Design Method for a Higher Order Extended Kalman Filter Based on Maximum Correlation Entropy and a Taylor Network System
Abstract
:1. Introduction
2. Description of Correntropy
3. Non-Linear Model Identification Based on Multidimensional Taylor Networks
3.1. Multidimensional Taylor Network Structure
3.2. Parameter Identification Method Based on Kalman Filtering
Model Establishment of a Kalman Filter

3.3. Approximation Analysis
4. Higher Order Extended Kalman Filter
4.1. Pseudolinearized Representation of Nonlinear Functions
4.2. Linearized Representation of Nonlinear Functions
4.3. Design of Higher Order Extended Kalman Filter
5. Higher Order Extended Kalman Filter Design Based on Maximum Correlation Entropy
5.1. Non-Gaussian Modeling of State Vector Based on Multivariate Information Observation
5.2. The Statistical Independence Process of Each Component in the Non-Gaussian Modeling Error Vector in the Comprehensive Measurement Model
5.3. Implementation Process of a Higher Order Extended Kalman Filter Based on Maximum Entropy
- The filter initialization obtains the initial filter value and the covariance , choosing a suitable core bandwidth and a small positive number ;
- Taylor networks are used for system identification to obtain the parameters in the equations, using the expanded item and the remainder as the new hidden variables. A pseudolinearization process is performed to obtain the pseudolinear form of the system;
- Equations (20) and (21) are used to obtain and , respectively, while Cholesky decomposition is used to obtain ;
- and are taken, where represents the estimated state of the fixed-point iteration t;
- The starting fixed-point iterative algorithm is as follows:where is the ith element of :The estimates of the current iteration step are compared with those of the previous iteration and, if satisfied,then , and the value of the pseudovariable can be updated, or the iteration can be repeated;
- , and steps (3–5) are repeated until the end of filtering.
6. Simulated Cases
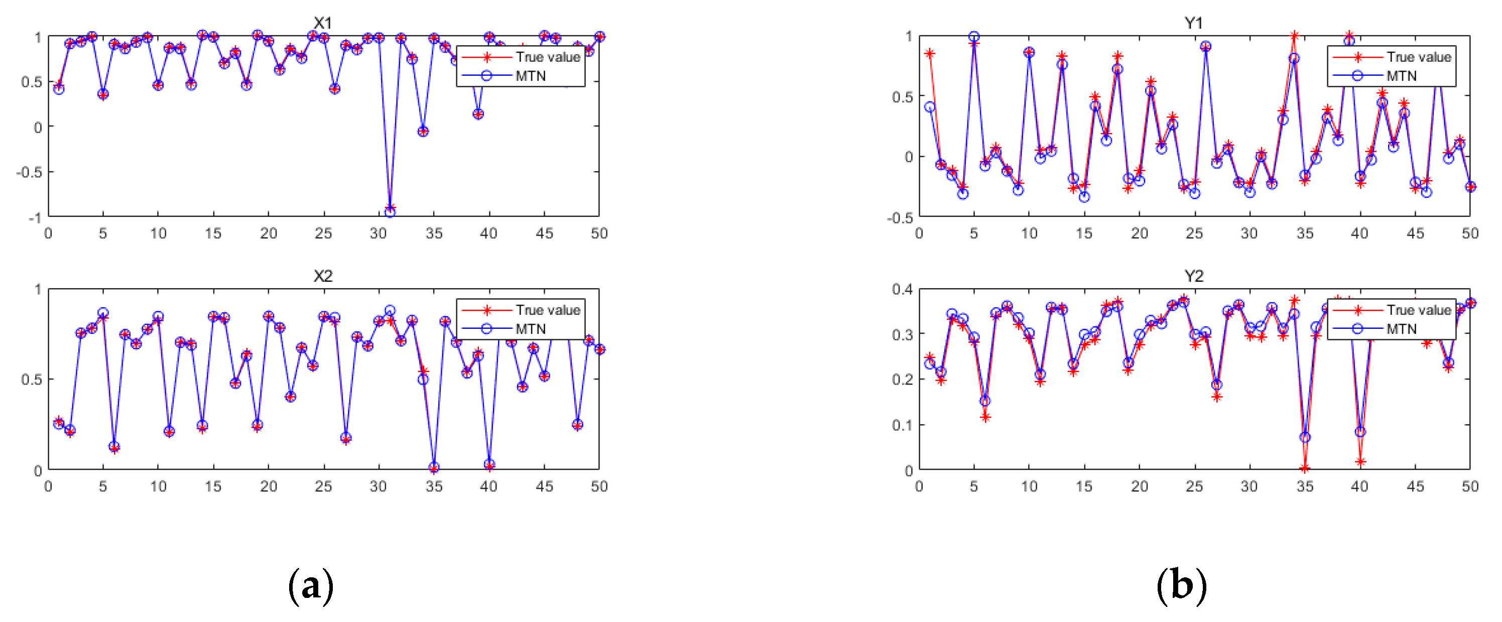
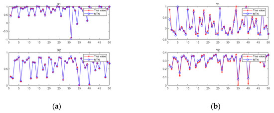
6.1. Case 1
6.2. Case 2
7. Conclusions
Author Contributions
Funding
Conflicts of Interest
References
- Kalman, R.E. A new approach to linear filtering and prediction problems. actions of the . Trans. ASME Ser. D J. Basic Eng. 1960, 82, 35–45. [Google Scholar] [CrossRef] [Green Version]
- Wen, C.; Wang, Z.; Liu, Q.; Alsaadi, F.E. Recursive distributed filtering for a class of state-saturated systems with fading measurements and quantization effects. IEEE Trans. Syst. Man Cybern. Syst. 2016, 48, 930–941. [Google Scholar] [CrossRef]
- Wen, C.; Wang, Z.; Hu, J.; Liu, Q.; Alsaadi, F.E. Rlsaadi. Recursive fifiltering for state-saturated systems with randomly occurring nonlinearities and missing measurements. Int. J. Robust Nonlinear Control. 2018, 28, 1715–1727. [Google Scholar] [CrossRef]
- Ge, Q.; Shao, T.; Duan, Z.; Wen, C. Performance Analysis of the Kalman Filter with Mismatched Noise Covariances. IEEE Trans. Autom. Control. 2016, 61, 4014–4019. [Google Scholar] [CrossRef]
- Wen, C.; Cheng, X.; Xu, D.; Wen, C. Filter design based on characteristic functions for one class of multi-dimensional nonlinear non-Gaussian systems. Automatica 2017, 82, 171–180. [Google Scholar] [CrossRef]
- Arulampalam, M.S.; Maskell, S.; Gordon, N.; Clapp, T. A tutorial on particle filters for online nonlinear/non-Gaussian Bayesian tracking. IEEE Trans. Signal Process. 2002, 50, 174–188. [Google Scholar] [CrossRef] [Green Version]
- Feng, X.; Wen, C.; Park, J.H. Sequential fusion ∞ filtering for multi-rate multi-sensor time-varying systems—A Krein-space approach. IET Control Theory Appl. 2017, 11, 369–381. [Google Scholar] [CrossRef]
- Chen, B.; Liu, X.; Zhao, H.; Principe, J.C. Maximum correntropy Kalman filter. Automatica 2017, 76, 70–77. [Google Scholar] [CrossRef] [Green Version]
- Liu, X.; Qu, H.; Zhao, J.; Chen, B. Extended Kalman filter under maximum correntropy criterion. In Proceedings of the 2016 International Joint Conference on Neural Networks, Vancouver, BC, Canada, 24–29 July 2016; pp. 1733–1737. [Google Scholar]
- Wang, G.; Li, N.; Zhang, Y. Maximum correntropy unscented Kalman and information filters for non-Gaussian measurement noise. J. Frankl. Inst. 2017, 354, 8659–8677. [Google Scholar] [CrossRef]
- Meinhold, R.J.; Singpurwalla, N.D. Robustification of Kalman filter models. J. Am. Stat. Assoc. 1989, 84, 479–486. [Google Scholar] [CrossRef]
- Wang, L.; Cheng, X.H.; Li, S.X. Gaussian Sum High Order Unscented Kalman Filtering Algorithm. Chin. J. Electron. 2017, 45, 424–430. [Google Scholar]
- Zhang, C.; Yan, H.S. Identification of nonlinear time varying system with noise based on multi-dimensional Taylor network with optimal structure. J. Southeast Univ. 2017, 47, 1086–1093. [Google Scholar]
- Wen, T.; Ge, Q.; Lyu, X.; Chen, L.; Constantinou, C.; Roberts, C.; Cai, B. A Cost-effective Wireless Network Migration Planning Method Supporting High-security Enabled Railway Data Communication Systems. J. Frankl. Inst. 2021, 358, 131–150. [Google Scholar] [CrossRef]
- Wen, T.; Wen, C.; Roberts, C.; Cai, B. Distributed Filtering for a Class of Discrete-time Systems Over Wireless Sensor Networks. J. Frankl. Inst. 2020, 357, 3038–3055. [Google Scholar] [CrossRef]
- Xiaohui, S.; Chenglin, W.; Tao, W. A Novel Step-by-Step High-Order Extended Kalman Filter Design for a Class of Complex Systems with Multiple Basic Multipliers. Chin. J. Electron. 2021, 30, 313–321. [Google Scholar] [CrossRef]
- Xiaohui, S.; Chenglin, W.; Tao, W. High-Order Extended Kalman Filter Design for a Class of Complex Dynamic Systems with Polynomial Nonlinearities. Chin. J. Electron. 2021, 30, 508–515. [Google Scholar] [CrossRef]
- Feng, X.; You, B. Random attractors for the two-dimensional stochastic g-Navier-Stokes equations. Stochastics 2019, 92, 613–626. [Google Scholar] [CrossRef]
- Liu, W.; Chi, Y.; Zhang, G. Multiple Resolvable Group Estimation Based on the GLMB Filter with Graph Structure. In Proceedings of the 2018 IEEE 8th Annual International Conference on CYBER Technology in Automation, Control, and Intelligent Systems (CYBER), Tianjin, China, 19–23 July 2018; pp. 960–964. [Google Scholar]
- Wu, Z.; Shi, J.; Zhang, X.; Ma, W.; Chen, B. Kernel recursive maximum correntropy. Signal Process. 2015, 117, 11–16. [Google Scholar] [CrossRef]
- Anderson, B.; Moore, J. Optimal Filtering; Prentice-Hall: New York, NY, USA, 1979. [Google Scholar]
- Julier, S.; Uhlmann, J.; Durrant-Whyte, H.F. A new method for the nonlinear transformation of means and covariances in filters and estimators. IEEE Trans. Autom. Control. 2000, 45, 477–482. [Google Scholar] [CrossRef] [Green Version]








| MCEKF | H-MCKF | H-MCKF_R | MCEKF | H-MCKF | H-MCKF_R | ||
|---|---|---|---|---|---|---|---|
| 0.2073 | 0.1815 | 0.1694 | 0.1000 | 0.0774 | 0.0738 | ||
| 0.1974 | 0.1244 | 0.1225 | 0.1100 | 0.0964 | 0.0921 | ||
| 0.2282 | 0.1669 | 0.1636 | 0.1158 | 0.0925 | 0.0888 | ||
| 0.2244 | 0.1602 | 0.1572 | 0.1160 | 0.0916 | 0.0880 | ||
| MCEKF | H-MCKF | H-MCKF_R | MCEKF | H-MCKF | H-MCKF_R | ||
|---|---|---|---|---|---|---|---|
| 0.3372 | 0.2405 | 0.2403 | 0.2354 | 0.2202 | 0.2084 | ||
| 0.3462 | 0.2953 | 0.2906 | 0.2679 | 0.2485 | 0.2448 | ||
| 0.3658 | 0.3052 | 0.2986 | 0.2745 | 0.2469 | 0.2426 | ||
| 0.3634 | 0.3009 | 0.2945 | 0.2753 | 0.2466 | 0.2419 | ||
| MCEKF | H-MCKF | H-MCKF_R | MCEKF | H-MCKF | H-MCKF_R | ||
|---|---|---|---|---|---|---|---|
| 0.4017 | 0.1230 | 0.1219 | 0.2090 | 0.0907 | 0.0883 | ||
| 0.1148 | 0.1241 | 0.1233 | 0.2542 | 0.1200 | 0.1183 | ||
| 0.3221 | 0.1254 | 0.1248 | 0.2220 | 0.1207 | 0.1193 | ||
| 0.4040 | 0.1257 | 0.1251 | 0.2218 | 0.1208 | 0.1196 | ||
| MCEKF | H-MCKF | H-MCKF_R | MCEKF | H-MCKF | H-MCKF_R | ||
|---|---|---|---|---|---|---|---|
| 0.5106 | 0.2337 | 0.2306 | 0.3742 | 0.2355 | 0.2316 | ||
| 0.2147 | 0.2551 | 0.2530 | 0.3070 | 0.2652 | 0.2645 | ||
| 0.4527 | 0.2570 | 0.2553 | 0.3824 | 0.2661 | 0.2659 | ||
| 0.4764 | 0.2575 | 0.2558 | 0.3789 | 0.2663 | 0.2662 | ||
Publisher’s Note: MDPI stays neutral with regard to jurisdictional claims in published maps and institutional affiliations. |
© 2021 by the authors. Licensee MDPI, Basel, Switzerland. This article is an open access article distributed under the terms and conditions of the Creative Commons Attribution (CC BY) license (https://creativecommons.org/licenses/by/4.0/).
Share and Cite
Wang, Q.; Sun, X.; Wen, C. Design Method for a Higher Order Extended Kalman Filter Based on Maximum Correlation Entropy and a Taylor Network System. Sensors 2021, 21, 5864. https://doi.org/10.3390/s21175864
Wang Q, Sun X, Wen C. Design Method for a Higher Order Extended Kalman Filter Based on Maximum Correlation Entropy and a Taylor Network System. Sensors. 2021; 21(17):5864. https://doi.org/10.3390/s21175864
Chicago/Turabian StyleWang, Qiupeng, Xiaohui Sun, and Chenglin Wen. 2021. "Design Method for a Higher Order Extended Kalman Filter Based on Maximum Correlation Entropy and a Taylor Network System" Sensors 21, no. 17: 5864. https://doi.org/10.3390/s21175864
APA StyleWang, Q., Sun, X., & Wen, C. (2021). Design Method for a Higher Order Extended Kalman Filter Based on Maximum Correlation Entropy and a Taylor Network System. Sensors, 21(17), 5864. https://doi.org/10.3390/s21175864
