Hybrid Multi-Level Detection and Mitigation of Clone Attacks in Mobile Wireless Sensor Network (MWSN)
Abstract
1. Introduction
2. Existing Replica Detection Methods
2.1. Centralized Methods
2.2. Distributed Methods
3. Proposed Security Model
3.1. Network Threat Model
3.2. Cluster Assumption
- The maximum battery level should necessitate for cluster head to accomplish the responsibilities.
- The high-level connectivity and coverage must have a chosen cluster head in MWSN.
- To abate the transmission time, the selected cluster head should be placed near the BS (Base Station).
- The cluster head is fixed over time for the predefined detection period.
4. Danger Theory (DT) Based Approach
4.1. First Level Detection
| Algorithm 1 Cluster Based (First Level Detection) |
Input: Check whether the frequency of node meeting () is greater than or equal to the threshold value (). Output: Identification of replica(s) in MWSN by highlighting the Danger Zone. Description:
|
4.1.1. Data Exchange between Mobile Nodes
4.1.2. Frequency of Mobile Node Meeting
4.1.3. Setup of DZ (Danger Zone)
4.2. Second Level Detection
- Battery Check
- Random Number
| Algorithm 2 Battery Check and Random Number (Second Level Detection) |
Input: Check the battery or random number of nodes claiming the same ID. In the case of voltage level comparison, the nodes that have greater voltage would be a replica else performed the task based on password checking. Output: Verification of replica in MWSN by voltage comparison or password of same IDs. Description:
|
4.2.1. Battery Check
4.2.2. Random Number Based
4.3. Third Level Detection
| Algorithm 3 Network Protection (Third Level Detection) |
Input: To inform other BSs about replica through the replica node’s ID and Key. Output: Protection from replication attacks in MWSN through replica node’s ID and key. Description:
|
5. Performance Evaluation
5.1. Simulation Parameters
5.2. Simulation Results: Different Parameters’ Effects on Replication Attack Detection
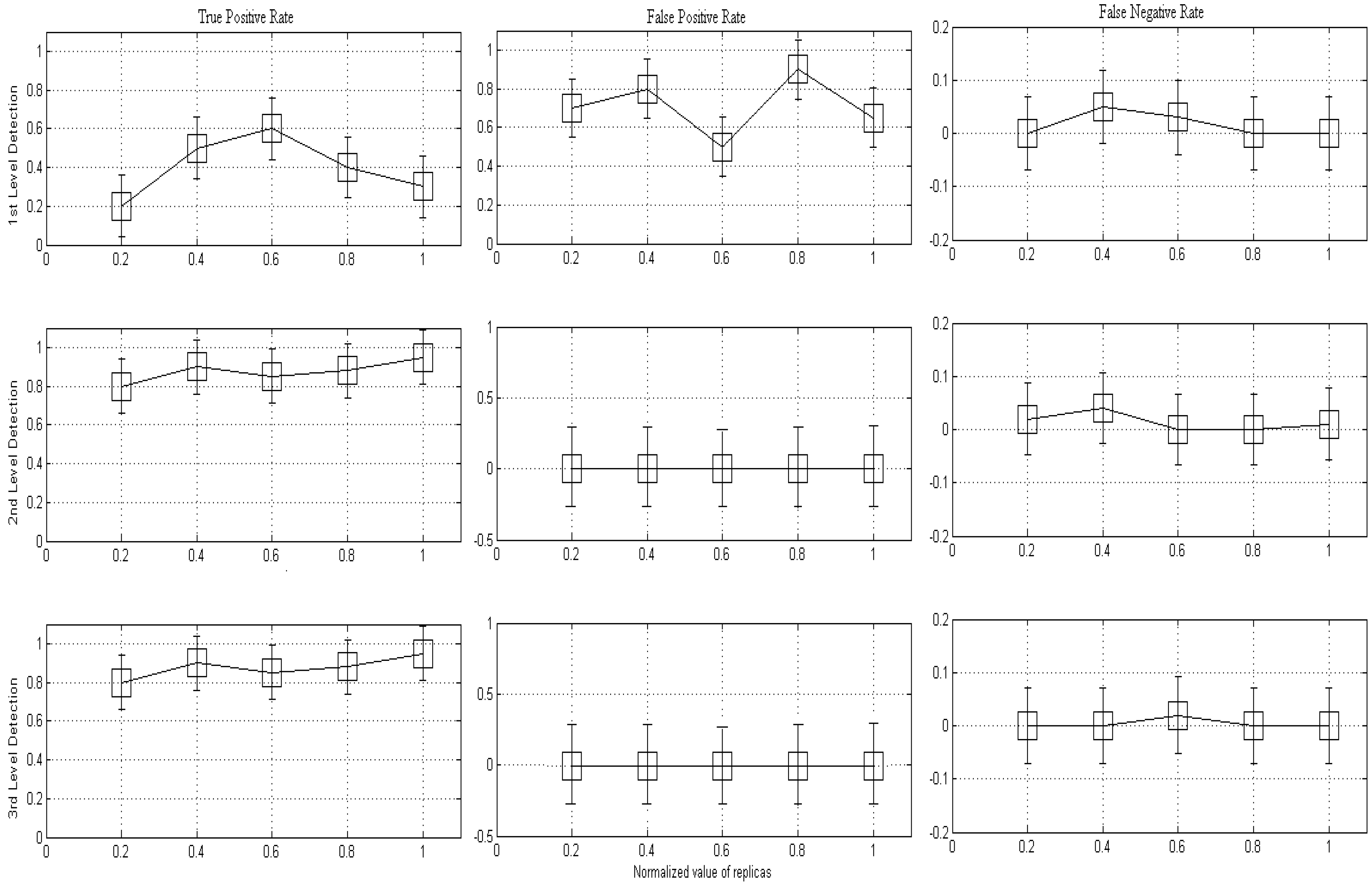
5.2.1. Detection Accuracy
5.2.2. Communication Overhead
5.2.3. Memory Overhead
5.3. Energy
5.4. Network Lifetime
5.5. Detection Time at Different Levels of DT Approach
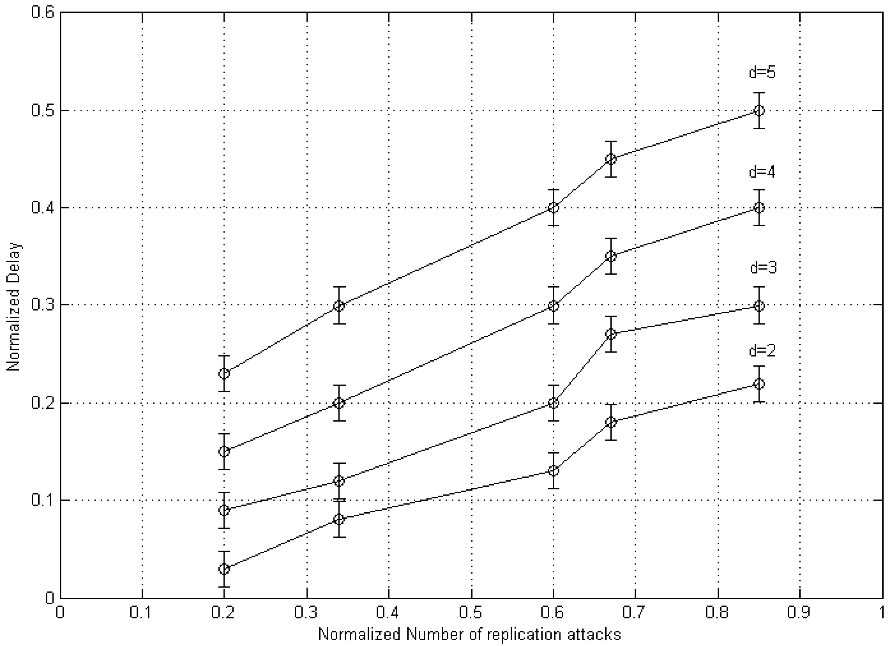
5.6. Delay Impact on Detection Efficiency
6. Comparison and Discussion
- Energy Consumption for DT (): This is the total consumption cost in support to communication and computation overhead for clone detection.
- Clone detection ratio (): This is the ratio of successful clone identification interval over the whole experiments’ execution.
- Completion time for detecting a clone (): This is the interval that is consumed when the first clone detection happens.
- Errors for False Positive: This indicates the wrongly detected replicas in MWSN (a normal node is detected as a replica).
- Error for False Negative: This reflects that clone mobile node is not identified as a clone, which may collapse and affect the capability and performance of clone detection due to wrong identification.
7. Conclusions
Author Contributions
Funding
Acknowledgments
Conflicts of Interest
References
- Akyildiz, I.F.; Su, W.; Sankarasubramaniam, Y.; Cayirci, E. Wireless sensor networks: A survey. Comput. Netw. 2002, 38, 393–422. [Google Scholar] [CrossRef]
- Shaukat, H.R.; Hashim, F.; Sali, A.; Abdul Rasid, M.F. Node Replication Attacks in Mobile Wireless Sensor Network: A Survey. Int. J. Distrib. Sens. Netw. 2014, 10, 402541. [Google Scholar] [CrossRef]
- Nonlinear Extreme Learnng Machines for Clone Attack Detection in Healthcare Wireless Sensor Network. Available online: http://www.tagajournal.com/gallery/v14.53.pdf (accessed on 11 February 2020).
- Ho, J.W.; Wright, M.; Das, S.K. Fast detection of replica node attacks in mobile sensor networks using sequential analysis. In Proceedings of the INFOCOM 2009, Rio de Janeiro, Brazil, 19–25 April 2009; pp. 1773–1781. [Google Scholar]
- Ho, J.W.; Wright, M.; Das, S.K. Fast detection of mobile replica node attacks in wireless sensor networks using sequential hypothesis testing. IEEE Trans. Mob. Comput. 2011, 10, 767–782. [Google Scholar] [CrossRef]
- Deng, X.M.; Xiong, Y. A new protocol for the detection of node replication attacks in mobile wireless sensor networks. J. Comput. Sci. Technol. 2011, 26, 732–743. [Google Scholar] [CrossRef]
- Yu, C.M.; Lu, C.S.; Kuo, S.Y. Efficient and distributed detection of node replication attacks in mobile sensor networks. In Proceedings of the 2009 IEEE 70th Vehicular Technology Conference Fall, Anchorage, AK, USA, 20–23 September 2009; pp. 1–5. [Google Scholar]
- Wang, L.M.; Shi, Y. Patrol detection for replica attacks on wireless sensor networks. Sensors 2011, 11, 2496–2504. [Google Scholar] [CrossRef] [PubMed]
- Lou, Y.; Zhang, Y.; Liu, S. Single hop detection of node clone attacks in mobile wireless sensor networks. Procedia Eng. 2012, 29, 2798–2803. [Google Scholar] [CrossRef]
- Zhu, W.T.; Zhou, J.; Deng, R.H.; Bao, F. Detecting node replication attacks in mobile sensor networks: Theory and approaches. Secur. Commun. Netw. 2012, 5, 496–507. [Google Scholar] [CrossRef]
- Conti, M.; Di Pietro, R.; Mancini, L.V.; Mei, A. Emergent properties: Detection of the node-capture attack in mobile wireless sensor networks. In Proceedings of the first ACM conference on Wireless network security, Alexandria, VA, USA, 31 March–2 April 2008; pp. 214–219. [Google Scholar]
- Deng, X.; Xiong, Y.; Chen, D. Mobility-assisted detection of the replication attacks in mobile wireless sensor networks. In Proceedings of the 2010 IEEE 6th International Conference on Wireless and Mobile Computing, Networking and Communications (WiMob), Niagara Falls, ON, Canada, 11–13 October 2010; pp. 225–232. [Google Scholar]
- Ho, J.W. Sequential Hypothesis Testing Based Approach for Replica Cluster Detection in Wireless Sensor Networks. J. Sens. Actuator Netw. 2012, 1, 153–165. [Google Scholar] [CrossRef]
- Zeng, Y.; Cao, J.; Zhang, S.; Guo, S.; Xie, L. Random-walk based approach to detect clone attacks in wireless sensor networks. IEEE J. Sel. Areas Commun. 2010, 28, 677–691. [Google Scholar] [CrossRef]
- Yu, C.M.; Tsou, Y.T.; Lu, C.S.; Kuo, S.Y. Localized Algorithms for Detection of Node Replication Attacks in Mobile Sensor Networks. IEEE Trans. Inf. Forensics Secur. 2013, 8, 754–768. [Google Scholar]
- Capkun, S.; Hubaux, J.P. Secure positioning in wireless networks. IEEE J. Sel. Areas Commun. 2006, 24, 221–232. [Google Scholar] [CrossRef]
- Hu, L.; Evans, D. Localization for mobile sensor networks. In Proceedings of the 10th Annual International Conference on Mobile Computing and Networking, Philadelphia, PA, USA, 26 September–1 October 2004; pp. 45–57. [Google Scholar]
- Aslam, M.; Javaid, N.; Rahim, A.; Nazir, U.; Bibi, A.; Khan, Z. Survey of extended LEACH-Based clustering routing protocols for wireless sensor networks. In Proceedings of the 2012 IEEE 14th International Conference on High Performance Computing and Communication and 2012 IEEE 9th International Conference on Embedded Software and Systems, Liverpool, UK, 25–27 June 2012; pp. 1232–1238. [Google Scholar]
- Xia, D.; Vlajic, N. Near-optimal node clustering in wireless sensor networks for environment monitoring. In Proceedings of the 21st International Conference on Advanced Information Networking and Applications, Niagara Falls, ON, Canada, 21–23 May 2007; pp. 632–641. [Google Scholar]
- Kong, H.Y. Energy efficient cooperative LEACH protocol for wireless sensor networks. J. Commun. Netw. 2010, 12, 358–365. [Google Scholar]
- Liu, Y.; Wu, Q.; Zhao, T.; Tie, Y.; Bai, F.; Jin, M. An Improved Energy-Efficient Routing Protocol for Wireless Sensor Networks. Sensors 2019, 19, 4579. [Google Scholar] [CrossRef] [PubMed]
- Awwad, S.A.; Ng, C.K.; Noordin, N.K.; Rasid, M.F.A. Cluster based routing protocol for mobile nodes in wireless sensor network. Wirel. Pers. Commun. 2011, 61, 251–281. [Google Scholar] [CrossRef]
- Matzinger, P. Tolerance, danger, and the extended family. Annu. Rev. Immunol. 1994, 12, 991–1045. [Google Scholar] [CrossRef] [PubMed]
- Burgess, M. Computer Immunology. Commun. ACM 1998, 98, 283–298. [Google Scholar]
- Naruephiphat, W.; Ji, Y.; Charnsripinyo, C. An area-based approach for node replica detection in wireless sensor networks. In Proceedings of the 2012 IEEE 11th International Conference on Trust, Security and Privacy in Computing and Communications, Liverpool, UK, 25–27 June 2012; pp. 745–750. [Google Scholar]
- da Cunha, A.B.; de Almeida, B.R.; da Silva, D. Remaining capacity measurement and analysis of alkaline batteries for wireless sensor nodes. IEEE Trans. Instrum. Meas. 2009, 58, 1816–1822. [Google Scholar] [CrossRef]
- Cho, M.; Schlessman, J.; Wolf, W.; Mukhopadhyay, S. Reconfigurable SRAM architecture with spatial voltage scaling for low power mobile multimedia applications. IEEE Trans. Very Large Scale Integr. VLSI Syst. 2009, 19, 161–165. [Google Scholar] [CrossRef]
- Hörmann, L.B.; Glatz, P.M.; Steger, C.; Weiss, R. Energy efficient supply of wsn nodes using component-aware dynamic voltage scaling. In Proceedings of the 17th European Wireless 2011-Sustainable Wireless Technologies, Vienna, Austria, 27–29 April 2011; pp. 1–8. [Google Scholar]
- Shaukat, H.R.; Hashim, F.; Sali, A. Danger theory based node replication attacks detection in mobile wireless sensor network. In Proceedings of the 2014 IEEE Symposium on Computer Applications and Industrial Electronics, Penang, Malaysia, 7–8 April 2014; pp. 18–23. [Google Scholar]
- Yu, C.M.; Lu, C.S.; Kuo, S.Y. Mobile sensor network resilient against node replication attacks. In Proceedings of the 2008 5th Annual IEEE Communications Society Conference on Sensor, Mesh and Ad Hoc Communications and Networks, San Francisco, CA, USA, 16–20 June 2008; pp. 597–599. [Google Scholar]
- Cho, K.; Jo, M.; Kwon, T.; Chen, H.H.; Lee, D.H. Classification and Experimental Analysis for Clone Detection Approaches in Wireless Sensor Networks. IEEE Syst. J. 2013, 7, 26–35. [Google Scholar] [CrossRef]
- Zhu, B.; Addada, V.G.K.; Setia, S.; Jajodia, S.; Roy, S. Efficient distributed detection of node replication attacks in sensor networks. In Proceedings of the Twenty-Third Annual Computer Security Applications Conference (ACSAC 2007), Miami Beach, FL, USA, 10–14 December 2007; pp. 257–267. [Google Scholar]
- Ye, F.; Luo, H.; Lu, S.; Zhang, L. Statistical en-route filtering of injected false data in sensor networks. IEEE J. Sel. Areas Commun. 2005, 23, 839–850. [Google Scholar]
- Yu, L.; Li, J. Grouping-based resilient statistical en-route filtering for sensor networks. In Proceedings of the IEEE INFOCOM 2009, Rio de Janeiro, Brazil, 19–25 April 2009; pp. 1782–1790. [Google Scholar]
- Zhu, S.; Setia, S.; Jajodia, S.; Ning, P. An interleaved hop-by-hop authentication scheme for filtering of injected false data in sensor networks. In Proceedings of the IEEE Symposium on Security and Privacy, Berkeley, CA, USA, 9–12 May 2004; pp. 259–271. [Google Scholar]

















| # of | XED | SPRT | DT | ||||||
|---|---|---|---|---|---|---|---|---|---|
| Mobile Nodes | |||||||||
| 20 | 29.740 | 1.00 | 69.610 | 0.20 | 1.00 | 29.740 | |||
| 40 | 45.680 | 0.94 | 117.65 | 0.45 | 0.94 | 30.340 | |||
| 60 | 45.420 | 0.92 | 129.44 | 0.65 | 0.98 | 50.682 | |||
| 80 | 655.29 | 0.92 | 149.91 | 1.50 | 0.96 | 88.79 | |||
| 100 | 950.93 | 0.94 | 106.96 | 2.10 | 0.95 | 107.50 | |||
| 120 | 953.24 | 0.94 | 108.04 | 2.20 | 0.95 | 145.78 | |||
| 140 | 940.30 | 0.90 | 150.92 | 2.50 | 0.90 | 175.43 | |||
| 160 | 988.79 | 0.86 | 192.27 | 2.70 | 0.87 | 198.23 | |||
| 180 | 1000.0 | 0.82 | 232.52 | 3.00 | 0.87 | 220.40 | |||
| 200 | 959.34 | 0.78 | 272.15 | 3.50 | 0.85 | 265.71 | |||
© 2020 by the authors. Licensee MDPI, Basel, Switzerland. This article is an open access article distributed under the terms and conditions of the Creative Commons Attribution (CC BY) license (http://creativecommons.org/licenses/by/4.0/).
Share and Cite
Shaukat, H.R.; Hashim, F.; Shaukat, M.A.; Ali Alezabi, K. Hybrid Multi-Level Detection and Mitigation of Clone Attacks in Mobile Wireless Sensor Network (MWSN). Sensors 2020, 20, 2283. https://doi.org/10.3390/s20082283
Shaukat HR, Hashim F, Shaukat MA, Ali Alezabi K. Hybrid Multi-Level Detection and Mitigation of Clone Attacks in Mobile Wireless Sensor Network (MWSN). Sensors. 2020; 20(8):2283. https://doi.org/10.3390/s20082283
Chicago/Turabian StyleShaukat, Haafizah Rameeza, Fazirulhisyam Hashim, Muhammad Arslan Shaukat, and Kamal Ali Alezabi. 2020. "Hybrid Multi-Level Detection and Mitigation of Clone Attacks in Mobile Wireless Sensor Network (MWSN)" Sensors 20, no. 8: 2283. https://doi.org/10.3390/s20082283
APA StyleShaukat, H. R., Hashim, F., Shaukat, M. A., & Ali Alezabi, K. (2020). Hybrid Multi-Level Detection and Mitigation of Clone Attacks in Mobile Wireless Sensor Network (MWSN). Sensors, 20(8), 2283. https://doi.org/10.3390/s20082283

