Optical Micro-Wire Flow-Velocity Sensor
Abstract
1. Introduction
2. Sensor Design and Operation
3. Manufacturing Process
4. Signal Interrogation and Modeling of the Demodulation Process
- (a)
- Design of high-bandwidth and highly sensitive flow sensors (i.e., a sensor suitable for turbulence sensing and similar applications).
- (b)
- Operation of the sensor in a heating-power-independent regime of operation by applying thermal time constant measurement.
4.1. Thermal Time Constant Measurement Flow Sensing (Operation of the Sensor in a Heating-Power-Independent Regime of Operation)
4.2. Constant Power Regime of Operation
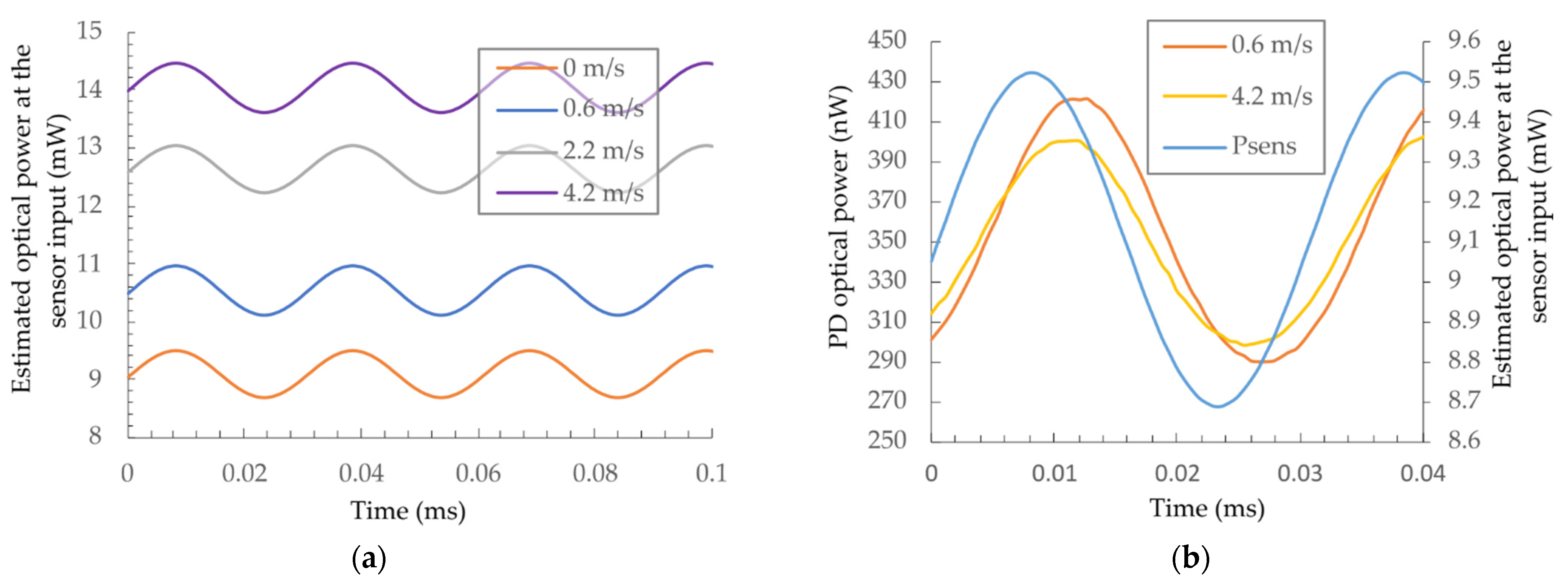
5. Experimental Setup and Results
5.1. Evaluation of the Interrogation System Based on the Time Constant
5.2. Evaluation of the Sensor in a Constant Power Regime of Operation for Dynamic Flow Sensing
6. Conclusions
Author Contributions
Funding
Institutional Review Board Statement
Informed Consent Statement
Data Availability Statement
Conflicts of Interest
References
- Chen, J.; Liu, C. Development and characterization of surface micromachined, out-of-plane hot-wire anemometer. J. Microelectromech. Syst. 2003, 12, 979–988. [Google Scholar] [CrossRef]
- Therdthai, N.; Zhou, W.; Adamczak, T. The development of an anemometer for industrial bread baking. J. Food Eng. 2004, 63, 329–334. [Google Scholar] [CrossRef]
- Dadgar, F.; Venvik, H.; Pfeifer, P. Application of hot-wire anemometry for experimental investigation of flow distribution in micro-packed bed reactors for synthesis gas conversion. Chem. Eng. Sci. 2018, 177, 110–121. [Google Scholar] [CrossRef]
- Castrellon-Uribe, J. Optical Fiber Sensors: An Overview; IntechOpen: London, UK, 2012. [Google Scholar] [CrossRef]
- Liu, G.; Sheng, Q.; Geraldo, R.; Hou, W.; Han, M.; Udd, E.; Pickrell, G.; Du, H. A fiber-optic water flow sensor based on laser-heated silicon Fabry-Perot cavity. Proc. SPIE 2016, 9852. [Google Scholar] [CrossRef]
- Liu, G.; Hou, W.; Qiao, W.; Han, M. Fast-response fiber-optic anemometer with temperature self-compensation. Opt. Express 2015, 23, 13562–13570. [Google Scholar] [CrossRef] [PubMed]
- Gao, S.; Zhang, A.; Tam, H.; Cho, L.; Lu, C. All-optical fiber anemometer based on laser heated fiber Bragg gratings. Opt. Express 2011, 19, 10124–10130. [Google Scholar] [CrossRef]
- Wang, X.; Dong, X.; Zhou, Y.; Ni, K.; Cheng, J.; Chen, Z. Hot-Wire Anemometer Based on Silver-Coated Fiber Bragg Grating Assisted by No-Core Fiber. IEEE Photonic Technol. Lett. 2013, 25, 2458–2461. [Google Scholar] [CrossRef]
- Gao, R.; Lu, D. Temperature compensated fiber optic anemometer based on graphene-coated elliptical core micro-fiber Bragg grating. Opt. Express 2019, 27, 34012–34022. [Google Scholar] [CrossRef]
- Liu, Z.; Htein, L.; Cheng, L.; Martina, Q.; Jansen, R.; Tam, H. Highly sensitive miniature fluidic flowmeter based on an FBG heated by Co2+-doped fiber. Opt. Express 2017, 25, 4393–4402. [Google Scholar] [CrossRef]
- Jiang, X.; Wang, K.; Li, J.; Zhan, H.; Song, Z.; Che, G.; Lyu, G. Optical Sensor of Thermal Gas Flow Based on Fiber Bragg Grating. Sensors 2017, 17, 374. [Google Scholar] [CrossRef]
- Baroncini, V.; Martelli, C.; da Silva, M.; Morales, R. Single- and Two-Phase Flow Characterization Using Optical Fiber Bragg Gratings. Sensors 2015, 15, 6549–6559. [Google Scholar] [CrossRef]
- Uddin, N.; Liu, G.; Sheng, Q.; Han, M. Constant temperature operation of fiber-optic hot-wire anemometers. Opt. Lett. 2019, 44, 2578–2581. [Google Scholar] [CrossRef]
- Liu, G.; Sheng, Q.; Hou, W.; Han, M. Optical fiber vector flow sensor based on a silicon Fabry-Perot interferometer array. Opt. Lett. 2016, 41, 4629–4632. [Google Scholar] [CrossRef] [PubMed]
- Gao, R.; Lu, D.; Cheng, J.; Qi, Z. Real-time fiber-optic anemometer based on a laser-heated few-layer graphene in an aligned graded-index fiber. Opt. Lett. 2017, 42, 2703–2706. [Google Scholar] [CrossRef] [PubMed]
- Wang, J.; Liu, Z.; Gao, S.; Zhang, A.; Shen, Y.; Tam, H. Fiber-Optic Anemometer Based on Bragg Grating Inscribed in Metal-Filled Microstructured Optical Fiber. J. Lightwave Technol. 2016, 34, 4884–4889. [Google Scholar] [CrossRef]
- Cheng, J.; Zhu, W.; Huang, Z.; Hu, P. Experimental and simulation study on thermal gas flowmeter based on fiber Bragg grating coated with silver film. Sens. Actuators A Phys. 2015, 228, 23–27. [Google Scholar] [CrossRef]
- Lee, C.; Liu, K.; Luo, S.; Wu, M.; Ma, C. A Hot-Polymer Fiber Fabry-Perot Interferometer Anemometer for Sensing Airflow. Sensors 2017, 17, 2015. [Google Scholar] [CrossRef]
- Matjasec, Z.; Campelj, S.; Donlagic, D. All-optical, thermo-optical path length modulation based on the vanadium-doped fibers. Opt. Express 2013, 21, 11794–11807. [Google Scholar] [CrossRef]
- Cibula, E.; Donlagic, D. Low-loss semi-reflective in-fiber mirrors. Opt. Express 2010, 18, 12017–12026. [Google Scholar] [CrossRef]
- Kramers, H. Heat transfer from spheres to flowing media. Physica 1946, 12, 61–80. [Google Scholar] [CrossRef]
- Goertzel, G. An Algorithm for the Evaluation of Finite Trigonometric Series. Am. Math. Mon. 1958, 65, 34–35. [Google Scholar] [CrossRef]
- Njegovec, M.; Donlagic, D. Interrogation of FBGs and FBGs Arrays Using Standard Telecom DFB Diode. J. Lightwave Technol. 2016, 34, 5340–5348. [Google Scholar] [CrossRef]
- Javernik, A.; Donlagic, D. High-Speed Interrogation of Low-Finesse Fabry-Perot Sensors Using a Telecom DFB Laser Diode. J. Lightwave Technol. 2017, 35, 2280–2290. [Google Scholar] [CrossRef]
- Jaroslav, S.; Olsiak, R.; Prikkel, K. Contribution to Investigation of Turbulent Mean-Flow Velocity Profile in Pipe of Circular Cross-Section. In Proceedings of the 35th Meeting of Departments of Fluid Mechanics and Thermomechanics, Samorin-Cilistov, Slovak Republic, 20–23 June 2016; Volume 1768. [Google Scholar] [CrossRef]
















| Parameter | Symbol | Value |
|---|---|---|
| Sensor (silica glass) density | ρ | 2200 kg/m3 |
| Fiber specific heat capacity | cs | 730 J/kg K |
| Sensor radius | r | 8 × 10−6 m |
| Fluid (air) thermal conductivity | kf | 0.026 W m−1 K−1 |
| Fluid (air) specific heat | cf | 1006 J/kg K |
| Dynamic fluid (air) viscosity | uf | 18.37 × 10−6 Ns/m2 |
Publisher’s Note: MDPI stays neutral with regard to jurisdictional claims in published maps and institutional affiliations. |
© 2021 by the authors. Licensee MDPI, Basel, Switzerland. This article is an open access article distributed under the terms and conditions of the Creative Commons Attribution (CC BY) license (https://creativecommons.org/licenses/by/4.0/).
Share and Cite
Njegovec, M.; Pevec, S.; Donlagic, D. Optical Micro-Wire Flow-Velocity Sensor. Sensors 2021, 21, 4025. https://doi.org/10.3390/s21124025
Njegovec M, Pevec S, Donlagic D. Optical Micro-Wire Flow-Velocity Sensor. Sensors. 2021; 21(12):4025. https://doi.org/10.3390/s21124025
Chicago/Turabian StyleNjegovec, Matej, Simon Pevec, and Denis Donlagic. 2021. "Optical Micro-Wire Flow-Velocity Sensor" Sensors 21, no. 12: 4025. https://doi.org/10.3390/s21124025
APA StyleNjegovec, M., Pevec, S., & Donlagic, D. (2021). Optical Micro-Wire Flow-Velocity Sensor. Sensors, 21(12), 4025. https://doi.org/10.3390/s21124025

