An Efficient Indoor Positioning Method Based on Wi-Fi RSS Fingerprint and Classification Algorithm
Abstract
1. Introduction
2. The Proposed Wi-Fi Fingerprint Method
2.1. Overview of the Proposed Wi-Fi RSS Fingerprint Positioning Method
2.2. Received Signal Strength Preprocessing and Fingerprint Database Construction
2.3. Strongest Access Point Information-Based Clustering Algorithm
2.4. Online Localization Algorithm
2.4.1. Cluster Matching
2.4.2. Weighted k-Nearest Neighbor Algorithm
3. Performance Evaluation
3.1. Results of the Improved RSS Measurement Technique
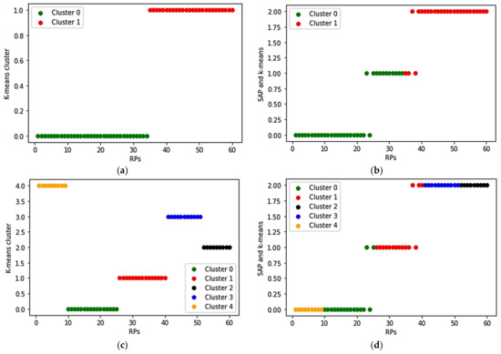
3.2. Results of the SAP Cluster Experiment
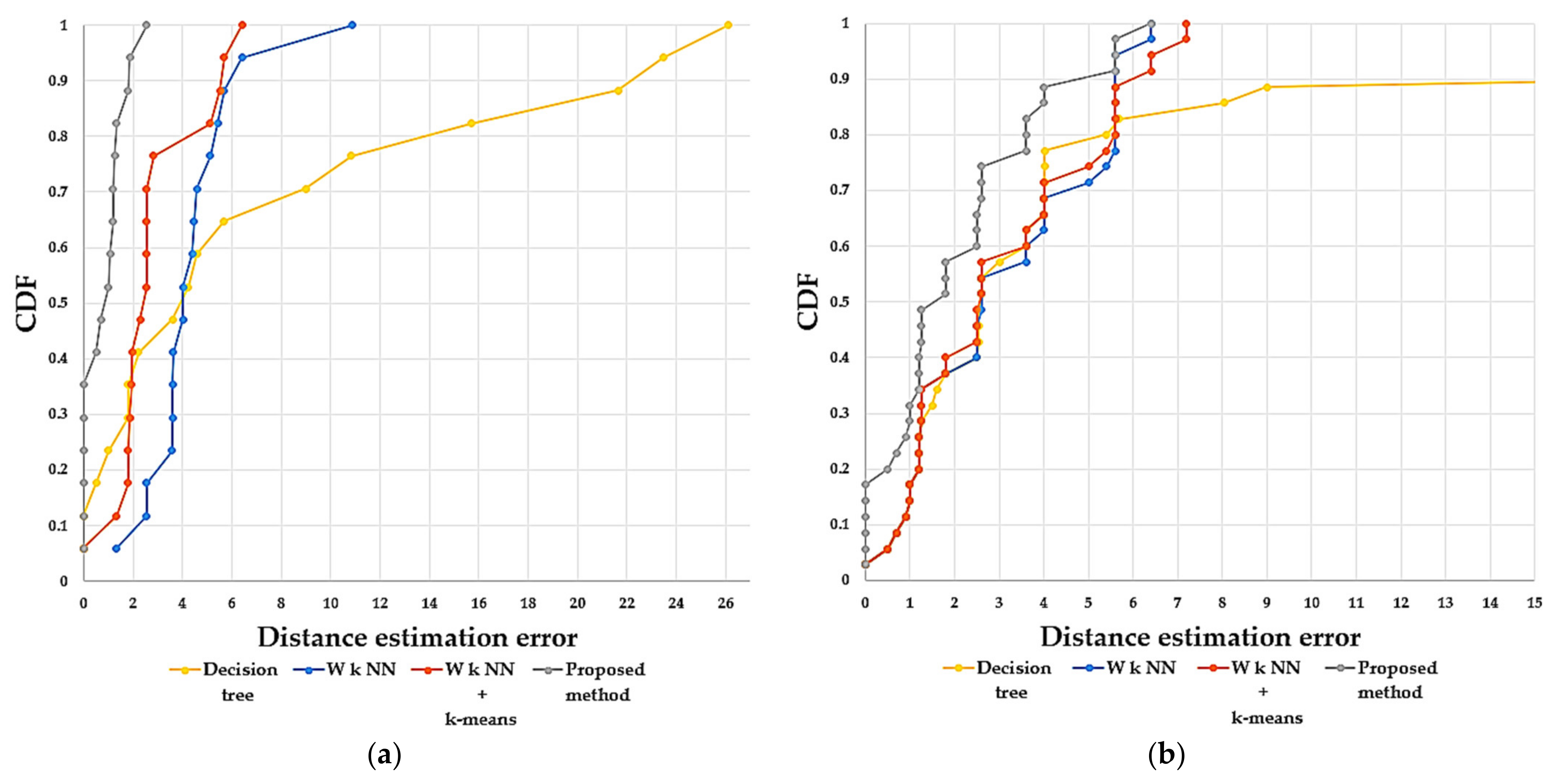
3.3. Results of the Positioning Experiment
3.4. Experimental Environment 2
4. Discussion
4.1. Computational Complexity
4.2. Error Statistics
5. Conclusions
Author Contributions
Funding
Institutional Review Board Statement
Informed Consent Statement
Data Availability Statement
Acknowledgments
Conflicts of Interest
References
- Liu, F. Survey on WiFi-based indoor positioning techniques. IET Commun. 2020, 14, 1372–1383. [Google Scholar] [CrossRef]
- Huang, H.; Gartner, G.; Krisp, J.M.; Raubal, M.; Van De Weghe, N. Location based services: Ongoing evolution and research agenda. J. Locat. Based Serv. 2018, 12, 63–93. [Google Scholar] [CrossRef]
- Huang, H.; Gartner, G. Current Trends and Challenges in Location-Based Services. ISPRS Int. J. Geo-Inf. 2018, 7, 199. [Google Scholar] [CrossRef]
- Enge, P.; Misra, P. Special Issue on Global Positioning System. Proc. IEEE 1999, 87, 3–15. [Google Scholar] [CrossRef]
- Yassin, M.; Elias, R. A survey of positioning techniques and location based services in wireless net-works. In Proceedings of the 2015 IEEE International Conference on Signal Processing, Informatics, Communication and Energy Systems (SPICES), Kozhikode, India, 19–21 February 2015; pp. 1–5. [Google Scholar]
- Memon, S.; Memon, M.M.; Shaikh, F.K.; Laghari, S. Smart indoor positioning using BLE technology. In Proceedings of the 2017 4th IEEE International Conference on Engineering Technologies and Applied Sciences (ICETAS), Salmabad, Bahrain, 29 November–1 December 2017; pp. 1–5. [Google Scholar]
- Liu, C.; Cheng, Z.; Zhang, Y.; Wang, G. An indoor positioning system based on RFID with rotating antenna and passive tags. In Proceedings of the 2017 2nd International Conference on Robotics and Automation Engineering (ICRAE), Shanghai, China, 29–31 December 2017; pp. 455–459. [Google Scholar]
- Cheng, Y.; Zhou, T. UWB Indoor Positioning Algorithm Based on TDOA Technology. In Proceedings of the 2019 10th International Conference on Information Technology in Medicine and Education (ITME), Qingdao, China, 23–25 August 2019; pp. 777–782. [Google Scholar]
- Shahidi, S.; Valaee, S. GIPSy: Geomagnetic indoor positioning system for smartphones. In Proceedings of the 2015 International Conference on Indoor Positioning and Indoor Navigation (IPIN), Banff, AB, Canada, 13–16 October 2015; pp. 1–7. [Google Scholar]
- Naz, A.; Asif, H.M.; Umer, T.; Kim, B.-S. PDOA Based Indoor Positioning Using Visible Light Communication. IEEE Access 2018, 6, 7557–7564. [Google Scholar] [CrossRef]
- Bai, Y.B.; Wu, S.; Retscher, G.; Kealy, A.; Holden, L.; Tomko, M.; Borriak, A.; Hu, B.; Wu, H.R.; Zhang, K. A new method for improving Wi-Fi-based indoor positioning accuracy. J. Locat. Based Serv. 2014, 8, 135–147. [Google Scholar] [CrossRef]
- Yang, C.; Huai-Rong, S. WiFi-based indoor positioning. IEEE Commun. Mag. 2015, 53, 150–157. [Google Scholar] [CrossRef]
- Wu, C.; Hou, H.; Wang, W.; Huang, Q.; Gao, X. TDOA Based Indoor Positioning with NLOS Identification by Machine Learning. In Proceedings of the 2018 10th International Conference on Wireless Communications and Signal Processing (WCSP), Hangzhou, China, 18–20 October 2018; pp. 1–6. [Google Scholar]
- Chen, L.; Li, B.; Zhao, K.; Rizos, C.; Zheng, Z. An Improved Algorithm to Generate a Wi-Fi Fingerprint Database for Indoor Positioning. Sensors 2013, 13, 11085–11096. [Google Scholar] [CrossRef] [PubMed]
- Zhang, S.; Guo, J.; Luo, N.; Zhang, D.; Wang, W.; Wang, L. A Calibration-Free Method Based on Grey Relational Analysis for Heterogeneous Smartphones in Fin-gerprint-Based Indoor Positioning. Sensors 2019, 18, 3885. [Google Scholar]
- Xia, S.; Liu, Y.; Yuan, G.; Zhu, M.; Wang, Z. Indoor Fingerprint Positioning Based on Wi-Fi: An Overview. ISPRS Int. J. Geo-Inf. 2017, 6, 135. [Google Scholar] [CrossRef]
- Li, C.; Zhengyang, Q.; Changtong, L. An improved weighted k-nearest neighbor algorithm for indoor posi-tioning. Wirel. Pers. Commun. 2017, 96, 2239–2251. [Google Scholar] [CrossRef]
- Xia, M.; Chen, J.; Song, C.; Li, N.; Chen, K. The indoor positioning algorithm research based on improved location fingerprinting. In Proceedings of the 27th Chinese Control and Decision Conference (2015 CCDC), Qingdao, China, 23–25 May 2015; pp. 5736–5739. [Google Scholar]
- Xue, W.; Qiu, W.; Hua, X.; Yu, K. Improved Wi-Fi RSSI Measurement for Indoor Localization. IEEE Sens. J. 2017, 17, 2224–2230. [Google Scholar] [CrossRef]
- Apolinario, J.A.; Yazdanpanah, H.; Nascimento, A.S.; De Campos, M. A Data-selective LS Solution to TDOA-based Source Localization. In Proceedings of the ICASSP 2019–2019 IEEE International Conference on Acoustics, Speech and Signal Processing (ICASSP), Brighton, UK, 12–17 May 2019; pp. 4400–4404. [Google Scholar]
- Kilani, M.B.; Raymond, A.J.; Gagnon, F.; Gagnon, G.; Lavoie, P. RSSI-based indoor tracking using the extended Kalman filter and circularly polarized antennas. In Proceedings of the 2014 11th Workshop on Positioning, Navigation and Communication (WPNC), Dresden, Germany, 11–13 March 2014; pp. 1–6. [Google Scholar]
- Ma, R.; Guo, Q.; Hu, C.; Xue, J. An Improved WiFi Indoor Positioning Algorithm by Weighted Fusion. Sensors 2015, 15, 21824–21843. [Google Scholar] [CrossRef] [PubMed]
- Park, C.; Rhee, S.H. Indoor positioning using Wi-Fi fingerprint with signal clustering. In Proceedings of the 2017 International Conference on Information and Communication Technology Convergence (ICTC), Jeju Island, Korea, 18–20 October 2017; pp. 820–822. [Google Scholar]
- Razavi, A.; Mikko, V.; Elena-Simona, L. K-means fingerprint clustering for low-complexity floor esti-mation in indoor mobile localization. In Proceedings of the 2015 IEEE Globecom Workshops (GC Wkshps), San Diego, CA, USA, 6–10 December 2015; pp. 1–7. [Google Scholar]
- Chen, Y.; Liu, W.; Zhao, H.; Cao, S.; Fu, S.; Jiang, D. Bisecting k-means based fingerprint indoor localization. Wirel. Netw. 2020, 1–10. [Google Scholar] [CrossRef]
- Liu, W.; Fu, X.; Deng, Z.; Xu, L.; Jiao, J. Smallest enclosing circle-based fingerprint clustering and modified-WKNN matching algorithm for indoor positioning. In Proceedings of the 2016 International Conference on Indoor Positioning and Indoor Navigation (IPIN), Alcalá de Henares, Spain, 3–6 October 2016; pp. 1–6. [Google Scholar]
- Karegar, P.A. Wireless fingerprinting indoor positioning using affinity propagation clustering meth-ods. Wirel. Netw. 2018, 24, 2825–2833. [Google Scholar] [CrossRef]
- Subedi, S.; Gang, H.-S.; Ko, N.K.; Hwang, S.-S.; Pyun, J.Y. Improving indoor fingerprinting positioning with affinity propagation clustering and weighted cen-troid fingerprint. IEEE Access 2019, 7, 31738–31750. [Google Scholar] [CrossRef]
- Abusara, A.; Hassan, M.S.; Ismail, M.H. Reduced-complexity fingerprinting in WLAN-based indoor positioning. Telecommun. Syst. 2017, 65, 407–417. [Google Scholar] [CrossRef]
- Wang, B.; Liu, X.; Yu, B.; Jia, R.; Gan, X. An Improved WiFi Positioning Method Based on Fingerprint Clustering and Signal Weighted Euclidean Distance. Sensors 2019, 19, 2300. [Google Scholar] [CrossRef]
- Zhou, B.; Li, Q.; Mao, Q.; Tu, W. A Robust Crowdsourcing-Based Indoor Localization System. Sensors 2017, 17, 864. [Google Scholar] [CrossRef]
- Kim, J.; Han, D. Passive WiFi Fingerprinting Method. In Proceedings of the 2018 International Conference on Indoor Positioning and Indoor Navigation (IPIN), Nantes, France, 24–27 September 2018; pp. 1–8. [Google Scholar]
- Laska, M.; Blankenbach, J.; Klamma, R. Adaptive indoor area localization for perpetual crowdsourced data collec-tion. Sensors 2020, 20, 1443. [Google Scholar] [CrossRef]
- Han, D.; Jung, S.; Lee, M.; Yoon, G. Building a Practical Wi-Fi-Based Indoor Navigation System. IEEE Pervasive Comput. 2014, 13, 72–79. [Google Scholar] [CrossRef]
- Caso, G.; De Nardis, L.; Di Benedetto, M.-G. A mixed approach to similarity metric selection in af-finity propagation-based WiFi fingerprinting indoor positioning. Sensors 2015, 15, 27692–27720. [Google Scholar] [CrossRef] [PubMed]
- Khodayari, S.; Maleki, M.; Hamedi, E. A RSS-based fingerprinting method for positioning based on his-torical data. In Proceedings of the 2010 International Symposium on Performance Evaluation of Computer and Telecommunication Systems (SPECTS’10), Ottawa, ON, Canada, 11–14 July 2010; pp. 306–310. [Google Scholar]
- Hu, X.; Shang, J.; Gu, F.; Han, Q. Improving Wi-Fi indoor positioning via AP sets similarity and semi-supervised affinity propagation clus-tering. Int. J. Distrib. Sens. Netw. 2015, 11, 109642. [Google Scholar] [CrossRef]
- Ismail, A.; Kitagawa, H.; Tasaki, R.; Terashima, K. WiFi RSS fingerprint database construction for mobile robot indoor positioning system. In Proceedings of the 2016 IEEE International Conference on Systems, Man, and Cybernetics (SMC), Budapest, Hungary, 9–12 October 2016; pp. 001561–001566. [Google Scholar]












| RPs | X | Y | RSS of AP1 | RSS of AP2 | RSS of AP3 | … | RSS of APm |
|---|---|---|---|---|---|---|---|
| 1 | X1 | Y1 | RSS11 | RSS12 | RSS13 | … | RSS1m |
| 2 | X2 | Y2 | RSS21 | RSS22 | RSS23 | … | RSS2m |
| 3 | X3 | Y3 | RSS31 | RSS32 | RSS33 | … | RSS3m |
| … | … | … | … | … | … | … | … |
| n | XN | YN | RSSn1 | RSSn2 | RSSn3 | … | RSSnm |
| RPs | RSS of AP1 | RSS of AP2 | RSS of AP3 | RSS of AP4 | RSS of AP5 | RSS of AP6 | SAP Label |
|---|---|---|---|---|---|---|---|
| 1 | −48 | −62 | −71 | −55 | −72 | −81 | 1 |
| 2 | −48 | −65 | −68 | −60 | −76 | −78 | 1 |
| 3 | −48 | −59 | −71 | −56 | −69 | −74 | 1 |
| 4 | −49 | −60 | −70 | −60 | −78 | −78 | 1 |
| 5 | −62 | −38 | −59 | −78 | −57 | −63 | 2 |
| 6 | −64 | −35 | −61 | −75 | −61 | −66 | 2 |
| 7 | −72 | −48 | −56 | −84 | −70 | −60 | 2 |
| 8 | −67 | −43 | −59 | −77 | −67 | −61 | 2 |
| 9 | −76 | −70 | −57 | −99 | −80 | −76 | 3 |
| 10 | −70 | −66 | −48 | −99 | −86 | −69 | 3 |
| 11 | −77 | −66 | −54 | −90 | −84 | −77 | 3 |
| 12 | −74 | −70 | −54 | −90 | −84 | −78 | 3 |
| Method | Experimental Environment 1 | Experimental Environment 2 | ||||
|---|---|---|---|---|---|---|
| Number of Clusters | Number of Rps in Each Cluster | Execution Time | Number of Clusters | Number of Rps in Each Cluster | Execution Time | |
| W k NN | 0 | 60 | 0.059000 | 0 | 179 RPs | 0.300371 |
| W k NN + k-means | 3 | Cluster1–24 RPs | 0.028958 | 3 | Cluster1–74 RPs | 0.094965 |
| Cluster2–20 RPs | 0.022051 | Cluster2–65 RPs | 0.061348 | |||
| Cluster3–16 RPs | 0.026892 | Cluster3–40 RPs | 0.042885 | |||
| Proposed method | 3 | 10 | Cluster1–9 RPs | 0.014109 | ||
| Cluster2–27 RPs | 0.015463 | |||||
| Cluster3–16 RPs | 0.016708 | |||||
| Cluster1–23 RPs | 0.014309 | Cluster4–14 RPs | 0.011992 | |||
| Cluster2–14 RPs | 0.013577 | Cluster5–21 RPs | 0.015547 | |||
| Cluster3–23 RPs | 0.016508 | Cluster6–15 RPs | 0.019880 | |||
| Cluster7–24 RPs | 0.013052 | |||||
| Cluster8–12 RPs | 0.015146 | |||||
| Cluster9–22 RPs | 0.014271 | |||||
| Cluster10–19 RPs | 0.015090 | |||||
| Method | Experimental Environment 1 | Experimental Environment 2 | ||||
|---|---|---|---|---|---|---|
| 50% Error | 75% Error | Mean Error | 50% Error | 75% Error | Mean Error | |
| W k NN | 4.02 | 4.58 | 4.46 | 2.6 | 5.4 | 3.14 |
| W k NN + k-means | 2.3 | 2.54 | 2.86 | 2.5 | 5 | 3.13 |
| Decision tree | 3.6 | 8.99 | 7.77 | 2.54 | 4.02 | 6.49 |
| Proposed method | 0.69 | 1.2 | 0.85 | 1.25 | 2.6 | 2.11 |
Publisher’s Note: MDPI stays neutral with regard to jurisdictional claims in published maps and institutional affiliations. |
© 2021 by the authors. Licensee MDPI, Basel, Switzerland. This article is an open access article distributed under the terms and conditions of the Creative Commons Attribution (CC BY) license (https://creativecommons.org/licenses/by/4.0/).
Share and Cite
Ezhumalai, B.; Song, M.; Park, K. An Efficient Indoor Positioning Method Based on Wi-Fi RSS Fingerprint and Classification Algorithm. Sensors 2021, 21, 3418. https://doi.org/10.3390/s21103418
Ezhumalai B, Song M, Park K. An Efficient Indoor Positioning Method Based on Wi-Fi RSS Fingerprint and Classification Algorithm. Sensors. 2021; 21(10):3418. https://doi.org/10.3390/s21103418
Chicago/Turabian StyleEzhumalai, Balaji, Moonbae Song, and Kwangjin Park. 2021. "An Efficient Indoor Positioning Method Based on Wi-Fi RSS Fingerprint and Classification Algorithm" Sensors 21, no. 10: 3418. https://doi.org/10.3390/s21103418
APA StyleEzhumalai, B., Song, M., & Park, K. (2021). An Efficient Indoor Positioning Method Based on Wi-Fi RSS Fingerprint and Classification Algorithm. Sensors, 21(10), 3418. https://doi.org/10.3390/s21103418
