 | 5.8/−11.7 |
| Lordosis—forward bending | −0.8 | 9.6/−11.1 |
| Kyphosis—sit-to-stand | −1.2 | 4.3/−6.7 |
| Lordosis—sit-to-stand | 1.9 | 12.5/−8.7 |
Publisher’s Note: MDPI stays neutral with regard to jurisdictional claims in published maps and institutional affiliations. |
© 2021 by the authors. Licensee MDPI, Basel, Switzerland. This article is an open access article distributed under the terms and conditions of the Creative Commons Attribution (CC BY) license (https://creativecommons.org/licenses/by/4.0/).
Share and Cite
Paloschi, D.; Bravi, M.; Schena, E.; Miccinilli, S.; Morrone, M.; Sterzi, S.; Saccomandi, P.; Massaroni, C. Validation and Assessment of a Posture Measurement System with Magneto-Inertial Measurement Units. Sensors 2021, 21, 6610. https://doi.org/10.3390/s21196610
Paloschi D, Bravi M, Schena E, Miccinilli S, Morrone M, Sterzi S, Saccomandi P, Massaroni C. Validation and Assessment of a Posture Measurement System with Magneto-Inertial Measurement Units. Sensors. 2021; 21(19):6610. https://doi.org/10.3390/s21196610
Chicago/Turabian StylePaloschi, Davide, Marco Bravi, Emiliano Schena, Sandra Miccinilli, Michelangelo Morrone, Silvia Sterzi, Paola Saccomandi, and Carlo Massaroni. 2021. "Validation and Assessment of a Posture Measurement System with Magneto-Inertial Measurement Units" Sensors 21, no. 19: 6610. https://doi.org/10.3390/s21196610
APA StylePaloschi, D., Bravi, M., Schena, E., Miccinilli, S., Morrone, M., Sterzi, S., Saccomandi, P., & Massaroni, C. (2021). Validation and Assessment of a Posture Measurement System with Magneto-Inertial Measurement Units. Sensors, 21(19), 6610. https://doi.org/10.3390/s21196610

