Optimization of End-to-End Convolutional Neural Networks for Analysis of Out-of-Hospital Cardiac Arrest Rhythms during Cardiopulmonary Resuscitation
Abstract
1. Introduction
2. Materials and Methods
2.1. ECG Databases
- Coarse ventricular fibrillation (VF) with peak-to-peak ECG amplitude >200 μV;
- Organized rhythm (OR), including normal sinus rhythm, atrial flutter/fibrillation, premature atrial and ventricular contractions, heart blocks, supraventricular tachycardia, sinus bradycardia and idioventricular rhythms;
- Asystole with peak-to-peak ECG amplitude <100 μV.
- 596 interventions in 2011 [39] used for validation;
- 1545 interventions in 2017 used for the test. These interventions respected a strict inclusion criterion of CC-ECG strips with CC duration ≥10 s before the annotation window. This inclusion criterion was applied in order to guarantee fair report of the test performance of a DNN algorithm that should be run in presence of CC. The presented test database was novel and not used in any previous study.
2.2. CNN Architecture
- CONV1D: The 1D Convolution layer of the ith convolutional block contained Fi filters with kernel size (Ki). The output of the fth filter (f = 1,2,…Fi) was computed as:where:
- -
- i = [1, 2,…N] identified the sequential number of the convolutional layer;
- -
- Si was the input vector of the ith convolutional layer, with size (Li);
- -
- j = [0, 1, … Li − Ki + 1] indexed the output feature vector, applying convolutional operation with a valid padding [53];
- -
- , denoted the weights and biases of the ith convolution kernel, respectively;
- -
- Ψ was the applied rectified linear unit activation function ReLU.
- MAXPOOL (pool size = MP): Down-sampled the CONV1D layer output () with size (Li − Ki + 1) × Fi by applying maximum operation over non-overlapping segments of the feature vector , thus generating a new feature vector with MP times smaller width ( ).
- DROPOUT: This regularization layer with a dropout rate α ∈ [0; 1] was applied to avoid overfitting and improved the generalization during training. It generated an output vector ( ) with portion of ‘0’ nodes equal to α. In the test process , the input signal for the next convolutional layer was Si+1 = .
2.3. CNN Optimization
- N = {2, 3, 4, 5, 6, 7};
- Fi = {5, 10, 15, 20, 25, 30, 40, 50};
- Ki = {5, 10, 15, 20, 25, 30, 40, 50, 60, 70, 85, 100};
- The vectors {Fi} and {Ki} were designed to follow a decreasing, increasing or constant trend from top to bottom (i = 1, 2, …N) in the same model (Figure 3).
- MP = 2 in MAXPOOL layer. This is the minimal value that allowed conditions to build deeper networks by gradual subsampling by two of the feature space after each convolutional block N;
2.4. CNN Training
3. Results
3.1. HP Optimization
3.2. Optimal CNN Model
3.3. CNN Features
3.4. SNR Impact
3.5. Impact of the Chest Compression Rate
4. Discussion
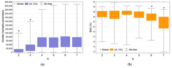
- Significant inferiority of all deepest models with 6 and 7 convolutional layers, suggesting that maximal shrinkage of the feature space has deteriorating impact on performance (Figure 5b).
5. Limitations
6. Conclusions
Author Contributions
Funding
Institutional Review Board Statement
Informed Consent Statement
Data Availability Statement
Acknowledgments
Conflicts of Interest
References
- Panchal, A.R.; Bartos, J.A.; Cabañas, J.G.; Donnino, M.W.; Drennan, I.R.; Hirsch, K.G.; Kudenchuk, P.J.; Kurz, M.C.; Lavonas, E.J.; Morley, P.T.; et al. Part 3: Adult Basic and Advanced Life Support: 2020 American Heart Association Guidelines for Cardiopulmonary Resuscitation and Emergency Cardiovascular Care. Circulation 2020, 142, S366–S468. [Google Scholar] [CrossRef] [PubMed]
- Olasveengen, T.M.; Semeraro, F.; Ristagno, G.; Castren, M.; Handley, A.; Kuzovlev, A.; Monsieurs, K.G.; Raffay, V.; Smyth, M.; Soar, J.; et al. European Resuscitation Council Guidelines 2021: Basic Life Support. Resuscitation 2021, 161, 98–114. [Google Scholar] [CrossRef]
- Hollenbeck, R.D.; McPherson, J.A.; Mooney, M.R.; Unger, B.T.; Patel, N.C.; McMullan, P.W., Jr.; Hsu, C.H.; Seder, D.B.; Kern, K.B. Early cardiac catheterization is associated with improved survival in comatose survivors of cardiac arrest without STEMI. Resuscitation 2014, 85, 88–95. [Google Scholar] [CrossRef] [PubMed]
- Khan, M.S.; Shah, S.M.M.; Mubashir, A.; Khan, A.R.; Fatima, K.; Schenone, A.L.; Khosa, F.; Samady, H.; Menon, V. Early coronary angiography in patients resuscitated from out of hospital cardiac arrest without ST-segment elevation: A systematic review and meta-analysis. Resuscitation 2017, 121, 127–134. [Google Scholar] [CrossRef] [PubMed]
- Sell, R.E.; Sarno, R.; Lawrence, B.; Castillo, E.M.; Fisher, R.; Brainard, C.; Dunford, J.V.; Davis, D.P. Minimizing pre-and post-defibrillation pauses increases the likelihood of return of spontaneous circulation (ROSC). Resuscitation 2010, 81, 822–825. [Google Scholar] [CrossRef] [PubMed]
- Pierce, A.E.; Roppolo, L.P.; Owens, P.C.; Pepe, P.E.; Idris, A.H. The need to resume chest compressions immediately after defibrillation attempts: An analysis of post-shock rhythms and duration of pulselessness following out-of-hospital cardiac arrest. Resuscitation 2015, 89, 162–168. [Google Scholar] [CrossRef]
- Telesz, B.J.; Hess, E.P.; Atkinson, E.; White, R.D. Recurrent ventricular fibrillation: Experience with first responders prior to advanced life support interventions. Resuscitation 2015, 88, 138–142. [Google Scholar] [CrossRef]
- Jost, D.; Degrange, H.; Verret, C.; Hersan, O.; Banville, I.L.; Chapman, F.W.; Lank, P.; Petit, J.L.; Fuilla, C.; Migliani, R.; et al. DEFI 2005. Circulation 2010, 121, 1614–1622. [Google Scholar] [CrossRef]
- Berdowski, J.; Haaf, M.T.; Tijssen, J.G.; Chapman, F.W.; Koster, R.W. Time in Recurrent Ventricular Fibrillation and Survival After Out-of-Hospital Cardiac Arrest. Circulation 2010, 122, 1101–1108. [Google Scholar] [CrossRef]
- Didon, J.-P.; Ménétré, S.; Jekova, I.; Stoyanov, T.; Krasteva, V. Analyze Whilst Compressing algorithm for detection of ventricular fibrillation during CPR: A comparative performance evaluation for automated external defibrillators. Resuscitation 2021, 160, 94–102. [Google Scholar] [CrossRef]
- Hu, Y.; Tang, H.; Liu, C.; Jing, D.; Zhu, H.; Zhang, Y.; Yu, X.; Zhang, G.; Xu, J. The performance of a new shock advisory algorithm to reduce interruptions during CPR. Resuscitation 2019, 143, 1–9. [Google Scholar] [CrossRef]
- Fumagalli, F.; Silver, A.E.; Tan, Q.; Zaidi, N.; Ristagno, G. Cardiac rhythm analysis during ongoing cardiopulmonary resuscitation using the Analysis During Compressions with Fast Reconfirmation technology. Heart Rhythm 2018, 15, 248–255. [Google Scholar] [CrossRef]
- de Graaf, C.; Beesems, S.G.; Oud, S.; Stickney, R.E.; Piraino, D.W.; Chapman, F.W.; Koster, R.W. Analyzing the heart rhythm during chest compressions: Performance and clinical value of a new AED algorithm. Resuscitation 2021, 162, 320–328. [Google Scholar] [CrossRef]
- Kerber, R.E.; Becker, L.B.; Bourland, J.D.; Cummins, R.O.; Hallstrom, A.P.; Michos, M.B.; Nichol, G.; Ornato, J.P.; Thies, W.H.; White, R.D.; et al. Automatic External Defibrillators for Public Access Defibrillation: Recommendations for Specifying and Reporting Arrhythmia Analysis Algorithm Performance, Incorporating New Waveforms, and Enhancing Safety. Circulation 1997, 95, 1677–1682. [Google Scholar] [CrossRef]
- Isasi, I.; Irusta, U.; Rad, A.B.; Aramendi, E.; Zabihi, M.; Eftestol, T.; Kramer-Johansen, J.; Wik, L. Automatic Cardiac Rhythm Classification With Concurrent Manual Chest Compressions. IEEE Access 2019, 7, 115147–115159. [Google Scholar] [CrossRef]
- Isasi, I.; Irusta, U.; Elola, A.; Aramendi, E.; Eftestol, T.; Kramer-Johansen, J.; Wik, L. A Robust Machine Learning Architecture for a Reliable ECG Rhythm Analysis during CPR. In Proceedings of the 41st Annual International Conference of the IEEE Engineering in Medicine and Biology Society, Berlin, Germany, 23–27 July 2019; pp. 1903–1907. [Google Scholar] [CrossRef]
- Isasi, I.; Irusta, U.; Aramendi, E.; Idris, A.H.; Sörnmo, L. Restoration of the electrocardiogram during mechanical cardiopulmonary resuscitation. Physiol. Meas. 2020, 41, 105006. [Google Scholar] [CrossRef] [PubMed]
- Irusta, U.; Ruiz, J.; de Gauna, S.R.; Eftestøl, T.; Kramer-Johansen, J. A Least Mean-Square Filter for the Estimation of the Cardiopulmonary Resuscitation Artifact Based on the Frequency of the Compressions. IEEE Trans. Biomed. Eng. 2009, 56, 1052–1062. [Google Scholar] [CrossRef] [PubMed]
- Ayala, U.; Irusta, U.; Ruiz, J.; Eftestøl, T.; Kramer-Johansen, J.; Alonso-Atienza, F.; Alonso, E.; González-Otero, D. A Reliable Method for Rhythm Analysis during Cardiopulmonary Resuscitation. Biomed Res. Int. 2014, 2014, 872470. [Google Scholar] [CrossRef] [PubMed]
- Ruiz, J.; Irusta, U.; De Gauna, S.R.; Eftestøl, T. Cardiopulmonary resuscitation artefact suppression using a Kalman filter and the frequency of chest compressions as the reference signal. Resuscitation 2010, 81, 1087–1094. [Google Scholar] [CrossRef]
- Aramendi, E.; Ayala, U.; Irusta, U.; Alonso, E.; Eftestøl, T.; Kramer-Johansen, J. Suppression of the cardiopulmonary resuscitation artefacts using the instantaneous chest compression rate extracted from the thoracic impedance. Resuscitation 2012, 83, 692–698. [Google Scholar] [CrossRef]
- Babaeizadeh, S.; Firoozabadi, R.; Han, C.; Helfenbein, E.D. Analyzing cardiac rhythm in the presence of chest compression artifact for automated shock advisory. J. Electrocardiol. 2014, 47, 798–803. [Google Scholar] [CrossRef]
- Gong, Y.; Gao, P.; Wei, L.; Dai, C.; Zhang, L.; Li, Y. An Enhanced Adaptive Filtering Method for Suppressing Cardiopulmonary Resuscitation Artifact. IEEE Trans. Biomed. Eng. 2016, 64, 471–478. [Google Scholar] [CrossRef]
- Berger, R.D.; Palazzolo, J.; Halperin, H. Rhythm discrimination during uninterrupted CPR using motion artifact reduction system. Resuscitation 2007, 75, 145–152. [Google Scholar] [CrossRef] [PubMed]
- Tan, Q.; Freeman, G.A.; Geheb, F.; Bisera, J. Electrocardiographic analysis during uninterrupted cardiopulmonary resuscitation. Crit. Care Med. 2008, 36, S409–S412. [Google Scholar] [CrossRef] [PubMed]
- Rheinberger, K.; Steinberger, T.; Unterkofler, K.; Baubin, M.; Klotz, A.; Amann, A. Removal of CPR Artifacts from the Ventricular Fibrillation ECG by Adaptive Regression on Lagged Reference Signals. IEEE Trans. Biomed. Eng. 2007, 55, 130–137. [Google Scholar] [CrossRef] [PubMed]
- Husøy, J.H.; Eilevstjønn, J.; Eftestøl, T.; Aase, S.O.; Myklebust, H.; Steen, P.A. Removal of cardiopulmonary resuscitation artifacts from human ECG using an efficient matching pursuit-like algorithm. IEEE Trans. Biomed. Eng. 2002, 49, 1287–1298. [Google Scholar] [CrossRef] [PubMed]
- Eilevstjønn, J.; Eftestøl, T.; Aase, S.O.; Myklebust, H.; Husøy, J.H.; Steen, P.A. Feasibility of shock advice analysis during CPR through removal of CPR artefacts from the human ECG. Resuscitation 2004, 61, 131–141. [Google Scholar] [CrossRef]
- De Gauna, S.R.; Ruiz, J.; Irusta, U.; Aramendi, E.; Eftestøl, T.; Kramer-Johansen, J. A method to remove CPR artefacts from human ECG using only the recorded ECG. Resuscitation 2008, 76, 271–278. [Google Scholar] [CrossRef]
- Amann, A.; Klotz, A.; Niederklapfer, T.; Kupferthaler, A.; Werther, T.; Granegger, M.; Lederer, W.; Baubin, M.; Lingnau, W. Reduction of CPR artifacts in the ventricular fibrillation ECG by coherent line removal. Biomed. Eng. Online 2010, 9, 2. [Google Scholar] [CrossRef]
- Granegger, M.; Werther, T.; Gilly, H. Use of independent component analysis for reducing CPR artefacts in human emergency ECGs. Resuscitation 2011, 82, 79–84. [Google Scholar] [CrossRef]
- Rad, A.B.; Engan, K.; Katsaggelos, A.K.; Kvaløy, J.T.; Wik, L.; Kramer-Johansen, J.; Irusta, U.; Eftestøl, T. Automatic cardiac rhythm interpretation during resuscitation. Resuscitation 2016, 102, 44–50. [Google Scholar] [CrossRef]
- De Gauna, S.R.; Irusta, U.; Ruiz, J.; Ayala, U.; Aramendi, E.; Eftestøl, T. Rhythm Analysis during Cardiopulmonary Resuscitation: Past, Present, and Future. BioMed Res. Int. 2014, 2014, 386010. [Google Scholar] [CrossRef] [PubMed]
- Gong, Y.; Chen, B.; Li, Y. A Review of the Performance of Artifact Filtering Algorithms for Cardiopulmonary Resuscitation. J. Healthc. Eng. 2013, 4, 185–202. [Google Scholar] [CrossRef] [PubMed]
- Didon, J.P.; Dotsinsky, I.; Jekova, I.; Krasteva, V. Detection of shockable and non-shockable rhythms in presence of CPR artifacts by time-frequency ECG analysis. Comput. Cardiol. 2009, 36, 817–820. [Google Scholar]
- Jekova, I.; Krasteva, V.; Dotsinsky, I. Filtering of chest compression artefacts in the electrocardiogram. Int. J. Bioautom. 2009, 13, 19–28. [Google Scholar]
- Li, Y.; Tang, W. Techniques for artefact filtering from chest compression corrupted ECG signals: Good, but not enough. Resuscitation 2009, 80, 1219–1220. [Google Scholar] [CrossRef]
- Krasteva, V.; Jekova, I.; Dotsinsky, I.; Didon, J.-P. Shock Advisory System for Heart Rhythm Analysis during Cardiopulmonary Resuscitation Using a Single ECG Input of Automated External Defibrillators. Ann. Biomed. Eng. 2010, 38, 1326–1336. [Google Scholar] [CrossRef]
- Krasteva, V.; Jekova, I.; Stoyanov, T.; Ménétré, S.; Didon, J.P. Performance of heart rhythm analysis during chest compressions in out-of-hospital cardiac arrest. Comput. Cardiol. 2013, 40, 1091–1094. [Google Scholar]
- Li, Y.; Bisera, J.; Geheb, F.; Tang, W.; Weil, M.H. Identifying potentially shockable rhythms without interrupting cardiopulmonary resuscitation. Crit. Care Med. 2008, 36, 198–203. [Google Scholar] [CrossRef]
- Elola, A.; Aramendi, E.; Irusta, U.; Picón, A.; Alonso, E.; Owens, P.; Idris, A. Deep Neural Networks for ECG-Based Pulse Detection during Out-of-Hospital Cardiac Arrest. Entropy 2019, 21, 305. [Google Scholar] [CrossRef]
- Nguyen, M.T.; Kiseon, K. Feature Learning Using Convolutional Neural Network for Cardiac Arrest Detection. In Proceedings of the 2018 International Conference on Smart Green Technology in Electrical and Information Systems (ICSGTEIS), Bali, Indonesia, 25–27 October 2018; Institute of Electrical and Electronics Engineers (IEEE): Piscataway, NJ, USA, 2018; pp. 39–42. [Google Scholar]
- Acharya, U.R.; Fujita, H.; Oh, S.L.; Raghavendra, U.; Tan, J.H.; Adam, M.; Gertych, A.; Hagiwara, Y. Automated identification of shockable and non-shockable life-threatening ventricular arrhythmias using convolutional neural network. Future Gener. Comput. Syst. 2018, 79, 952–959. [Google Scholar] [CrossRef]
- Irusta, U.; Aramendi, E.; Chicote, B.; Alonso, D.; Corcuera, C.; Veintemillas, J.; Larrea, A.; Olabarria, M. Deep learning approach for a shock advise algorithm using short electrocardiogram analysis intervals. Resuscitation 2019, 142, e85. [Google Scholar] [CrossRef]
- Picon, A.; Irusta, U.; Alvarez-Gila, A.; Aramendi, E.; Alonso-Atienza, F.; Figuera, C.; Ayala, U.; Garrote, E.; Wik, L.; Kramer-Johansen, J.; et al. Mixed convolutional and long short-term memory network for the detection of lethal ventricular arrhythmia. PLoS ONE 2019, 14, e0216756. [Google Scholar] [CrossRef] [PubMed]
- Krasteva, V.; Ménétré, S.; Didon, J.-P.; Jekova, I. Fully Convolutional Deep Neural Networks with Optimized Hyperparameters for Detection of Shockable and Non-Shockable Rhythms. Sensors 2020, 20, 2875. [Google Scholar] [CrossRef] [PubMed]
- Isasi, I.; Irusta, U.; Aramendi, E.; Eftestøl, T.; Kramer-Johansen, J.; Wik, L. Rhythm Analysis during Cardiopulmonary Resuscitation Using Convolutional Neural Networks. Entropy 2020, 22, 595. [Google Scholar] [CrossRef] [PubMed]
- Isasi, I.; Irusta, U.; Aramendi, E.; Olsen, J.-Å.; Wik, L. Detection of shockable rhythms using convolutional neural networks during chest compressions provided by a load distributing band. In Proceedings of the 2020 Computing in Cardiology Conference (CinC), Rimini, Italy, 13–16 September 2020; Volume 47, pp. 1–4. [Google Scholar] [CrossRef]
- Hajeb, M.S.; Cascella, A.; Valentine, M.; Chon, K.H. Deep Neural Network Approach for Continuous ECG-Based Automated External Defibrillator Shock Advisory System During Cardiopulmonary Resuscitation. J. Am. Heart Assoc. 2021, 10, e019065. [Google Scholar] [CrossRef]
- Isasi, I.; Irusta, U.; Aramendi, E.; Ayala, U.; Alonso, E.; Kramer-Johansen, J.; Eftestol, T. A Multistage Algorithm for ECG Rhythm Analysis During Piston-Driven Mechanical Chest Compressions. IEEE Trans. Biomed. Eng. 2019, 66, 263–272. [Google Scholar] [CrossRef]
- Koster, R.W.; Baubin, M.A.; Bossaert, L.L.; Caballero, A.; Cassan, P.; Castrén, M.; Granja, C.; Handley, A.J.; Monsieurs, K.G.; Perkins, G.D.; et al. European Resuscitation Council Guidelines for Resuscitation 2010 Section 2. Adult basic life support and use of automated external defibrillators. Resuscitation 2010, 81, 1277–1292. [Google Scholar] [CrossRef]
- Didon, J.-P.; Krasteva, V.; Menetre, S.; Stoyanov, T.; Jekova, I. Shock advisory system with minimal delay triggering after end of chest compressions: Accuracy and gained hands-off time. Resuscitation 2011, 82, S8–S15. [Google Scholar] [CrossRef]
- Géron, A. Hands-On Machine Learning with Scikit-Learn, Keras, and TensorFlow: Concepts, Tools, and Techniques to Build Intelligent Systems; O’Reilly Media: Sebastopol, CA, USA, 2019. [Google Scholar]
- Van Der Maaten, L.; Hinton, G. Visualizing data using t-SNE. J. Mach. Learn. Res. 2008, 9, 2579–2605. [Google Scholar]
- FitzGibbon, E.; Berger, R.; Tsitlik, J.; Halperin, H.R. Determination of the noise source in the electrocardiogram during cardiopulmonary resuscitation. Crit. Care Med. 2002, 30, S148–S153. [Google Scholar] [CrossRef] [PubMed]













| Training Database | Validation Database | Test Database | |
|---|---|---|---|
| Shockable rhythms | |||
| VF | 408 | 151 | 301 |
| Non-shockable rhythms | |||
| OR | 1089 | 706 | 1640 |
| Asystole | 1504 | 1671 | 3650 |
| −9 dB ≤ SNR | −9 dB < SNR ≤ −6 dB | −6 dB < SNR ≤ −3 dB | SNR > −3 dB | |
|---|---|---|---|---|
| Shockable rhythms | ||||
| VF | 97 | 53 | 71 | 80 |
| Non-shockable rhythms | ||||
| OR | 456 | 226 | 335 | 623 |
| Asystole | 3266 | 149 | 122 | 113 |
| Number of Convolutional Blocks (N) | Number of Trained Models | Training Epochs Median (Quartile Range) |
|---|---|---|
| 2 | 259 | 204 (131–288) |
| 3 | 231 | 216 (137–291) |
| 4 | 243 | 186 (113–266) |
| 5 | 253 | 148 (83–243) |
| 6 | 240 | 131 (86–227) |
| 7 | 274 | 104 (58–210) |
| Layer Type | Description | Params | Output Shape | |
|---|---|---|---|---|
| Input | - | - | (1250, 1) | |
| Convolutional blocks | N = 1 | K1 = 5, F1 = 5, ReLU MP = 2, α = 0.3 | 55 | (620, 5) |
| N = 2 | K2 = 20, F2 = 25, ReLU MP = 2, α = 0.3 | 2525 | (300, 25) | |
| N = 3 | K3 = 20, F3 = 50, ReLU MP = 2, α = 0.3 | 25,050 | (140, 50) | |
| GMP | - | - | (50) | |
| DENSE | Units = 1, Sigmoid | 51 | (1) |
| Performance | Training Database | Validation Database | Test Database |
|---|---|---|---|
| Se (Shockable rhythms: VF) | 100% (408/408) | 89.4% (135/151) | 89.0% (268/301) |
| Sp (Non-shockable rhythms) | 97.1% (2518/2593) | 93.8% (2230/2377) | 91.3% (4830/5290) |
| Sp (OR) | 97.0% (1056/1089) | 94.9% (670/706) | 91.7% (1504/1640) |
| Sp (Asystole) | 97.1% (1460/1504) | 93.4% (1561/1671) | 91.1% (3325/3650) |
| BAC | 98.6% | 91.6% | 90.2% |
| ROC-AUC | 0.999 | 0.945 | 0.938 |
| Study | Method | Test Data | Se % | Sp % | BAC % |
|---|---|---|---|---|---|
| de Gauna et al., 2008 [29] | CPR suppression via Kalman filter with reference channel based on ECG Subsequent ECG analysis via standard AED shock advisory algorithm Input information: filtered CC-ECG | Analysis duration: 9.6–14.4 s Database: CC-ECG from real OHCA Test dataset: Independent - 131 Sh samples - 197 OR, 150 Asystole samples | 90.1 | 80.4 | 85.3 |
| Li et al., 2008 [40] | Wavelet transform and cross-correlation for ECG and CC morphology estimation. Evaluation of pattern differences. Input information: raw CC-ECG | Analysis duration: 10 s Database: CC-ECG from real OHCA Test dataset: Independent - 1256 Sh samples - 923 OR, 41 Asystole samples | 93.3 | 88.6 | 91.0 |
| Krasteva et al., 2010 [38] | Time–frequency techniques for ECG and CC morphology estimation. ECG signal reconstruction by subtraction of CC patterns. Input information: raw CC-ECG | Analysis duration: 10 s Database: CC-ECG from real OHCA Test dataset: Independent - 172 Sh samples - 371 OR, 330 Asystole samples | 90.1 | 86.1 | 88.1 |
| Issasi et al., 2020 [47] | CPR suppression via Recursive Least Squares filter with reference from a sternal CPR assist pad with an accelerometer. Subsequent ECG analysis via CNN classifier with three convolutional blocks and two fully connected layers. Input information: filtered CC-ECG | Analysis duration: 9 s Database: CC-ECG from real OHCA Test dataset: Not independent 5-fold cross-validation - 586 Sh samples - 1541 OR, 1192 Asystole samples | 95.8 | 96.1 | 96.0 |
| Issasi et al., 2020 [48] | CPR suppression via Recursive Least Squares filter with reference from a Load Distributing Band mechanical chest compression device. Subsequent ECG analysis via CNN classifier with three convolutional blocks and two fully connected layers Input information: filtered CC-ECG | Analysis duration: 8 s Database: CC-ECG from real OHCA Test dataset: Not independent Database split at 80/20% for training/validation - 780 Sh samples - 2644 OR + Asystole samples Median performance of 100 random repetitions reported | 92.2 | 96.6 | 94.4 |
| Hajeb-M et al., 2021 [49] | Hybrid DNN architecture: convolutional layers, residual blocks and bidirectional LSTM layers Input information: time and frequency domain ECG representations | Analysis duration: 8 s Database: Artificially mixed CC artifacts (OHCA Asystole) and clean-ECG (Holter) with fixed SNR = −3 dB. Test dataset: Not independent 4-fold cross-validation: - 3216 Sh rhythms - 6768 OR, missing Asystoles | 94.2 | 86.1 | 90.1 |
| This study | Fully convolutional DNN with three convolutional blocks, GMP and DENSE layer Input information: raw CC-ECG | Analysis duration: 10 s Database: CC-ECG from real OHCA Test dataset: Independent - 301 VF samples - 1640 OR, 3650 Asystole samples | 89.0 | 91.3 | 90.2 |
Publisher’s Note: MDPI stays neutral with regard to jurisdictional claims in published maps and institutional affiliations. |
© 2021 by the authors. Licensee MDPI, Basel, Switzerland. This article is an open access article distributed under the terms and conditions of the Creative Commons Attribution (CC BY) license (https://creativecommons.org/licenses/by/4.0/).
Share and Cite
Jekova, I.; Krasteva, V. Optimization of End-to-End Convolutional Neural Networks for Analysis of Out-of-Hospital Cardiac Arrest Rhythms during Cardiopulmonary Resuscitation. Sensors 2021, 21, 4105. https://doi.org/10.3390/s21124105
Jekova I, Krasteva V. Optimization of End-to-End Convolutional Neural Networks for Analysis of Out-of-Hospital Cardiac Arrest Rhythms during Cardiopulmonary Resuscitation. Sensors. 2021; 21(12):4105. https://doi.org/10.3390/s21124105
Chicago/Turabian StyleJekova, Irena, and Vessela Krasteva. 2021. "Optimization of End-to-End Convolutional Neural Networks for Analysis of Out-of-Hospital Cardiac Arrest Rhythms during Cardiopulmonary Resuscitation" Sensors 21, no. 12: 4105. https://doi.org/10.3390/s21124105
APA StyleJekova, I., & Krasteva, V. (2021). Optimization of End-to-End Convolutional Neural Networks for Analysis of Out-of-Hospital Cardiac Arrest Rhythms during Cardiopulmonary Resuscitation. Sensors, 21(12), 4105. https://doi.org/10.3390/s21124105

