Bayesian Learning-Based Clustered-Sparse Channel Estimation for Time-Varying Underwater Acoustic OFDM Communication †
Abstract
:1. Introduction
- To estimate the time-varying multipath channel with colored noise, we propose a novel Bayesian learning-based channel estimation architecture for UWA-OFDM systems. Specifically, a clustered-sparse channel distribution model is constructed to characterize the delay power spectrum and temporal correlation of each cluster in the multipath channel, and a noise-resistant channel measurement model is constructed to reduce the noise disturbance. By learning the model hyperparameters, the Bayesian channel estimation based on the two models can be iteratively optimized.
- To obtain the clustered-sparse distribution, we propose a partition-based clustered-sparse Bayesian learning (PB-CSBL) algorithm. Through the cluster partition, different clusters can learn different channel correlation coefficients, and thus the inter-cluster interference of the multipath channel can be suppressed.
- To lessen the effect of strong colored noise, we propose a noise-corrected clustered-sparse channel estimation (NC-CSCE) algorithm. Based on the iterative symbol decision and noise correction, the more accurate hyperparameters of the models can be obtained, which can improve the accuracy of the Bayesian channel estimation.
2. Related Works
3. System Architecture and Channel Models
3.1. Bayesian Learning-Based Channel Estimation Architecture
- Uppercase and lowercase bold symbols are reserved for matrices and vectors, respectively. Particularly, denotes the identity matrix with size . When the dimension is evident from the context, for simplicity, we only used ;
- and represent the transpose and conjugate transpose of , respectively;
- ⊗ denotes the Kronecker product of the two matrices and ;
- denotes the vectorization of formed by stacking its columns into a single column vector;
- denotes the trace of ;
- denotes a Toeplitz matrix taking as first row;
- or denotes a diagonal matrix with principal diagonal elements being in turn; denotes a block diagonal matrix with principal diagonal blocks being the square matrices in turn;
- If is a square matrix, denotes a diagonal matrix with principal diagonal elements being the principal diagonal elements of in turn.
- If some terms in a cost function do not contribute to the subsequent optimization of the parameters, ∝ is used to indicate that these terms have been dropped.
3.2. Noise-Resistant Channel Measurement Model
3.3. Clustered-Sparse Channel Distribution Model
4. Bayesian Learning-Based Clustered-Sparse Channel Estimation
4.1. Bayesian Channel Estimation
4.2. Cluster Distribution Learning
4.3. Partition-Based Clustered-Sparse Bayesian Learning Algorithm
| Algorithm 1: Partition-Based Clustered-Sparse Bayesian Learning Algorithm |
| Input: the received pilot signal ; the dictionary matrix ; the noise variance ; |
| the length of discrete paths L; the maximum number of iterations ; |
| the maximum number of discrete paths in one cluster ; the threshold for |
| prunning small hyperparameters ; the threshold to stop the whole |
| algorithm . |
| Initialize: the list of path power ; the number of clusters ; |
| the list of cluster structure : , and the delay range of |
| the 1st cluster ; the iteration counter . |
| Channel Estimation: |
| 1: . |
| 2: . |
| 3: . |
| Cluster Evolution: |
| 4: for do |
| 5: for do |
| 6: , and update with . |
| 7: end for |
| 8: . |
| 9: using the most significant continuous paths. |
| 10: , where and can be obtained through . |
| 11: end for |
| Cluster Partition: |
| 12: FindIndex. |
| 13: if is not empty then |
| 14: and . |
| 15: Split(, ), where is splitted into C clusters |
| according to . |
| 16: FindIndex and . |
| 17: end if |
| 18: for do |
| 19: Update , and in according to , and , respectively. |
| 20: end for |
| Check stopping conditions: |
| 21: . |
| 22: return the sub-part of until or |
| . |
| Output: the pruned channel with the covariance matrix and the |
| cluster list . |
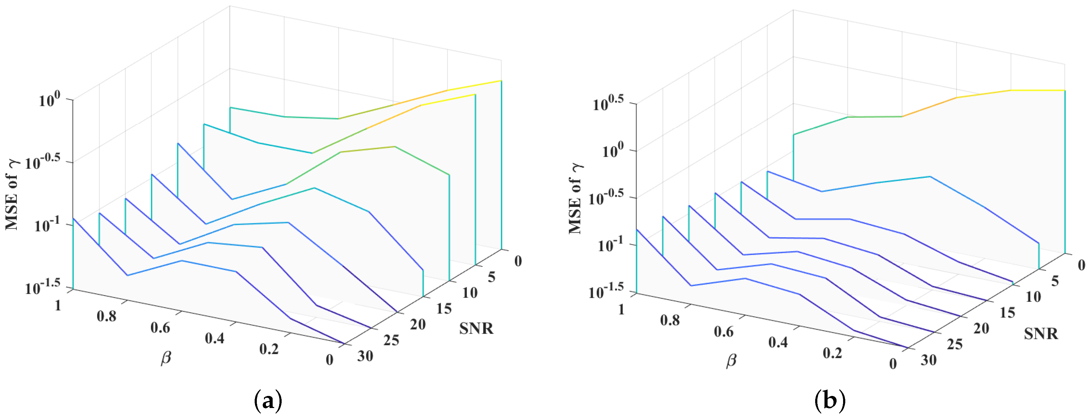
4.4. Complexity and Performance Analysis
- (1)
- The temporal correlation coefficient .In this case, there is no temporal correlation among CIRs. It is assumed that each transmitted symbol is normalized to unit power. Then, the MSE bound of can be expressed bywhere , and controls the variance of the lth channel coefficient.
- (2)
- The temporal correlation coefficientIn this case, the CIRs are time-invariant across M OFDM blocks. Thus, the additive noise variance can be reduced to , and the MSE bound of can be expressed by
5. Noise-Corrected Clustered-Sparse Channel Estimation
5.1. Noise-Resistant Bayesian Channel Estimation
5.2. Data Detection and Noise Measurement
5.3. Noise-Corrected Clustered-Sparse Channel Estimation Algorithm
5.4. Complexity and Performance Analysis
| Algorithm 2: Noise-Corrected Clustered-Sparse Channel Estimation Algorithm |
| Input: the received signal ; the noise variance ; the length of discreted paths L; |
| the maximum number of iterations ; the maximun number of discreted |
| paths in one cluster ; the threshold for prunning small |
| hyperparameters ; the threshold to stop the whole algorithm . |
| Initialize: The PB-CSBL algorithm is utilized to obtain the posterior mean |
| and covariance matrix ; the noise vector ; the list of path |
| power ; the iteration counter . |
| Cluster Evolution: |
| 1: for do |
| 2: for do |
| 3: , and update with . |
| 4: end for |
| 5: . |
| 6: using the most significant continuous paths. |
| 7: , where and can be obtained through . |
| 8: end for |
| Cluster Partition: |
| 9: FindIndex. |
| 10: if is not empty then |
| 11: and . |
| 12: Split(, ), where is splitted into C clusters according |
| to . |
| 13: end if |
| 14: for do |
| 15: Update , and in according to , and , respectively. |
| 16: end for |
| Data Detection: |
| 17: Refer to (36) and (37). |
| Noise Measurement: |
| 18: Update the noise vector according to (38). |
| Channel Estimation: |
| 19: . |
| 20: Obtain according to (11). |
| 21: FindIndex and . |
| 22: Refer to (32) and (33). |
| Check stopping conditions: |
| 23: . |
| 24: return the sub-part of until or . |
| Output: the pruned channel with the covariance matrix , the cluster list , |
| the noise vector , and the transmitted data symbols for . |
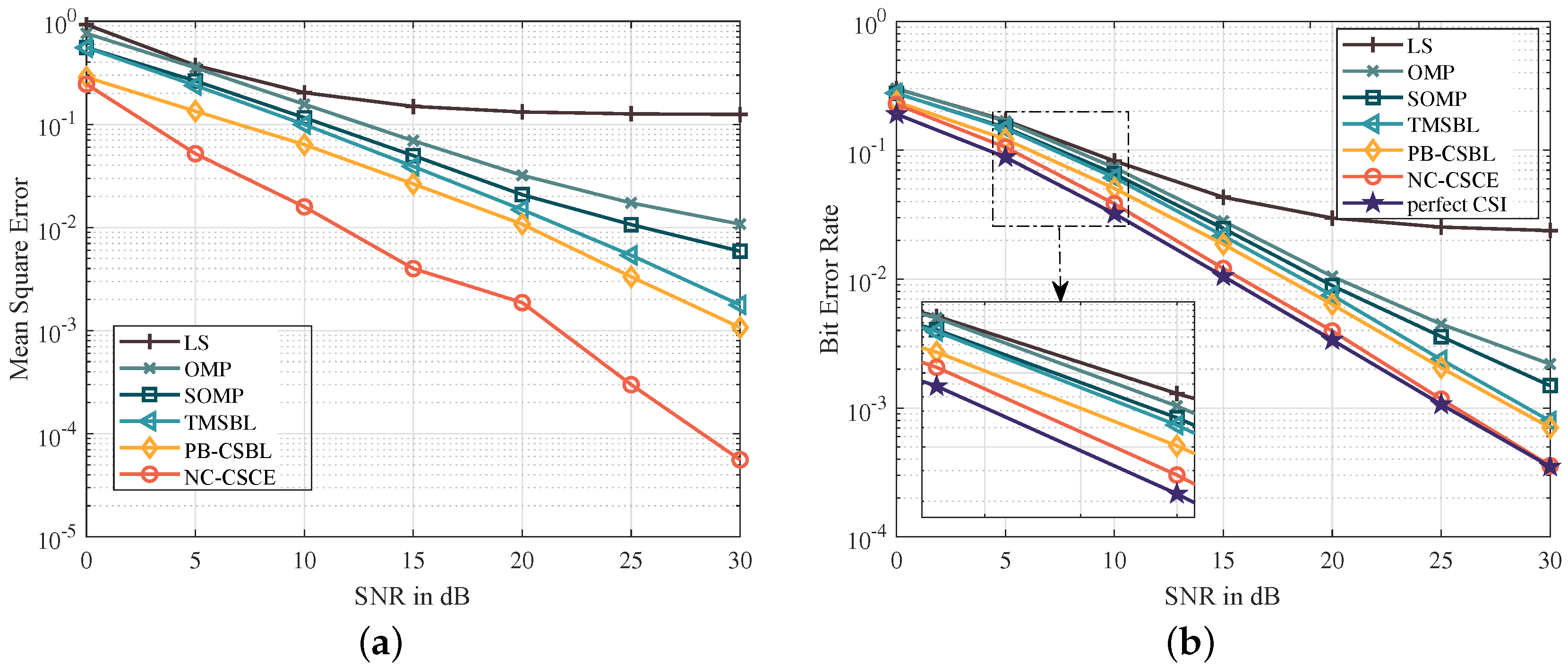
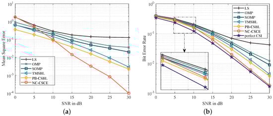
6. Evaluation and Result Analysis
6.1. Simulation Results
6.2. Lake Experimental Results
7. Conclusions
Author Contributions
Funding
Institutional Review Board Statement
Informed Consent Statement
Data Availability Statement
Conflicts of Interest
References
- Climent, S.; Sanchez, A.; Capella, J.; Meratnia, N.; Serrano Martín, J. Underwater Acoustic Wireless Sensor Networks: Advances and Future Trends in Physical, MAC and Routing Layers. Sensors 2014, 14, 795–833. [Google Scholar] [CrossRef]
- Stojanovic, M.; Preisig, J. Underwater acoustic communication channels: Propagation models and statistical characterization. IEEE Commun. Mag. 2009, 47, 84–89. [Google Scholar] [CrossRef]
- Coatelan, S.; Glavieux, A. Design and test of a multicarrier transmission system on the shallow water acoustic channel. In Proceedings of the OCEANS’94, Brest, France, 13–16 September 1994; Volume 3, pp. III/472–III/477. [Google Scholar] [CrossRef]
- Zhou, S.; Wang, Z. OFDM for Underwater Acoustic Communications, 1st ed.; Wiley Publishing: Hoboken, NJ, USA, 2014. [Google Scholar]
- Wen, M.; Cheng, X.; Yang, L.; Li, Y.; Cheng, X.; Ji, F. Index modulated OFDM for underwater acoustic communications. IEEE Commun. Mag. 2016, 54, 132–137. [Google Scholar] [CrossRef]
- Basar, E.; Aygolu, U.; Panayirci, E.; Poor, H.V. Orthogonal Frequency Division Multiplexing With Index Modulation. IEEE Trans. Signal Process. 2013, 61, 5536–5549. [Google Scholar] [CrossRef]
- Wan, L.; Zhou, H.; Xu, X.; Huang, Y.; Zhou, S.; Shi, Z.; Cui, J. Adaptive Modulation and Coding for Underwater Acoustic OFDM. IEEE J. Ocean. Eng. 2015, 40, 327–336. [Google Scholar] [CrossRef]
- Zhang, Y.; Huang, Y.; Wan, L.; Zhou, H.; Zhou, S.; Shen, X.; Wang, H. Adaptive OFDMA for downlink underwater acoustic communications. In Proceedings of the 2014 Oceans-St. John’s, St. John’s, NL, Canada, 14–19 September 2014; pp. 1–5. [Google Scholar] [CrossRef]
- Badiey, M.; Yongke, M.; Simmen, J.A.; Forsythe, S.E. Signal variability in shallow-water sound channels. IEEE J. Ocean. Eng. 2000, 25, 492–500. [Google Scholar] [CrossRef]
- Preisig, J.C.; Deane, G.B. Surface wave focusing and acoustic communications in the surf zone. J. Acoust. Soc. Am. 2004, 116, 2067–2080. [Google Scholar] [CrossRef]
- Song, A.; Mohsen, B.; Song, H.C.; Hodgkiss, W.S.; Porter, M.B. Impact of ocean variability on coherent underwater acoustic communications during the Kauai experiment (KauaiEx). J. Acoust. Soc. Am. 2008, 123, 856–865. [Google Scholar] [CrossRef] [Green Version]
- Rouseff, D.; Badiey, M.; Song, A. Effect of reflected and refracted signals on coherent underwater acoustic communication: Results from the Kauai experiment (KauaiEx 2003). J. Acoust. Soc. Am. 2009, 126, 2359–2366. [Google Scholar] [CrossRef]
- Song, A.; Badiey, M.; Newhall, A.E.; Lynch, J.F.; Deferrari, H.A.; Katsnelson, B.G. Passive Time Reversal Acoustic Communications Through Shallow-Water Internal Waves. IEEE J. Ocean. Eng. 2010, 35, 756–765. [Google Scholar] [CrossRef] [Green Version]
- Wang, Z.; Zhou, S.; Preisig, J.C.; Pattipati, K.R.; Willett, P. Clustered Adaptation for Estimation of Time-Varying Underwater Acoustic Channels. IEEE Trans. Signal Process. 2012, 60, 3079–3091. [Google Scholar] [CrossRef]
- Qiao, G.; Song, Q.; Ma, L.; Sun, Z.; Zhang, J. Channel prediction based temporal multiple sparse bayesian learning for channel estimation in fast time-varying underwater acoustic OFDM communications. Signal Process. 2020, 175, 107668. [Google Scholar] [CrossRef]
- Wang, S.; Li, D.; Liu, M.; Huang, W.; Chen, H.; Cen, Y. Clustered-Sparse Bayesian Learning for Channel Estimation in Underwater Acoustic OFDM Systems. In Proceedings of the 2020 International Conference on Wireless Communications and Signal Processing (WCSP), Nanjing, China, 21–23 October 2020; pp. 546–551. [Google Scholar] [CrossRef]
- Enguix, I.F.; Egea, M.S.; González, A.G.; Arenas, D. Acoustic Characterization of Impulsive Underwater Noise Present in Port Facilities: Practical Case in the Port of Cartagena. Proceedings 2018, 4, 5755. [Google Scholar] [CrossRef] [Green Version]
- Li, W.; Preisig, J.C. Estimation of Rapidly Time-Varying Sparse Channels. IEEE J. Ocean. Eng. 2007, 32, 927–939. [Google Scholar] [CrossRef]
- Stojanovic, M. OFDM for underwater acoustic communications: Adaptive synchronization and sparse channel estimation. In Proceedings of the 2008 IEEE International Conference on Acoustics, Speech and Signal Processing, Las Vegas, NV, USA, 31 March–4 April 2008; pp. 5288–5291. [Google Scholar]
- Geng, X.; Zielinski, A. An eigenpath underwater acoustic communication channel model. In Proceedings of the ‘Challenges of Our Changing Global Environment’, OCEANS ’95 MTS/IEEE, San Diego, CA, USA, 9–12 October 1995. [Google Scholar]
- Yang, T.C. Characteristics of underwater acoustic communication channels in shallow water. In Proceedings of the OCEANS 2011 IEEE–Spain, Santander, Spain, 6–9 June 2011. [Google Scholar]
- Rani, M.; Dhok, S.B.; Deshmukh, R.B. A Systematic Review of Compressive Sensing: Concepts, Implementations and Applications. IEEE Access 2018, 6, 4875–4894. [Google Scholar] [CrossRef]
- Khan, M.R.; Das, B.; Pati, B.B. Channel estimation strategies for underwater acoustic (UWA) communication: An overview. J. Frankl. Inst. 2020, 357, 7229–7265. [Google Scholar] [CrossRef]
- Uwaechia, A.N.; Mahyuddin, N.M. A Review on Sparse Channel Estimation in OFDM System Using Compressed Sensing. IETE Tech. Rev. 2017, 34, 514–531. [Google Scholar] [CrossRef]
- Berger, C.R.; Zhou, S.; Preisig, J.C.; Willett, P. Sparse Channel Estimation for Multicarrier Underwater Acoustic Communication: From Subspace Methods to Compressed Sensing. IEEE Trans. Signal Process. 2010, 58, 1708–1721. [Google Scholar] [CrossRef] [Green Version]
- Needell, D.; Tropp, J.A. CoSaMP Iterative signal recovery from incomplete and inaccurate samples. Appl. Comput. Harmon. Anal. 2009, 26, 301–321. [Google Scholar] [CrossRef] [Green Version]
- Zhou, Y.H.; Tong, F.; Zhang, G.Q. Distributed compressed sensing estimation of underwater acoustic OFDM channel. Appl. Acoust. 2017, 117, 160–166. [Google Scholar] [CrossRef]
- Yin, Y.; Liu, S.; Qiao, G.; Yang, Y. OFDM Demodulation Using Virtual Time Reversal Processing in Underwater Acoustic Communications. J. Comput. Acoust. 2015, 23, 1540011. [Google Scholar] [CrossRef]
- Wipf, D.P.; Rao, B.D. Sparse Bayesian learning for basis selection. IEEE Trans. Signal Process. 2004, 52, 2153–2164. [Google Scholar] [CrossRef]
- Prasad, R.; Murthy, C.R. Bayesian Learning for Joint Sparse OFDM Channel Estimation and Data Detection. In Proceedings of the Global Telecommunications Conference (GLOBECOM 2010), Miami, FL, USA, 6–10 December 2010. [Google Scholar]
- Prasad, R.; Murthy, C.R.; Rao, B.D. Joint Approximately Sparse Channel Estimation and Data Detection in OFDM Systems Using Sparse Bayesian Learning; IEEE Press: Piscataway, NJ, USA, 2014. [Google Scholar]
- Qiao, G.; Song, Q.; Ma, L.; Liu, S.; Sun, Z.; Gan, S. Sparse Bayesian Learning For Channel Estimation In Time-varying Underwater Acoustic OFDM Communication. IEEE Access 2018, 56675–56684. [Google Scholar] [CrossRef]
- Bajwa, W.U.; Haupt, J.; Sayeed, A.M.; Nowak, R. Compressed Channel Sensing: A New Approach to Estimating Sparse Multipath Channels. Proc. IEEE 2010, 98, 1058–1076. [Google Scholar] [CrossRef]
- Liu, S.; Wu, H.; Huang, Y.; Yang, Y.; Jia, J. Accelerated Structure-Aware Sparse Bayesian Learning for Three-Dimensional Electrical Impedance Tomography. IEEE Trans. Ind. Inform. 2019, 15, 5033–5041. [Google Scholar] [CrossRef]
- Ye, H.; Li, G.Y.; Juang, B. Power of Deep Learning for Channel Estimation and Signal Detection in OFDM Systems. IEEE Wirel. Commun. Lett. 2018, 7, 114–117. [Google Scholar] [CrossRef]
- Jiang, R.; Wang, X.; Cao, S.; Zhao, J.; Li, X. Deep Neural Networks for Channel Estimation in Underwater Acoustic OFDM Systems. IEEE Access 2019, 7, 23579–23594. [Google Scholar] [CrossRef]
- Zhang, Y.; Li, J.; Zakharov, Y.; Li, X.; Li, J. Deep learning based underwater acoustic OFDM communications. Appl. Acoust. 2019, 154, 53–58. [Google Scholar] [CrossRef]
- Stojanovic, M. Low Complexity OFDM Detector for Underwater Acoustic Channels. In Proceedings of the OCEANS 2006, Boston, MA, USA, 18–21 September 2006; pp. 1–6. [Google Scholar]
- Li, B.; Zhou, S.; Stojanovic, M.; Freitag, L.; Willett, P. Multicarrier Communication Over Underwater Acoustic Channels With Nonuniform Doppler Shifts. IEEE J. Ocean. Eng. 2008, 33, 198–209. [Google Scholar]
- Kim, B.-C.; Lu, I.T. Parameter study of OFDM underwater communications system. In Proceedings of the OCEANS 2000 MTS/IEEE Conference and Exhibition, (Cat. No.00CH37158), Providence, RI, USA, 11–14 September 2000; Volume 2, pp. 1251–1255. [Google Scholar] [CrossRef]
- Zhang, Z.; Rao, B.D. Sparse Signal Recovery with Temporally Correlated Source Vectors Using Sparse Bayesian Learning. IEEE J. Sel. Top. Signal Process. 2011, 5, 912–926. [Google Scholar] [CrossRef] [Green Version]








| LS | OMP | SOMP | TMSBL | PB-CSBL |
|---|---|---|---|---|
| Parameters | Notations | Values of the Simulations | Values of the Lake Trial |
|---|---|---|---|
| Bandwidth | B | 1.6 kHz | 5 kHz |
| Carrier frequency | 2.5 kHz | 20 kHz | |
| Sampling frequency | 12.5 kHz | 100 kHz | |
| Number of subcarriers | K | 256 | 256 |
| Number of data subcarriers | 218 | 193 | |
| Number of pilot subcarriers | 14 | 32 | |
| Number of null subcarriers | 24 | 31 | |
| Symbol duration without CP | T | 160 ms | 51.2 ms |
| CP length | 10 ms | 25.6 ms | |
| Blocks in one frame | M | 4 | 5 |
Publisher’s Note: MDPI stays neutral with regard to jurisdictional claims in published maps and institutional affiliations. |
© 2021 by the authors. Licensee MDPI, Basel, Switzerland. This article is an open access article distributed under the terms and conditions of the Creative Commons Attribution (CC BY) license (https://creativecommons.org/licenses/by/4.0/).
Share and Cite
Wang, S.; Liu, M.; Li, D. Bayesian Learning-Based Clustered-Sparse Channel Estimation for Time-Varying Underwater Acoustic OFDM Communication. Sensors 2021, 21, 4889. https://doi.org/10.3390/s21144889
Wang S, Liu M, Li D. Bayesian Learning-Based Clustered-Sparse Channel Estimation for Time-Varying Underwater Acoustic OFDM Communication. Sensors. 2021; 21(14):4889. https://doi.org/10.3390/s21144889
Chicago/Turabian StyleWang, Shuaijun, Mingliu Liu, and Deshi Li. 2021. "Bayesian Learning-Based Clustered-Sparse Channel Estimation for Time-Varying Underwater Acoustic OFDM Communication" Sensors 21, no. 14: 4889. https://doi.org/10.3390/s21144889
APA StyleWang, S., Liu, M., & Li, D. (2021). Bayesian Learning-Based Clustered-Sparse Channel Estimation for Time-Varying Underwater Acoustic OFDM Communication. Sensors, 21(14), 4889. https://doi.org/10.3390/s21144889

