Compact Design of Annular-Microstrip-Fed mmW Antenna Arrays
Abstract
1. Introduction
2. Theory and Analysis of Annular Microstrip Feeding Design
2.1. Outer-Annular Microstrip-Fed Antenna Array
2.2. Verification of the Basic Structure of Outer-Annular Microstrip-Fed Antenna Array
2.2.1. Comparation of Simulation Result and Experimental Result
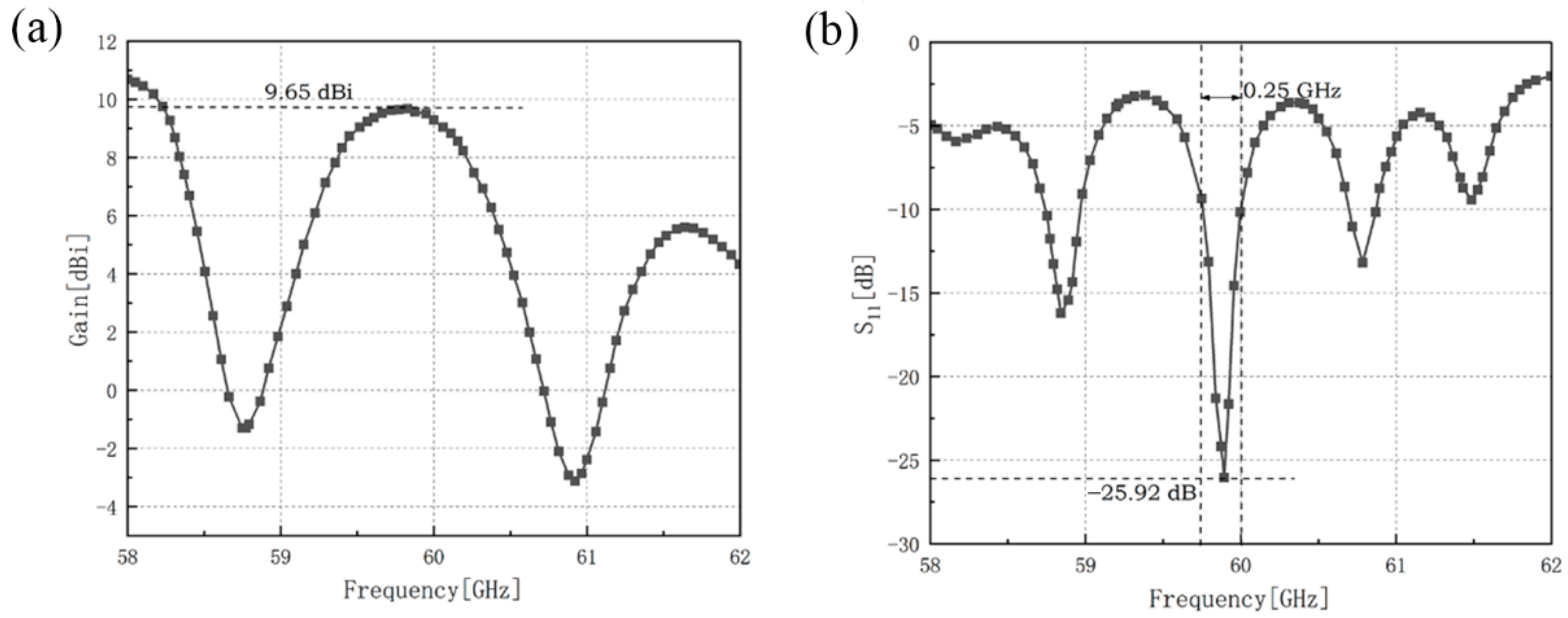
2.2.2. Add-on Analysis with a Connector
2.3. Two-Direction Pitchfork-Shaped Microstrip Antenna Array
3. Improvement on Multi-Directional Design
3.1. Dual Annular-Microstrip-Fed Antenna Array
3.2. Bridged Annular-Microstrip-Fed Antenna Array
4. Conclusions
Author Contributions
Funding
Data Availability Statement
Acknowledgments
Conflicts of Interest
References
- Hong, T.; Zheng, S.L.; Liu, R.K.; Zhao, W.T. Design of mmWave Directional Antenna for Enhanced 5G Broadcasting Coverage. Sensors 2021, 21, 746. [Google Scholar] [CrossRef] [PubMed]
- Naqvi, S.I.; Hussain, N.; Iqbal, A.; Rahman, M.; Forsat, M.; Mirjavadi, S.S.; Amin, Y. Integrated LTE and Millimeter-Wave 5G MIMO Antenna System for 4G/5G Wireless Terminals. Sensors 2020, 20, 3926. [Google Scholar] [CrossRef]
- Dixit, A.S.; Kumar, S.; Urooj, S.; Malibari, A. A Highly Compact Antipodal Vivaldi Antenna Array for 5G Millimeter Wave Applications. Sensors 2021, 21, 2360. [Google Scholar] [CrossRef]
- Kim, Y.J.; Kim, Y.B.; Lee, H.L. mmWave High Gain Planar H-Shaped Shorted Ring Antenna Array. Sensors 2020, 20, 5168. [Google Scholar] [CrossRef] [PubMed]
- Gaya, A.; Jamaluddin, M.H.; Ali, I.; Althuwayb, A.A. Circular Patch Fed Rectangular Dielectric Resonator Antenna with High Gain and High Efficiency for Millimeter Wave 5G Small Cell Applications. Sensors 2021, 21, 2694. [Google Scholar] [CrossRef]
- Song, C.T.; Pan, L.Z.; Jiao, Y.H.; Jia, J.G. A High-Performance Transmitarray Antenna with Thin Metasurface for 5G Communication Based on PSO (Particle Swarm Optimization). Sensors 2020, 20, 4460. [Google Scholar] [CrossRef]
- Nakajima, M.; Sudo, K.; Fujii, H.; Kobayashi, E.; Hiratsuka, T. A wideband 60GHz chip antenna. In Proceedings of the 2012 Asia Pacific Microwave Conference Proceedings, Kaohsiung, Taiwan, 4–7 December 2012; pp. 328–330. [Google Scholar]
- Bereka, D.; Gopinath, A.; Sainati, B. Design of a 60GHz integrated antenna on silicon substrate. In Proceedings of the 2014 IEEE Antennas and Propagation Society International Symposium (APSURSI), Memphis, TN, USA, 6–11 July 2014; pp. 1063–1064. [Google Scholar]
- Zhang, Y.P.; Sun, M.; Guo, L.H. On-chip antennas for 60-GHz radios in silicon technology. IEEE Trans. Electron Devices 2005, 52, 1664–1668. [Google Scholar] [CrossRef]
- Razavi, S.A.; Kildal, P.S.; Xiang, L.L.; Alos, E.A.; Chen, H.G. 2×2-Slot Element for 60-GHz Planar Array Antenna Realized on Two Doubled-Sided PCBs Using SIW Cavity and EBG-Type Soft Surface fed by Microstrip-Ridge Gap Waveguide. IEEE Trans. Antennas Propag. 2014, 62, 4564–4573. [Google Scholar] [CrossRef]
- Shad, S.; Mehrpouyan, H. Electr. A compact and high gain dielectric-loaded 60GHz multi-stepped waveguide antenna array. Eng. Syst. Sci. 2019, 2, 1413–1414. [Google Scholar]
- Delkhah, S.A.; Abdipour, A.; Mohammadi, A. Design of optimum grid antenna in 60GHz frequency band. In Proceedings of the 2012 Second Conference on Millimeter-Wave and Terahertz Technologies (MMWaTT), Tehran, Iran, 24–26 December 2012; pp. 21–24. [Google Scholar]
- Zhang, S.; Zhang, Y.P. Analysis and synthesis of millimeter-wave microstrip grid-array antennas. IEEE Antennas Propag. Mag. 2011, 53, 42–55. [Google Scholar] [CrossRef]
- Hayashi, Y.; Sakakibara, K.; Nanjo, M.; Sugawa, S.; Kikuma, N.; Hirayama, H. Millimeter-wave microstrip comb-line antenna using reflection-canceling slit structure. IEEE Trans. Antennas Propag. 2011, 59, 398–406. [Google Scholar] [CrossRef]
- Rabbani, M.S.; Hooshang, G.S. Dual-layer partially reflective surface antennas based on extended size unit cells for 60 GHz band WLAN/WPAN. IET Microw. Antennas Propag. 2018, 12, 789–795. [Google Scholar]
- Zhang, Q.; Zhu, H.; Li, X.P. 60GHz high gain antenna based on loading AMC. Environ. Technol. 2014, z2, 30–32. [Google Scholar]
- Tang, M.C.; Xiao, S.Q.; Guan, J.; Bai, Y.Y.; Gao, S.S.; Wang, B.Z. Composite metamaterial enabled excellent performance of microstrip antenna array. Chin. Phys. B 2010, 19, 074214. [Google Scholar]
- Wang, H.F.; Wang, Z.B.; Cheng, Y.; Zhang, Y.R. Dual-polarized lens antenna based on multimode metasurfaces. Chin. Phys. B 2018, 27, 118401. [Google Scholar] [CrossRef]
- Pu, S.; Guo, Q.Q.; Wang, H.R.; Xu, X.Y.C.N. A circumferential and uniform radiation mmW microstrip array antenna. Patent 107453054A, 8 December 2017. [Google Scholar]
- Wang, H.R.; Pu, S.; Guo, Q.Q.; Xu, X.Y.C.N. Circumferential and vertically four-direction radiation mmW microstrip array antenna. Patent 206922021U, 23 January 2018. [Google Scholar]
- Pu, S.; Wang, H.S.; Liu, Z.R.; Xu, X.Y.C.N. mmW microstrip antenna based-on annular feeding line. Patent 204680753U, 30 September 2015. [Google Scholar]
- Zhang, G.; Pu, S.; Liu, Z.R.; Liu, W.F. Design of 60 GHz Microstrip Antenna Array Composed through Annular Feeding Line. In Proceedings of the 2016 IEEE International Symposium on Antennas and Propagation (APSURSI), Fajardo, PR, USA, 26 June–1 July 2016; pp. 1649–1650. [Google Scholar]
- Zhang, G.; Pu, S.; Xu, X.Y.; Liu, Y.; Wang, C. Design of 60-GHz Microstrip Antenna Array Composed through Circular Contour Feeding Line. In Proceedings of the 2016 Asia-Pacific International Symposium on Electromagnetic Compatibility (APEMC), Shenzhen, China, 17–21 May 2016; pp. 1010–1013. [Google Scholar]
- WANG, Y.D.; Zhang, L.J.; Liu, F.H.; Zhao, Q.M.J.H. Comparison of performance characteristics of different shapes in microstrip patch antenna. J. Hebei Univ. Technol. 2017, 46, 1–5. [Google Scholar]
- Sajin, G.; Craciunoiu, F.; Dinescu, A.; Mocanu, I.A. 48 GHz zeroth order resonance metamaterial antenna on alumina substrate. In Proceedings of the 2012 16th IEEE Mediterranean Electrotechnical Conference, Yasmine Hammamet, Tunisia, 25–28 March 2012; pp. 46–49. [Google Scholar]




















| Parameter | Value (mm) | Parameter | Value (mm) |
|---|---|---|---|
| Wz | 1.050 | L1 | 0.830 |
| Lz | 0.780 | d1 | 0.110 |
| d0 | 0.130 | R | 16.500 |
| L | 2.830 | d | 0.800 |
| q | 0.006 | H | 0.12 |
| Parameter | Value (mm) | Parameter | Value (mm) |
|---|---|---|---|
| Lz | 0.780 | L5, L9 | 2.445 |
| L2, L6 | 0.860 | Wz | 1.050 |
| L3, L7 | 2.490 | d2 | 0.11 |
| L4 | 0.445 | d3, d5 | 0.055 |
| L8 | 0.390 | d4 | 0.110 |
| R1 | 25.870 | d6 | 0.220 |
| R2 | 1.243 | R3 | 1.215 |
| Parameter | d7, d9 | d8 | Wz | R4 | L10 | L11 | L12 | Lz | R5 |
|---|---|---|---|---|---|---|---|---|---|
| value (mm) | 0.130 | 0.130 | 1.050 | 16.180 | 0.580 | 0.830 | 2.580 | 0.780 | 1.590 |
| Parameter | Value (mm) | Parameter | Value (mm) |
|---|---|---|---|
| R7 | 19.21 | Wz | 1.050 |
| R6 | 18.95 | Lz | 0.780 |
| d10 | 0.226 | L13 | 0.830 |
| d11 | 0.130 | L14 | 2.580 |
Publisher’s Note: MDPI stays neutral with regard to jurisdictional claims in published maps and institutional affiliations. |
© 2021 by the authors. Licensee MDPI, Basel, Switzerland. This article is an open access article distributed under the terms and conditions of the Creative Commons Attribution (CC BY) license (https://creativecommons.org/licenses/by/4.0/).
Share and Cite
Lin, S.-D.; Pu, S.; Wang, C.; Ren, H.-Y. Compact Design of Annular-Microstrip-Fed mmW Antenna Arrays. Sensors 2021, 21, 3695. https://doi.org/10.3390/s21113695
Lin S-D, Pu S, Wang C, Ren H-Y. Compact Design of Annular-Microstrip-Fed mmW Antenna Arrays. Sensors. 2021; 21(11):3695. https://doi.org/10.3390/s21113695
Chicago/Turabian StyleLin, Shu-Dong, Shi Pu, Chen Wang, and Hai-Yang Ren. 2021. "Compact Design of Annular-Microstrip-Fed mmW Antenna Arrays" Sensors 21, no. 11: 3695. https://doi.org/10.3390/s21113695
APA StyleLin, S.-D., Pu, S., Wang, C., & Ren, H.-Y. (2021). Compact Design of Annular-Microstrip-Fed mmW Antenna Arrays. Sensors, 21(11), 3695. https://doi.org/10.3390/s21113695

