Torque Curve Optimization of Ankle Push-Off in Walking Bipedal Robots Using Genetic Algorithm
Abstract
1. Introduction
2. Methods
2.1. Simulation Model
2.2. The Joint Trajectories
2.2.1. Ankle Positions of Swing Leg
2.2.2. Target Positions of Hip and Knee Joints
2.2.3. Ankle Torque during Push-Off Phase
3. Controller
3.1. Controller Framework of the Ankle Joint
3.2. Overall Framework of the Bipedal Robot
3.3. Optimization Method
4. Results
4.1. Optimal Results
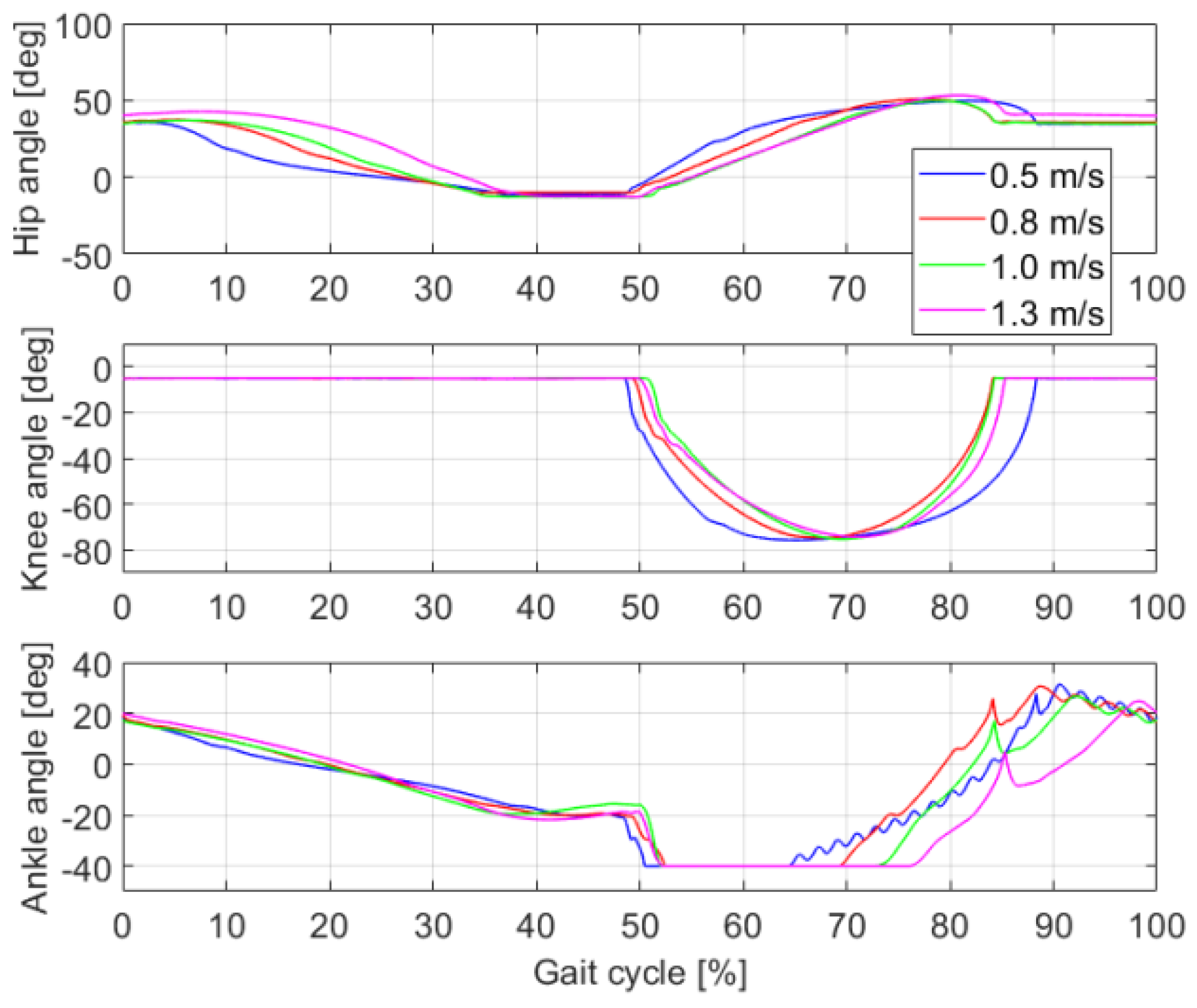
4.2. Joints Kinematics at Different Speeds
4.3. Torque and Power of the Ankle Joint
4.4. Walking Gaits
4.5. Mechanical Work of Joins
4.6. Energy Efficiency
5. Discussion
6. Conclusions
Author Contributions
Funding
Institutional Review Board Statement
Informed Consent Statement
Data Availability Statement
Acknowledgments
Conflicts of Interest
References
- Ding, L.; Gao, H.; Deng, Z.; Song, J.; Liu, Y.; Liu, G.; Lagnemma, K. Foot–terrain interaction mechanics for legged robots: Modeling and experimental validation. Int. J. Robot. Res. 2013, 32, 1585–1606. [Google Scholar] [CrossRef]
- Ambarish, Y.G. Postural stability of biped robots and the foot-rotation indicator (FRI) point. Int. J. Robot. Res. 1999, 18, 523–533. [Google Scholar]
- Vukobratovic, M.; Borovac, B. Zero moment point–Thirty five years of its life. Int. J. Hum. Robot. 2004, 1, 157–173. [Google Scholar] [CrossRef]
- Sakagami, Y.; Watanabe, R.; Aoyama, C.; Matsunaga, S.; Higaki, N.; Fujimura, K. The intelligent ASIMO: System overview and integration. In Proceedings of the 2002 IEEE/RSJ Conference on Intelligent Systems and Robots (IROS), Lausanne, Switzerland, 30 September–4 October 2002; pp. 2478–2483. [Google Scholar]
- McGeer, T. Passive dynamic walking. Int. J. Robot. Res. 1990, 9, 62–82. [Google Scholar] [CrossRef]
- Martin, A.E.; Post, D.C.; Schmiedeler, J.P. The effects of foot geometric properties on the gait of planar bipeds walking under HZD-based control. Int. J. Robot. Res. 2014, 33, 1530–1543. [Google Scholar] [CrossRef]
- Kinugasa, T.; Chevallereau, C.; Aoustin, Y. Effect of Circular Arc Feet on a Control Law for a Biped. Robotica 2009, 27, 621–632. [Google Scholar] [CrossRef][Green Version]
- Bhounsule, P.A.; Cortell, J.; Grewal, A.; Hendriksen, B.; Karssen, J.G.D.; Paul, C.; Ruina, A. Low-bandwidth reflex-based control for lower power walking: 65 km on a single battery charge. Int. J. Robot. Res. 2014, 33, 1305–1321. [Google Scholar] [CrossRef]
- Grizzle, J.W.; Chevallereau, C.; Ames, A.D.; Sinnet, R.W. 3D bipedal robotic walking: Models, feedback control, and open problems. IFAC Proc. Vol. 2010, 43, 505–532. [Google Scholar] [CrossRef]
- Fevre, M.; Lin, H.; Schmiedeler, J.P. Stability and gait switching of underactuated biped walkers. In Proceedings of the 2019 IEEE/RSJ International Conference on Intelligent Robots and Systems (IROS), Macau, China, 3–8 November 2019; pp. 2279–2285. [Google Scholar]
- Chevallereau, C.; Abba, G.; Aoustin, Y.; Plestan, F.; Westervelt, E.R.; Canudas-de-Wit, C.; Grizzle, J.W. RABBIT: A testbed for advanced control theory. IEEE Contr. Syst. 2003, 23, 57–793. [Google Scholar]
- Sreenath, K.; Park, I.; Poulakakis, H.; Grizzle, J.W. A compliant hybrid zero dynamics controller for stable, efficient and fast bipedal walking on MABEL. Int. J. Robot. Res. 2011, 30, 1170–1193. [Google Scholar] [CrossRef]
- Sreenath, K.; Park, I.; Poulakakis, H.; Grizzle, J.W. Embedding active force control within the compliant hybrid zero dynamics to achieve stable, fast running on MABEL. Int. J. Robot. Res. 2013, 32, 324–345. [Google Scholar] [CrossRef]
- Hubicki, C.; Grimes, J.; Jones, M.; Renjewski, D.; Spröwitz, A.; Abate, A.; Hurst, J. ATRIAS: Design and validation of a tether-free 3D-capable spring-mass bipedal robot. Int. J. Robot. Res. 2016, 35, 1497–1521. [Google Scholar] [CrossRef]
- Zelik, K.E.; Adamczyk, P.G. A unified perspective on ankle push-off in human walking. J. Exp. Biol. 2016, 219, 3676–3683. [Google Scholar] [CrossRef] [PubMed]
- Zelik, K.E.; Takahashi, K.Z.; Sawicki, G.S. Six degree-of-freedom analysis of hip, knee, ankle and foot provides updated understanding of biomechanical work during human walking. J. Exp. Biol. 2015, 218, 876–886. [Google Scholar] [CrossRef] [PubMed]
- Hansen, H.; Childress, D.S.; Knox, E.H. Roll-over shapes of human locomotor systems: Effect of walking speed. Clin. Biomech. 2004, 19, 407–414. [Google Scholar] [CrossRef]
- Adamczyk, P.G.; Collins, S.H.; Kuo, A.D. The advantages of a rolling foot in human walking. J. Exp. Biol. 2006, 209, 3953–3963. [Google Scholar] [CrossRef]
- Collins, S.H.; Wisse, M.; Ruina, A. A three-dimensional passive-dynamic walking robot with two legs and knees. Int. J. Robot. Res. 2001, 20, 607–615. [Google Scholar] [CrossRef]
- Collins, S.H. Efficient bipedal robots based on passive-dynamic walkers. Science 2005, 307, 1082–1085. [Google Scholar] [CrossRef] [PubMed]
- Hobbelen, D.G.E.; Wisse, M. Controlling the walking speed in limit cycle walking. Int. J. Robot. Res. 2008, 27, 989–1005. [Google Scholar] [CrossRef]
- Kuo, A.D. Energetics of actively powered locomotion using the simplest walking model. J. Biomech. Eng. 2002, 124, 113–120. [Google Scholar] [CrossRef]
- Kim, M.; Collins, S.H. Once-per-step control of ankle push-off work improves balance in a three-dimensional simulation of bipedal walking. IEEE Trans. Robot. 2017, 33, 406–418. [Google Scholar] [CrossRef]
- Renjewski, D.; Seyfarth, A. Robots in human biomechanics—a study on ankle push-off in walking. Bioinspir. Biomim. 2012, 7, 036005. [Google Scholar] [CrossRef] [PubMed][Green Version]
- Dean, J.; Kuo, A.D. Elastic coupling of limb joints enables faster bipedal walking. J. R. Soc. Interface 2009, 6, 561–573. [Google Scholar] [CrossRef] [PubMed]
- Geng, T. Torso inclination enables faster walking in a planar biped robot with passive ankles. IEEE Trans. Robot. 2004, 30, 753–758. [Google Scholar] [CrossRef]
- Lipfert, S.W.; Günther, M.; Renjewski, D.; Seyfarth, A. Impulsive ankle push-off powers leg swing in human walking. J. Exp. Biol. 2014, 217, 1218–1228. [Google Scholar] [CrossRef] [PubMed]
- Eldirdiry, O.; Zaier, R.; Al-Yahmedi, A.; Bahadur, I.; Alnajjar, F. Modeling of a biped robot for investigating foot drop using MATLAB/Simulink. Simul. Model. Pract. Th. 2020, 98, 101972. [Google Scholar] [CrossRef]
- Kuo, A.D. Choosing your steps carefully. IEEE Robot. Autom. Mag. 2007, 14, 18–29. [Google Scholar] [CrossRef]
- Donelan, J.M.; Kram, R.; Kuo, A.D. Mechanical work for step-to-step transitions is a major determinant of the metabolic cost of human walking. J. Exp. Biol. 2002, 205, 3717–3727. [Google Scholar] [CrossRef]
- Geng, T.; Porr, B.; Worgotter, F. Fast biped walking with a sensor-driven neuronal controller and real-time online learning. Int. J. Robot. Res. 2006, 25, 243–259. [Google Scholar] [CrossRef]
- Summerside, E.M.; Kram, R.; Ahmed, A.A. Contributions of metabolic and temporal costs to human gait selection. J. R. Soc. Interface 2018, 15, 20180197. [Google Scholar] [CrossRef]
- Ralston, H.J. Energy-speed relation and optimal speed during level walking. Int. Z. Angew. Physiol. Einschl. Arb. 1958, 17, 277–283. [Google Scholar] [CrossRef] [PubMed]
- Collins, S.H.; Ruina, A. A Bipedal Walking Robot with Efficient and Human-Like Gait. In Proceedings of the 2005 IEEE/RSJ International Conference on Robotics and Automation (ICRA), Barcelona, Spain, 18–22 April 2005; pp. 1983–1988. [Google Scholar]













| Parameters | Mass/kg | Length/m | Parameters | Values |
|---|---|---|---|---|
| Torso | 54.2 | 0.66 | Coefficient of contact stiffness (N/m) | 75,000 |
| Thigh | 6.6 | 0.45 | Coefficient of contact damping (N/(m/s)) | 4600 |
| Shank | 2.7 | 0.37 | Coefficient of static friction | 0.8 |
| Foot | 0.8 | 0.24 | Coefficient of kinetic friction | 0.6 |
| Foot—toe | - | 0.192 | Contact sphere radius(m) | 0.01 |
| Foot—height | - | 0.09 |
| Parameters | Lower Limit | Upper Limit |
|---|---|---|
| t1 | 2 | 8 |
| Ratio1* | 2 | 8 |
| Ratio2* | 2 | 8 |
| b/° | 10 | 20 |
| a/° | 40 | 60 |
| Peak Time t1 | Ratio1* | Ratio2* | b/° | a/° | Walking Speed (m/s) |
|---|---|---|---|---|---|
| 7 | 7 | 5 | 13 | 46 | 0.5 |
| 7 | 5 | 2 | 12 | 46 | 0.8 |
| 5 | 2 | 7 | 15 | 48 | 1.0 |
| 8 | 2 | 8 | 15 | 53 | 1.3 |
| Mechanical Work (J) | Walking Speed (m/s) | Positive (Stride) | Negative (Stride) | Net (Stride) | Early Stance Phase | Ankle Push-Off Phase | Swing Phase |
|---|---|---|---|---|---|---|---|
| Hip | 0.5 | 99.30 | −43.97 | 55.33 | 20.11 | 0.05 | 35.27 |
| 0.8 | 124.77 | −62.14 | 62.63 | 20.38 | −0.03 | 42.28 | |
| 1.0 | 155.44 | −71.69 | 83.75 | 14.58 | −0.01 | 69.19 | |
| 1.3 | 166.16 | −76.42 | 89.74 | 19.06 | 0.05 | 70.64 | |
| Knee | 0.5 | 127.54 | −43.75 | 83.79 | −1.03 | 0.00 | 84.82 |
| 0.8 | 134.67 | −37.30 | 97.37 | −1.05 | 0.00 | 98.42 | |
| 1.0 | 168.35 | −54.43 | 113.92 | −0.68 | −0.39 | 114.98 | |
| 1.3 | 199.03 | −44.54 | 154.49 | −0.67 | −0.30 | 155.45 | |
| Ankle | 0.5 | 17.94 | −12.81 | 5.13 | −9.28 | 1.79 | 12.24 |
| 0.8 | 14.37 | −9.42 | 4.95 | −7.03 | 2.20 | 9.79 | |
| 1.0 | 24.00 | −6.42 | 17.59 | −4.77 | 9.50 | 12.86 | |
| 1.3 | 21.44 | −13.09 | 8.36 | −11.46 | 8.63 | 11.19 |
Publisher’s Note: MDPI stays neutral with regard to jurisdictional claims in published maps and institutional affiliations. |
© 2021 by the authors. Licensee MDPI, Basel, Switzerland. This article is an open access article distributed under the terms and conditions of the Creative Commons Attribution (CC BY) license (https://creativecommons.org/licenses/by/4.0/).
Share and Cite
Ji, Q.; Qian, Z.; Ren, L.; Ren, L. Torque Curve Optimization of Ankle Push-Off in Walking Bipedal Robots Using Genetic Algorithm. Sensors 2021, 21, 3435. https://doi.org/10.3390/s21103435
Ji Q, Qian Z, Ren L, Ren L. Torque Curve Optimization of Ankle Push-Off in Walking Bipedal Robots Using Genetic Algorithm. Sensors. 2021; 21(10):3435. https://doi.org/10.3390/s21103435
Chicago/Turabian StyleJi, Qiaoli, Zhihui Qian, Lei Ren, and Luquan Ren. 2021. "Torque Curve Optimization of Ankle Push-Off in Walking Bipedal Robots Using Genetic Algorithm" Sensors 21, no. 10: 3435. https://doi.org/10.3390/s21103435
APA StyleJi, Q., Qian, Z., Ren, L., & Ren, L. (2021). Torque Curve Optimization of Ankle Push-Off in Walking Bipedal Robots Using Genetic Algorithm. Sensors, 21(10), 3435. https://doi.org/10.3390/s21103435
