Chipless RFID Sensors for the Internet of Things: Challenges and Opportunities
Abstract
1. Introduction
2. Chipless RFID for IoT Pervasiveness: System Architecture
2.1. Reader Structure
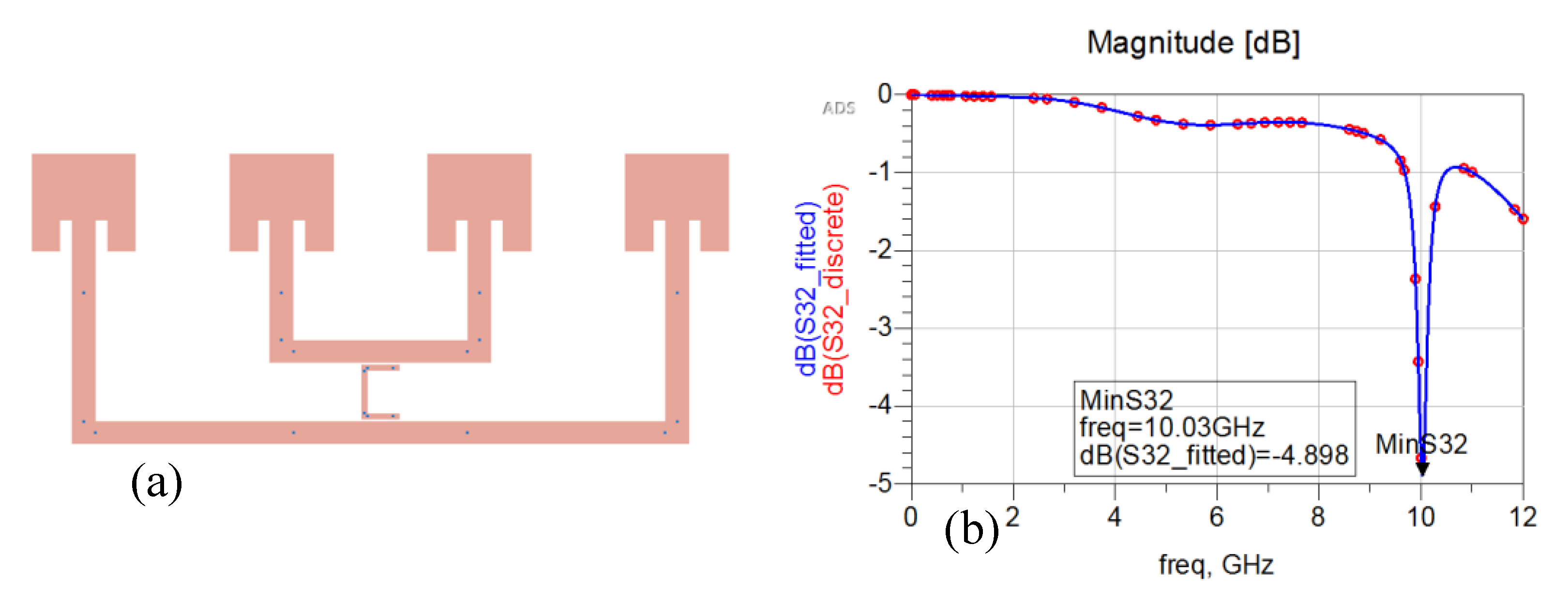
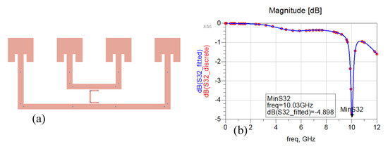
2.2. Tag Structure
3. Smart Materials for Chipless Sensing
4. Sensor Fabrication Techniques
4.1. Micro and Nanolithography
4.2. Screen and Inkjet Printing
4.3. Other Fabrication Techniques
5. Applications
5.1. Physical Sensors
5.2. Chemical Sensors
5.3. Smart Packaging
5.4. Structural Health
5.5. Position, Displacement and Touch Sensors
5.6. Wearables and Implants
6. Conclusions
Author Contributions
Funding
Conflicts of Interest
References
- Costa, F.; Genovesi, S.; Borgese, M.; Dicandia, F.A.; Manara, G.; Tedjini, S.; Perret, E.; Girbau, D.; Lazaro, A.; Villarino, R. Design of wireless sensors by using chipless RFID technology. In Proceedings of the 2017 Progress in Electromagnetics Research Symposium—Spring (PIERS), St. Petersburg, Russia, 22–25 May 2017; pp. 3309–3313. [Google Scholar] [CrossRef]
- Vena, A. Chipless RFID Based on RF Encoding Particle: Realization, Coding, Reading System; Remote identification beyond RFID set; ISTE Press: London, UK; Elsevier: London, UK, 2016; ISBN 978-1-78548-107-9. [Google Scholar]
- Preradovic, S.; Karmakar, N.C. Chipless RFID: Bar Code of the Future. IEEE Microw. Mag. 2010, 11, 87–97. [Google Scholar] [CrossRef]
- Herrojo, C.; Paredes, F.; Mata-Contreras, J.; Martín, F. Martín Chipless-RFID: A Review and Recent Developments. Sensors 2019, 19, 3385. [Google Scholar] [CrossRef] [PubMed]
- Chipless RFID Radiation Detector (CHEDDAR). EU-ATTRACT Project. Available online: https://attract-eu.com/selected-projects/chipless-rfid-radiation-detector-cheddar/ (accessed on 28 February 2020).
- ChiplEss MultisEnsor Rfid for GrEen NeTworks|EMERGENT Project|H2020|CORDIS|European Commission. Available online: http://www.emergent-rise.eu/ (accessed on 28 February 2020).
- Forouzandeh, M.; Karmakar, N.C. Chipless RFID tags and sensors: A review on time-domain techniques. Wirel. Power Transf. 2015, 2, 62–77. [Google Scholar] [CrossRef]
- Preradovic, S.; Karmakar, N.C. Multiresonator-Based Chipless RFID: Barcode of the Future; Springer: New York, NY, USA, 2012; ISBN 978-1-4614-2094-1. [Google Scholar] [CrossRef]
- Liu, Y.; Yang, X. Chipless Radio Frequency Identification Tag Design with Modified Interdigital Hairpin Resonators. In Proceedings of the 2018 International Conference on Intelligent Transportation, Big Data Smart City (ICITBS), Xiamen, China, 25–26 January 2018; pp. 645–648. [Google Scholar] [CrossRef]
- Hartmann, C.; Hartmann, P.; Brown, P.; Bellamy, J.; Claiborne, L.; Bonner, W. Anti-collision methods for global SAW RFID tag systems. In Proceedings of the IEEE Ultrasonics Symposium, Montreal, QC, Canada, 23–27 August 2004; Volume 2, pp. 805–808. [Google Scholar] [CrossRef]
- Chen, C.; Chen, Y.; Li, T.; Yu, Y.; Wu, W. A chipless RFID system based on polarization characteristics. In Proceedings of the 2017 7th IEEE International Symposium on Microwave, Antenna, Propagation, and EMC Technologies (MAPE), Xi’an, China, 24–27 October 2017; pp. 324–329. [Google Scholar] [CrossRef]
- Sharma, V.; Hashmi, M. Chipless RFID tag based on open-loop resonator. In Proceedings of the 2017 IEEE Asia Pacific Microwave Conference (APMC), Kuala Lumpur, Malaysia, 13–16 November 2017; pp. 543–546. [Google Scholar]
- Bhuiyan, M.S.; Karmakar, N.C. An efficient coplanar retransmission type chipless rfid tag based on dual-band MC-SSR. Prog. Electromagn. Res. C 2014, 54, 133–141. [Google Scholar] [CrossRef]
- Jalaly, I.; Robertson, I.D. Capacitively-tuned split microstrip resonators for RFID barcodes. In Proceedings of the 2005 European Microwave Conference, Paris, France, 4–6 October 2005; Volume 2, p. 1164. [Google Scholar] [CrossRef]
- Xie, K.; Xue, Y. A 12 bits chipless RFID tag based on ‘I-shaped’ slot resonators. In Proceedings of the 2017 6th International Conference on Computer Science and Network Technology (ICCSNT), Dalian, China, 21–22 October 2017; pp. 320–324. [Google Scholar] [CrossRef]
- McVay, J.; Hoorfar, A.; Engheta, N. Space-filling curve RFID tags. In Proceedings of the 2006 IEEE Radio and Wireless Symposium, San Diego, CA, USA, 17–19 January 2006; pp. 199–202. [Google Scholar] [CrossRef]
- Pazmiño, E.; Vásquez, J.; Rosero, J.; Pozo, D. Passive chipless RFID tag using fractals: A design based simulation. In Proceedings of the 2017 IEEE Second Ecuador Technical Chapters Meeting (ETCM), Piscataway, NJ, USA, 16–20 October 2017; pp. 1–4. [Google Scholar] [CrossRef]
- Complex-Natural-Resonance-Based Design of Chipless RFID Tag for High-Density Data—IEEE Journals & Magazine. Available online: https://ieeexplore.ieee.org/document/6665153 (accessed on 24 February 2020).
- Wang, L.; Liu, T.; Sidén, J.; Wang, G. Design of Chipless RFID Tag by Using Miniaturized Open-Loop Resonators. IEEE Trans. Antennas Propag. 2018, 66, 618–626. [Google Scholar] [CrossRef]
- Huang, H.; Su, L. A Compact Dual-Polarized Chipless RFID Tag by Using Nested Concentric Square Loops. Antennas Wirel. Propag. Lett. 2017, 16, 1036–1039. [Google Scholar] [CrossRef]
- Manekiya, M.; Donelli, M.; Kumar, A.; Menon, S. A Novel Detection Technique for a Chipless RFID System Using Quantile Regression. Electronics 2018, 7, 409. [Google Scholar] [CrossRef]
- Vernon, F. Application of the microwave homodyne. Trans. IRE Prof. Group Antennas Propag. 1952, 110–116. [Google Scholar] [CrossRef]
- Pozar, D.M. Microwave Engineering, 4th ed.; John Wiley & Sons Inc.: Hoboken, NJ, USA, 2011; ISBN 978-0-470-63155-3. [Google Scholar]
- Bolomey, J.C.; Capdevila, S.; Jofre, L.; Romeu, J. Electromagnetic Modeling of RFID-Modulated Scattering Mechanism. Application to Tag Performance Evaluation. Proc. IEEE 2010, 98, 1555–1569. [Google Scholar] [CrossRef]
- Bolomey, J.-C.; Gardiol, F.E. Engineering Applications of the Modulated Scatterer Technique; Artech House: Norwood, MA, USA, 2001; ISBN 978-1-58053-147-4. [Google Scholar]
- Bracht, R.; Miller, E.K.; Kuckertz, T. An impedance-modulated-reflector system. IEEE Potentials 1999, 18, 29–33. [Google Scholar] [CrossRef]
- Harrington, R. Electromagnetic scattering by antennas. IEEE Trans. Antennas Propag. 1963, 11, 595–596. [Google Scholar] [CrossRef]
- Donelli, M. Guidelines for the Design and Optimization of Wireless Sensors Based on the Modulated Scattering Technique. IEEE Trans. Instrum. Meas. 2014, 63, 1824–1833. [Google Scholar] [CrossRef]
- Donelli, M. A chipless RFID system based on substrate impedance waveguide resonators (SIW). In Proceedings of the 2017 IEEE-APS Topical Conference on Antennas and Propagation in Wireless Communications (APWC), Verona, Italy, 11–15 September 2017; pp. 29–32. [Google Scholar] [CrossRef]
- Donelli, M. Design of long-range, powerless RFID sensor at 10 GHz. Electron. Lett. 2013, 49, 1277–1278. [Google Scholar] [CrossRef]
- Caorsi, S.; Donelli, M.; Pastorino, M. A passive antenna system for data acquisition in scattering applications. IEEE Antennas Wirel. Propag. Lett. 2002, 1, 203–206. [Google Scholar] [CrossRef]
- Donelli, M. A broadband modulated scattering technique (MST) probe based on a self complementary antenna. In Proceedings of the 2017 IEEE-APS Topical Conference on Antennas and Propagation in Wireless Communications (APWC), Verona, Italy, 11–15 September 2017; pp. 25–28. [Google Scholar] [CrossRef]
- Donelli, M.; Viani, F. Graphene-Based Antenna for the Design of Modulated Scattering Technique (MST) Wireless Sensors. IEEE Antennas Wirel. Propag. Lett. 2016, 15, 1561–1564. [Google Scholar] [CrossRef]
- Donelli, M. A 24GHz environmental sensor based on the modulated scattering technique (MST). In Proceedings of the 2014 IEEE Conference on Antenna Measurements Applications (CAMA), Antibes Juan-les-Pins, France, 16–19 November 2014; pp. 1–3. [Google Scholar] [CrossRef]
- Shen, Y.; Law, C.L. A Low-Cost UWB-RFID System Utilizing Compact Circularly Polarized Chipless Tags. Antennas Wirel. Propag. Lett. 2012, 11, 1382–1385. [Google Scholar] [CrossRef]
- Martinez, M.; van der Weide, D. Circular polarization on depolarizing chipless RFID tags. In Proceedings of the 2016 IEEE Radio and Wireless Symposium (RWS), Austin, TX, USA, 24–27 January 2016; pp. 145–147. [Google Scholar] [CrossRef]
- Mc Gee, K.; Anandarajah, P.; Collins, D. A Review of Chipless Remote Sensing Solutions Based on RFID Technology. Sensors 2019, 19, 4829. [Google Scholar] [CrossRef]
- Sharp, E.; Diab, M. Van Atta reflector array. IRE Trans. Antennas Propag. 1960, 8, 436–438. [Google Scholar] [CrossRef]
- Ang, P.; Eleftheriades, G.V. A Passive Redirecting Van Atta-Type Reflector. IEEE Antennas Wirel. Propag. Lett. 2018, 17, 689–692. [Google Scholar] [CrossRef]
- Braaten, B.D.; Asif, S.; Khan, S.; Hansen, J.; Ewert, D.L. A compact printed Van Atta Array with zero-phase CRLH transmission lines. In Proceedings of the 2015 IEEE International Symposium on Antennas and Propagation USNC/URSI National Radio Science Meeting, Vancouver, BC, Canada, 19–25 July 2015; pp. 1856–1857. [Google Scholar] [CrossRef]
- Vladimirova, T.; Wu, X.; Sidibeh, K.; Barnhart, D.; Jallad, A. Enabling Technologies for Distributed Picosatellite Missions in LEO. In Proceedings of the First NASA/ESA Conference on Adaptive Hardware and Systems (AHS’06), Istanbul, Turkey, 15–18 June 2006; pp. 330–337. [Google Scholar] [CrossRef]
- Wong, K.W.; Chiu, L.; Xue, Q. A 2-D Van Atta Array Using Star-Shaped Antenna Elements. IEEE Trans. Antennas Propag. 2007, 55, 1204–1206. [Google Scholar] [CrossRef]
- Yukhanov, Y.V.; Kriuk, E.V.; Merglodov, I.V. Exciter system for Van-Atta array. In Proceedings of the 2017 Radiation and Scattering of Electromagnetic Waves (RSEMW), Divnomorskoe, Russia, 26–30 June 2017; pp. 213–216. [Google Scholar] [CrossRef]
- Amin, E.M.; Saha, J.K.; Karmakar, N.C. Smart Sensing Materials for Low-Cost Chipless RFID Sensor. IEEE Sens. J. 2014, 14, 2198–2207. [Google Scholar] [CrossRef]
- Dey, S.; Amin, E.M.; Saha, J.K.; Karmakar, N.C. A brief overview of chipless RFID sensors with EM transduction. In Proceedings of the IEEE 8th International Conference on Electrical and Computer Engineering, Dhaka, Bangladesh, 20–22 December 2014; pp. 765–768. [Google Scholar] [CrossRef]
- Genovesi, S.; Costa, F.; Borgese, M.; Monorchio, A.; Manara, G. Chipless RFID tag exploiting cross polarization for angular rotation sensing. In Proceedings of the 2016 IEEE International Conference on Wireless for Space and Extreme Environments (WiSEE), Aachen, Germany, 26–29 September 2016; pp. 158–160. [Google Scholar] [CrossRef]
- Genovesi, S.; Costa, F.; Borgese, M.; Dicandia, F.A.; Monorchio, A.; Manara, G. Chipless RFID sensor for rotation monitoring. In Proceedings of the 2017 IEEE International Conference on RFID Technology & Application (RFID-TA), Warsaw, Poland, 20–22 September 2017; pp. 233–236. [Google Scholar] [CrossRef]
- Dey, S.; Saha, J.K.; Karmakar, N.C. Smart Sensing: Chipless RFID Solutions for the Internet of Everything. IEEE Microw. 2015, 16, 26–39. [Google Scholar] [CrossRef]
- Kao, K.C. Dielectric Phenomena in Solids; Academic Press: Amsterdam, The Netherlands; Boston, MA, USA, 2004; ISBN 978-0-12-396561-5. [Google Scholar]
- Amin, E.M.; Karmakar, N.C.; Winther-Jensen, B. Polyvinyl-Alcohol (PVA)-Based rf humidity sensor in microwave frequency. Prog. Electromagn. Res. 2013, 54, 149–166. [Google Scholar] [CrossRef]
- Nangia, R.; Shukla, N.K.; Sharma, A. Preparation, Structural and Dielectric Properties of Solution Grown Polyvinyl Alcohol(PVA) Film. IOP Conf. Ser. Mater. Sci. Eng. 2017, 225. [Google Scholar] [CrossRef]
- Li, Y.-H.; Lue, J.-T. Dielectric Constants of Single-Wall Carbon Nanotubes at Various Frequencies. J. Nanosci. Nanotechnol. 2007, 7, 3185–3188. [Google Scholar] [CrossRef] [PubMed]
- Vena, A.; Sydänheimo, L.; Tentzeris, M.M.; Ukkonen, L. A novel inkjet printed carbon nanotube-based chipless RFID sensor for gas detection. In Proceedings of the 2013 IEEE European Microwave Conference, Nuremberg, Germany, 6–10 October 2013. [Google Scholar]
- McGrath, M.P.; Pham, A. Carbon Nanotube Based Microwave Resonator Gas Sensors. In Nanotubes and Nanowires; Selected Topics in Electronics and Systems; World Scientific: Singapore, 2007; Volume 44, pp. 31–53. ISBN 978-981-270-435-1. [Google Scholar] [CrossRef]
- Vena, A.; Sydänheimo, L.; Tentzeris, M.M.; Ukkonen, L. A Fully Inkjet-Printed Wireless and Chipless Sensor for CO2 and Temperature Detection. IEEE Sens. J. 2015, 15, 89–99. [Google Scholar] [CrossRef]
- Borgese, M.; Dicandia, F.A.; Costa, F.; Genovesi, S.; Manara, G. An Inkjet Printed Chipless RFID Sensor for Wireless Humidity Monitoring. IEEE Sens. J. 2017, 17, 4699–4707. [Google Scholar] [CrossRef]
- Vena, A.; Perret, E.; Kaddour, D.; Baron, T. Toward a Reliable Chipless RFID Humidity Sensor Tag Based on Silicon Nanowires. IEEE Trans. Microw. Theory Tech. 2016, 64, 2977–2985. [Google Scholar] [CrossRef]
- Zarifi, M.H.; Rahimi, M.; Daneshmand, M.; Thundat, T. Microwave ring resonator-based non-contact interface sensor for oil sands applications. Sens. Actuators B Chem. 2016, 224, 632–639. [Google Scholar] [CrossRef]
- Vena, A.; Perret, E.; Tedjini, S.; Eymin Petot Tourtollet, G.; Delattre, A.; Garet, F.; Boutant, Y. Design of Chipless RFID Tags Printed on Paper by Flexography. IEEE Trans. Antennas Propag. 2013, 61, 5868–5877. [Google Scholar] [CrossRef]
- Kellomäki, T.; Virkki, J.; Merilampi, S.; Ukkonen, L. Towards Washable Wearable Antennas: A Comparison of Coating Materials for Screen-Printed Textile-Based UHF RFID Tags. Int. J. Antennas Propag. 2012, 2012. [Google Scholar] [CrossRef]
- Athauda, T.; Karmakar, N. Screen Printed Chipless RFID Resonator Design for Remote Sensing Applications. In Proceedings of the 2018 IEEE Asia-Pacific Microwave Conference (APMC), Kyoto, Japan, 6–9 November 2018; pp. 1321–1323. [Google Scholar] [CrossRef]
- Hester, J.G.D.; Kimionis, J.; Tentzeris, M.M. Printed Motes for IoT Wireless Networks: State of the Art, Challenges, and Outlooks. IEEE Trans. Microw. Theory Tech. 2017, 65, 1819–1830. [Google Scholar] [CrossRef]
- Sanchez-Romaguera, V.; Ziai, M.A.; Oyeka, D.; Barbosa, S.; Wheeler, J.S.R.; Batchelor, J.C.; Parker, E.A.; Yeates, S.G. Towards inkjet-printed low cost passive UHF RFID skin mounted tattoo paper tags based on silver nanoparticle inks. J. Mater. Chem. C 2013, 1, 6395–6402. [Google Scholar] [CrossRef][Green Version]
- Shao, S.; Kiourti, A.; Burkholder, R.J.; Volakis, J.L. Broadband Textile-Based Passive UHF RFID Tag Antenna for Elastic Material. Antennas Wirel. Propag. Lett. 2015, 14, 1385–1388. [Google Scholar] [CrossRef]
- Koski, K.; Sydanheimo, L.; Rahmat-Samii, Y.; Ukkonen, L. Fundamental Characteristics of Electro-Textiles in Wearable UHF RFID Patch Antennas for Body-Centric Sensing Systems. IEEE Trans. Antennas Propag. 2014, 62, 6454–6462. [Google Scholar] [CrossRef]
- Vena, A.; Moradi, E.; Koski, K.; Babar, A.A.; Sydanheimo, L.; Ukkonen, L.; Tentzeris, M.M. Design and realization of stretchable sewn chipless RFID tags and sensors for wearable applications. In Proceedings of the 2013 IEEE International Conference on RFID (RFID), Penang, Malaysia, 9–11 December 2013; pp. 176–183. [Google Scholar] [CrossRef]
- Pranonsatit, S.; Narkcharoen, P. Chipless RFID multiresonators fabricated by Fill until Full (FuF) technique. In Proceedings of the 2012 IEEE International Conference on RFID-Technologies and Applications (RFID-TA), Nice, France, 5–7 November 2012; pp. 389–392. [Google Scholar] [CrossRef]
- Reynolds, M.S. A 500 °C tolerant ultra-high temperature 2.4 GHz 32 bit chipless RFID tag with a mechanical BPSK modulator. In Proceedings of the 2017 IEEE International Conference on RFID (RFID), Phoenix, AZ, USA, 9–11 May 2017; pp. 144–148. [Google Scholar] [CrossRef]
- El Matbouly, H.; Tedjini, S.; Zannas, K.; Duroc, Y. Chipless RFID Threshold Temperature Sensor Compliant with UHF and ISM Radio Frequency. In Proceedings of the 2018 IEEE 2nd URSI Atlantic Radio Science Meeting (AT-RASC), Gran Canaria, Spain, 28 May–1 June 2018; pp. 1–4. [Google Scholar] [CrossRef]
- Girbau, D.; Ramos, A.; Lazaro, A.; Rima, S.; Villarino, R. Passive Wireless Temperature Sensor Based on Time-Coded UWB Chipless RFID Tags. IEEE Trans. Microw. Theory Tech. 2012, 60, 3623–3632. [Google Scholar] [CrossRef]
- Buff, W.; Klett, S.; Rusko, M.; Ehrenpfordt, J.; Goroli, M. Passive remote sensing for temperature and pressure using SAW resonator devices. IEEE Trans. Ultrason. Ferroelectr. Freq. Control 1998, 45, 1388–1392. [Google Scholar] [CrossRef]
- Chipless, R.F.I.D. Temperature Memory and Multiparameter Sensor. In Chipless RFID Sensors; John Wiley & Sons, Ltd.: Hoboken, NJ, USA, 2016; pp. 171–186. ISBN 978-1-119-07810-4. [Google Scholar] [CrossRef]
- Amin, E.M.; Karmakar, N. Development of a chipless RFID temperature sensor using cascaded spiral resonators. In Proceedings of the 2011 IEEE SENSORS, Limerick, Ireland, 28–31 October 2011; pp. 554–557. [Google Scholar] [CrossRef]
- Kubina, B.; Mandel, C.; Schussler, M.; Sazegar, M.; Jakoby, R. A wireless chipless temperature sensor utilizing an orthogonal polarized backscatter scheme. In Proceedings of the 2012 IEEE 42nd European Microwave Conference, Amsterdam, The Netherlands, 29 October–1 November 2012; pp. 61–64. [Google Scholar] [CrossRef]
- Fletcher, R.R.; Gershenfeld, N.A. Remotely interrogated temperature sensors based on magnetic materials. IEEE Trans. Magn. 2000, 36, 2794–2795. [Google Scholar] [CrossRef]
- Jabeen, I.; Ejaz, A.; Rahman, M.U.; Naghshvarianjahromi, M.; Khan, M.J.; Amin, Y.; Tenhunen, H. Data-Dense and Miniature Chipless Moisture Sensor RFID Tag for Internet of Things. Electronics 2019, 8, 1182. [Google Scholar] [CrossRef]
- Mahmood, A.; Sigmarsson, H.H.; Joshi, H.; Chappell, W.J.; Peroulis, D. An Evanescent-mode Cavity Resonator Based Thermal Sensor. In Proceedings of the 2007 IEEE SENSORS, Atlanta, Georgia, 28–31 October 2007; pp. 950–953. [Google Scholar] [CrossRef]
- Traille, A.; Bouaziz, S.; Pinon, S.; Pons, P.; Aubert, H.; Boukabache, A.; Tentzeris, M. A wireless passive RCS-based temperature sensor using liquid metal and microfluidics technologies. In Proceedings of the 2011 41st European Microwave Conference, Manchester, UK, 10–13 October 2011; pp. 45–48. [Google Scholar] [CrossRef]
- Thai, T.T.; Mehdi, J.M.; Chebila, F.; Aubert, H.; Pons, P.; DeJean, G.R.; Tentzeris, M.M.; Plana, R. Design and Development of a Novel Passive Wireless Ultrasensitive RF Temperature Transducer for Remote Sensing. IEEE Sens. J. 2012, 12, 2756–2766. [Google Scholar] [CrossRef]
- Thai, T.T.; Chebila, F.; Mehdi, J.M.; Pons, P.; Aubert, H.; Tentzeris, M.M.; Plana, R. Design and Development of a Millimetre-wave Novel Passive Ultrasensitive Temperature Transducer for Remote Sensing and Identification. In Proceedings of the 40th IEEE European Microwave Conference, Paris, France, 28–30 September 2010. [Google Scholar]
- Amin, E.M.; Karmakar, N.C. Development of a low cost printable humidity sensor for chipless RFID technology. In Proceedings of the 2012 IEEE International Conference on RFID-Technologies and Applications (RFID-TA), Nice, France, 5–7 November 2012; pp. 165–170. [Google Scholar] [CrossRef]
- Amin, E.M.; Bhuiyan, M.S.; Karmakar, N.C.; Winther-Jensen, B. Development of a Low Cost Printable Chipless RFID Humidity Sensor. IEEE Sens. J. 2014, 14, 140–149. [Google Scholar] [CrossRef]
- Abbasi, Z.; Shariaty, P.; Hashisho, Z.; Daneshmand, M. SilicaGel-Integrated Chipless RF Tag for Humidity Sensing. In Proceedings of the 2018 IEEE 18th International Symposium on Antenna Technology and Applied Electromagnetics (ANTEM), Waterloo, ON, Canada, 19–22 August 2018; pp. 1–2. [Google Scholar] [CrossRef]
- Nair, R.S.; Perret, E.; Tedjini, S.; Baron, T. A Group-Delay-Based Chipless RFID Humidity Tag Sensor Using Silicon Nanowires. Antennas Wirel. Propag. Lett. 2013, 12, 729–732. [Google Scholar] [CrossRef]
- Vena, A.; Perret, E.; Tedjini, S.; Kaddour, D.; Potie, A.; Barron, T. A compact chipless RFID tag with environment sensing capability. In Proceedings of the 2012 IEEE/MTT-S International Microwave Symposium Digest, Montreal, QC, Canada, 17–22 June 2012; pp. 1–3. [Google Scholar] [CrossRef]
- Ekmekci, E.; Turhan-Sayan, G. Metamaterial sensor applications based on broadside-coupled SRR and V-Shaped resonator structures. In Proceedings of the 2011 IEEE International Symposium on Antennas and Propagation (APSURSI), Spokane, WA, USA, 3–8 July 2011; pp. 1170–1172. [Google Scholar] [CrossRef]
- Ren, Q.-Y.; Wang, L.-F.; Huang, J.-Q.; Zhang, C.; Huang, Q.-A. Simultaneous Remote Sensing of Temperature and Humidity by LC-Type Passive Wireless Sensors. J. Microelectromech. Syst. 2015, 24, 1117–1123. [Google Scholar] [CrossRef]
- Li, W.; Liang, T.; Liu, W.; Jia, P.; Chen, Y.; Xiong, J.; Lei, C.; Hong, Y.; Li, Y. Wireless passive pressure sensor based on sapphire direct bonding for harsh environments. Sens. Actuators A Phys. 2018, 280, 406–412. [Google Scholar] [CrossRef]
- Gibson, G.A. Chemical Sensors Based on Chipless Radio Frequency Identification (Rfid) Architectures. U.S. Patent No. 9,824,252, 21 November 2017. [Google Scholar]
- Yang, L.; Zhang, R.; Staiculescu, D.; Wong, C.P.; Tentzeris, M.M. A Novel Conformal RFID-Enabled Module Utilizing Inkjet-Printed Antennas and Carbon Nanotubes for Gas-Detection Applications. Antennas Wirel. Propag. Lett. 2009, 8, 653–656. [Google Scholar] [CrossRef]
- Chen, W.T.; Stewart, K.M.E.; Mansour, R.R.; Penlidis, A. Novel undercoupled radio-frequency (RF) resonant sensor for gaseous ethanol and interferents detection. Sens. Actuators A Phys. 2015, 230, 63–73. [Google Scholar] [CrossRef]
- Shrestha, S.; Balachandran, M.; Agarwal, M.; Phoha, V.V.; Varahramyan, K. A Chipless RFID Sensor System for Cyber Centric Monitoring Applications. IEEE Trans. Microw. Theory Tech. 2009, 57, 1303–1309. [Google Scholar] [CrossRef]
- Balachandran, M.D.; Shrestha, S.; Agarwal, M.; Lvov, Y.; Varahramyan, K. SnO2 capacitive sensor integrated with microstrip patch antenna for passive wireless detection of ethylene gas. Electron. Lett. 2008, 44, 464–466. [Google Scholar] [CrossRef]
- Su, W.; Cook, B.S.; Tentzeris, M.M. Additively Manufactured Microfluidics-Based “Peel-and-Replace” RF Sensors for Wearable Applications. IEEE Trans. Microw. Theory Tech. 2016, 64, 1928–1936. [Google Scholar] [CrossRef]
- Li, Z.; Bhadra, S. A 3-bit fully inkjet-printed flexible chipless RFID for wireless concentration measurements of liquid solutions. Sens. Actuators A Phys. 2019, 299, 111581. [Google Scholar] [CrossRef]
- Harnsoongnoen, S.; Wanthong, A. Coplanar waveguides loaded with a split ring resonator-based microwave sensor for aqueous sucrose solutions. Meas. Sci. Technol. 2015, 27. [Google Scholar] [CrossRef]
- Costa, F.; Gentile, A.; Genovesi, S.; Buoncristiani, L.; Lazaro, A.; Villarino, R.; Girbau, D. A Depolarizing Chipless RF Label for Dielectric Permittivity Sensing. IEEE Microw. Wirel. Compon. Lett. 2018, 28, 371–373. [Google Scholar] [CrossRef]
- Ebrahimi, A.; Withayachumnankul, W.; Al-Sarawi, S.; Abbott, D. High-Sensitivity Metamaterial-Inspired Sensor for Microfluidic Dielectric Characterization. IEEE Sens. J. 2014, 14, 1345–1351. [Google Scholar] [CrossRef]
- Chretiennot, T.; Dubuc, D.; Grenier, K. A Microwave and Microfluidic Planar Resonator for Efficient and Accurate Complex Permittivity Characterization of Aqueous Solutions. IEEE Trans. Microw. Theory Tech. 2013, 61, 972–978. [Google Scholar] [CrossRef]
- Abduljabar, A.A.; Rowe, D.J.; Porch, A.; Barrow, D.A. Novel Microwave Microfluidic Sensor Using a Microstrip Split-Ring Resonator. IEEE Trans. Microw. Theory Tech. 2014, 62, 679–688. [Google Scholar] [CrossRef]
- Chahadih, A.; Cresson, P.Y.; Hamouda, Z.; Gu, S.; Mismer, C.; Lasri, T. Microwave/microfluidic sensor fabricated on a flexible kapton substrate for complex permittivity characterization of liquids. Sens. Actuators A Phys. 2015, 229, 128–135. [Google Scholar] [CrossRef]
- Preradovic, S.; Balbin, I.; Karmakar, N.C.; Swiegers, G.F. Multiresonator-Based Chipless RFID System for Low-Cost Item Tracking. IEEE Trans. Microw. Theory Tech. 2009, 57, 1411–1419. [Google Scholar] [CrossRef]
- Herrojo, C.; Moras, M.; Paredes, F.; Núñez, A.; Ramon, E.; Mata-Contreras, J.; Martín, F. Very Low-Cost 80-Bit Chipless-RFID Tags Inkjet Printed on Ordinary Paper. Technologies 2018, 6, 52. [Google Scholar] [CrossRef]
- Müller, P.; Schmid, M. Intelligent Packaging in the Food Sector: A Brief Overview. Foods 2019, 8, 16. [Google Scholar] [CrossRef]
- Shao, B.; Amin, Y.; Chen, Q.; Liu, R.; Zheng, L.-R. Directly Printed Packaging-Paper-Based Chipless RFID Tag with Coplanar $LC$ Resonator. Antennas Wirel. Propag. Lett. 2013, 12, 325–328. [Google Scholar] [CrossRef]
- Zeb, S.; Habib, A.; Amin, Y.; Tenhunen, H.; Loo, J. Green Electronic Based Chipless Humidity Sensor for IoT Applications. In Proceedings of the 2018 IEEE Green Technologies Conference (GreenTech), Oklahoma City, OK, USA, 1–3 April 2018; pp. 172–175. [Google Scholar] [CrossRef]
- Feng, Y.; Xie, L.; Chen, Q.; Zheng, L.-R. Low-Cost Printed Chipless RFID Humidity Sensor Tag for Intelligent Packaging. IEEE Sens. J. 2015, 15, 3201–3208. [Google Scholar] [CrossRef]
- Öhlund, T.; Örtegren, J.; Forsberg, S.; Nilsson, H.-E. Paper surfaces for metal nanoparticle inkjet printing. Appl. Surf. Sci. 2012, 259, 731–739. [Google Scholar] [CrossRef]
- Tan, E.L.; Ng, W.N.; Shao, R.; Pereles, B.D.; Ong, K.G. A Wireless, Passive Sensor for Quantifying Packaged Food Quality. Sensors 2007, 7, 1747–1756. [Google Scholar] [CrossRef] [PubMed]
- Javed, N.; Habib, A.; Amin, Y.; Loo, J.; Akram, A.; Tenhunen, H. Directly Printable Moisture Sensor Tag for Intelligent Packaging. IEEE Sens. J. 2016, 16, 6147–6148. [Google Scholar] [CrossRef]
- Athauda, T.; Karmakar, N.C. The Realization of Chipless RFID Resonator for Multiple Physical Parameter Sensing. IEEE Internet Things J. 2019, 6, 5387–5396. [Google Scholar] [CrossRef]
- Athauda, T.; Bhattacharyya, R.; Karmakar, N.; Sarma, S. Electromagnetic characterization of a food safe, organic smart material for customizable temperature threshold sensing in cold chain applications. In Proceedings of the 2019 IEEE International Conference on RFID (RFID), Phoenix, AZ, USA, 2–4 April 2019; pp. 1–6. [Google Scholar] [CrossRef]
- Yang, K.; Botero, U.; Shen, H.; Forte, D.; Tehranipoor, M. A split manufacturing approach for unclonable chipless RFIDs for pharmaceutical supply chain security. In Proceedings of the 2017 IEEE Asian Hardware Oriented Security and Trust Symposium (AsianHOST), Beijing, China, 19–20 October 2017; pp. 61–66. [Google Scholar] [CrossRef]
- Mohammadi, S.; Narang, R.; Mohammadi Ashani, M.; Sadabadi, H.; Sanati-Nezhad, A.; Zarifi, M.H. Real-time monitoring of Escherichia coli concentration with planar microwave resonator sensor. Microw. Opt. Technol. Lett. 2019, 61, 2534–2539. [Google Scholar] [CrossRef]
- Zhang, J.; Tian, G.Y.; Marindra, A.M.J.; Sunny, A.I.; Zhao, A.B. A Review of Passive RFID Tag Antenna-Based Sensors and Systems for Structural Health Monitoring Applications. Sensors 2017, 17, 265. [Google Scholar] [CrossRef]
- Donelli, M.; Viani, F. Remote Inspection of the Structural Integrity of Engineering Structures and Materials with Passive MST Probes. IEEE Trans. Geosci. Remote Sens. 2017, 55, 6756–6766. [Google Scholar] [CrossRef]
- Donelli, M.; Franceschini, D. Experiments with a Modulated Scattering System for Through-Wall Identification. IEEE Antennas Wirel. Propag. Lett. 2010, 9, 20–23. [Google Scholar] [CrossRef]
- Donelli, M. An RFID-Based Sensor for Masonry Crack Monitoring. Sensors 2018, 18, 4485. [Google Scholar] [CrossRef]
- Hester, J.G.D.; Tentzeris, M.M. Inkjet-Printed Flexible mm-Wave Van-Atta Reflectarrays: A Solution for Ultralong-Range Dense Multitag and Multisensing Chipless RFID Implementations for IoT Smart Skins. IEEE Trans. Microw. Theory Tech. 2016, 64, 4763–4773. [Google Scholar] [CrossRef]
- Lazaro, A.; Villarino, R.; Costa, F.; Genovesi, S.; Gentile, A.; Buoncristiani, L.; Girbau, D. Chipless Dielectric Constant Sensor for Structural Health Testing. IEEE Sens. J. 2018, 18, 5576–5585. [Google Scholar] [CrossRef]
- Bannawat, L.; Boonpoonga, A.; Burintramart, S. A Frequency-Domain Technique of Chipless RFID Identification Using Cauchy Method. In Proceedings of the 2018 IEEE Asia-Pacific Microwave Conference (APMC), Kyoto, Japan, 6–9 November 2018; pp. 857–859. [Google Scholar] [CrossRef]
- Kalansuriya, P.; Bhattacharyya, R.; Sarma, S.; Karmakar, N. Towards chipless RFID-based sensing for pervasive surface crack detection. In Proceedings of the 2012 IEEE International Conference on RFID-Technologies and Applications (RFID-TA), Nice, France, 5–7 November 2012; pp. 46–51. [Google Scholar] [CrossRef]
- Vena, A.; Tedjini, M.; Bjorninen, T.; Sydanheimo, L.; Ukkonen, L.; Tentzeris, M.M. A novel inkjet-printed wireless chipless strain and crack sensor on flexible laminates. In Proceedings of the 2014 IEEE Antennas and Propagation Society International Symposium (APSURSI), Memphis, TN, USA, 6–11 July 2014; pp. 1294–1295. [Google Scholar] [CrossRef]
- Occhiuzzi, C.; Paggi, C.; Marrocco, G. Passive RFID Strain-Sensor Based on Meander-Line Antennas. IEEE Trans. Antennas Propag. 2011, 59, 4836–4840. [Google Scholar] [CrossRef]
- Yi, X.; Cho, C.; Cooper, J.; Wang, Y.; Tentzeris, M.M.; Leon, R.T. Passive wireless antenna sensor for strain and crack sensing—Electromagnetic modeling, simulation, and testing. Smart Mater. Struct. 2013, 22. [Google Scholar] [CrossRef]
- Daliri, A.; Galehdar, A.; Rowe, W.S.; Ghorbani, K.; John, S. Utilising microstrip patch antenna strain sensors for structural health monitoring. J. Intell. Mater. Syst. Struct. 2011. [Google Scholar] [CrossRef]
- Xu, X.; Huang, H. Multiplexing passive wireless antenna sensors for multi-site crack detection and monitoring. Smart Mater. Struct. 2011, 21. [Google Scholar] [CrossRef]
- Dey, S.; Kalansuriya, P.; Karmakar, N.C. Chipless RFID based high resolution crack sensing through SWB technology. In Proceedings of the 2014 IEEE International Microwave and RF Conference (IMaRC), Bangalore, India, 15–17 December 2014; pp. 330–333. [Google Scholar] [CrossRef]
- Zhang, J.; Huang, H.; Huang, C.; Zhang, B.; Li, Y.; Wang, K.; Su, D.; Tian, G.Y. A Configurable Dielectric Resonator-Based Passive Wireless Sensor for Crack Monitoring. IEEE Trans. Antennas Propag. 2019, 67, 5746–5749. [Google Scholar] [CrossRef]
- Mohammad, I.; Gowda, V.; Zhai, H.; Huang, H. Detecting crack orientation using patch antenna sensors. Meas. Sci. Technol. 2011, 23. [Google Scholar] [CrossRef]
- Thai, T.T.; Aubert, H.; Pons, P.; DeJean, G.; Tentzeris, M.; Plana, R. Novel Design of a Highly Sensitive RF Strain Transducer for Passive and Remote Sensing in Two Dimensions. IEEE Trans. Microw. Theory Tech. 2013, 61, 1385–1396. [Google Scholar] [CrossRef]
- Khalifeh, R.; Segalen Yasri, M.; Lescop, B.; Gallée, F.; Diler, E.; Thierry, D.; Rioual, S. Development of Wireless and Passive Corrosion Sensors for Material Degradation Monitoring in Coastal Zones and Immersed Environment. IEEE J. Ocean. Eng. 2016, 41, 776–782. [Google Scholar] [CrossRef]
- Zarifi, M.H.; Deif, S.; Abdolrazzaghi, M.; Chen, B.; Ramsawak, D.; Amyotte, M.; Vahabisani, N.; Hashisho, Z.; Chen, W.; Daneshmand, M. A Microwave Ring Resonator Sensor for Early Detection of Breaches in Pipeline Coatings. IEEE Trans. Ind. Electron. 2018, 65, 1626–1635. [Google Scholar] [CrossRef]
- Deif, S.; Daneshmand, M. Multi-Resonant Chipless RFID Array System for Coating Defect Detection and Corrosion Prediction. IEEE Trans. Ind. Electron. 2019. [Google Scholar] [CrossRef]
- Zarifi, M.H.; Deif, S.; Daneshmand, M. Wireless passive RFID sensor for pipeline integrity monitoring. Sens. Actuators A Phys. 2017, 261, 24–29. [Google Scholar] [CrossRef]
- Marindra, A.M.J.; Tian, G.Y. Multiresonance Chipless RFID Sensor Tag for Metal Defect Characterization Using Principal Component Analysis. IEEE Sens. J. 2019, 19, 8037–8046. [Google Scholar] [CrossRef]
- Popperl, M.; Gottinger, M.; Hoffmann, M.; Jakoby, R.; Vossiek, M. A novel UWB chirp sequence radar signal processing concept for chipless RFID based vehicle localization. In Proceedings of the 2017 IEEE MTT-S International Conference on Microwaves for Intelligent Mobility (ICMIM), Nagoya, Japan, 19–21 March 2017; pp. 123–126. [Google Scholar] [CrossRef]
- El-Absi, M.; Alhaj Abbas, A.; Abuelhaija, A.; Zheng, F.; Solbach, K.; Kaiser, T. High-Accuracy Indoor Localization Based on Chipless RFID Systems at THz Band. IEEE Access 2018, 6, 54355–54368. [Google Scholar] [CrossRef]
- Anee, R.-E.-A.; Karmakar, N.C. Chipless RFID Tag Localization. IEEE Trans. Microw. Theory Tech. 2013, 61, 4008–4017. [Google Scholar] [CrossRef]
- Hu, S.; Zhou, Y.; Law, C.L.; Dou, W. Study of a Uniplanar Monopole Antenna for Passive Chipless UWB-RFID Localization System. IEEE Trans. Antennas Propag. 2010, 58, 271–278. [Google Scholar] [CrossRef]
- Barbot, N.; Perret, E. A Chipless RFID Method of 2D Localization Based on Phase Acquisition. J. Sens. 2018, 2018, 1–6. [Google Scholar] [CrossRef]
- Barbot, N.; Perret, E. Accurate Positioning System Based on Chipless Technology. Sensors 2019, 19, 1341. [Google Scholar] [CrossRef]
- Zhang, N.; Liu, X.; Chang, T. A chipless RFID Unit Based on interference for tag location. In Proceedings of the 2017 Sixth Asia-Pacific Conference on Antennas and Propagation (APCAP), Xi’an, China, 16–19 October 2017; pp. 1–3. [Google Scholar] [CrossRef]
- Zhang, N.; Hu, M.; Shao, L.; Yang, J. Localization of Printed Chipless RFID in 3-D Space. IEEE Microw. Wirel. Compon. Lett. 2016, 26, 373–375. [Google Scholar] [CrossRef]
- Bibile, M.A.; Karmakar, N.C. Moving Chipless RFID Tag Detection Using Adaptive Wavelet-Based Detection Algorithm. IEEE Trans. Antennas Propag. 2018, 66, 2752–2760. [Google Scholar] [CrossRef]
- Fawky, A.; Khaliel, M.; El-Awamry, A.; Kaiser, T. Frequency coded chipless RFID tag localization using multiple antennas. In Proceedings of the 2017 IEEE 11th European Conference on Antennas and Propagation (EUCAP), Paris, France, 19–24 March 2017; pp. 2075–2079. [Google Scholar] [CrossRef]
- Rezaiesarlak, R.; Manteghi, M. A Space-Frequency Technique for Chipless RFID Tag Localization. IEEE Trans. Antennas Propag. 2014, 62, 5790–5797. [Google Scholar] [CrossRef]
- Khadka, G.; Bibile, M.A.; Arjomandi, L.M.; Karmakar, N.C. Analysis of Artifacts on Chipless RFID Backscatter Tag Signals for Real World Implementation. IEEE Access 2019, 7, 66821–66831. [Google Scholar] [CrossRef]
- Hester, J.G.D.; Kimionis, J.; Bahr, R.; Su, W.; Tehrani, B.; Tentzeris, M.M. Radar & additive manufacturing technologies: The future of Internet of Things (IoT). In Proceedings of the 2018 IEEE Radar Conference (RadarConf18), Oklahoma City, OK, USA, 23–27 April 2018; pp. 0447–0452. [Google Scholar] [CrossRef]
- Matbouly, H.E.; Zannas, K.; Duroc, Y. Design of passive chipless wireless motion sensor using dual polarization effect. In Proceedings of the 2017 IEEE 11th European Conference on Antennas and Propagation (EUCAP), Paris, France, 19–24 March 2017; pp. 3908–3911. [Google Scholar] [CrossRef]
- Mandel, C.; Kubina, B.; Schüßler, M.; Jakoby, R. Passive chipless wireless sensor for two-dimensional displacement measurement. In Proceedings of the 2011 41st European Microwave Conference, Manchester, UK, 10–13 October 2011; pp. 79–82. [Google Scholar] [CrossRef]
- Sun, P.; Chang, T.; Fan, Y.; Liu, X.; Tentzeris, M.M. Chipless RFID Sensor Tag for Angular Velocity and Displacement Measurement. In Proceedings of the 2019 IEEE MTT-S International Wireless Symposium (IWS), Guangzhou, China, 19–22 May 2019; pp. 1–3. [Google Scholar] [CrossRef]
- Barbot, N.; Rance, O.; Perret, E. Angle Sensor Based on Chipless RFID Tag. IEEE Antennas Wirel. Propag. Lett. 2020, 19, 233–237. [Google Scholar] [CrossRef]
- Genovesi, S.; Costa, F.; Borgese, M.; Dicandia, F.A.; Manara, G. Chipless Radio Frequency Identification (RFID) Sensor for Angular Rotation Monitoring. Technologies 2018, 6, 61. [Google Scholar] [CrossRef]
- Herrojo, C.; Mata-Contreras, J.; Paredes, F.; Martin, F. Microwave Encoders for Chipless RFID and Angular Velocity Sensors Based on S-Shaped Split Ring Resonators. IEEE Sens. J. 2017, 17, 4805–4813. [Google Scholar] [CrossRef]
- Alhaj Abbas, A.; El-Absi, M.; Abualhijaa, A.; Solbach, K.; Kaiser, T. Dielectric Resonator-Based Passive Chipless Tag with Angle-of-Arrival Sensing. IEEE Trans. Microw. Theory Tech. 2019, 67, 2010–2017. [Google Scholar] [CrossRef]
- Corchia, L.; Monti, G.; De Benedetto, E.; Tarricone, L. Low-Cost Chipless Sensor Tags for Wearable User Interfaces. IEEE Sens. J. 2019, 19, 10046–10053. [Google Scholar] [CrossRef]
- Choi, S.; Eom, S.; Tentzeris, M.M.; Lim, S. Inkjet-Printed Electromagnet-Based Touchpad Using Spiral Resonators. J. Microelectromech. Syst. 2016, 25, 947–953. [Google Scholar] [CrossRef]
- Memon, M.U.; Jeong, H.; Lim, S. Metamaterial-Inspired Radio Frequency Based Touchpad Sensor System. IEEE Trans. Instrum. Meas. 2019. [Google Scholar] [CrossRef]
- Shahid, L.; Shahid, H.; Riaz, M.A.; Naqvi, S.I.; khan, M.J.; Khan, M.S.; Amin, Y.; Loo, J. Chipless RFID Tag for Touch Event Sensing and Localization. IEEE Access 2020, 8, 502–513. [Google Scholar] [CrossRef]
- Gabriel, S.; Lau, R.W.; Gabriel, C. The dielectric properties of biological tissues: II. Measurements in the frequency range 10 Hz to 20 GHz. Phys. Med. Biol. 1996, 41, 2251–2269. [Google Scholar] [CrossRef] [PubMed]
- Gabriel, S.; Lau, R.W.; Gabriel, C. The dielectric properties of biological tissues: III. Parametric models for the dielectric spectrum of tissues. Phys. Med. Biol. 1996, 41, 2271–2293. [Google Scholar] [CrossRef] [PubMed]
- Amendola, S.; Bianchi, L.; Marrocco, G. Movement Detection of Human Body Segments: Passive radio-frequency identification and machine-learning technologies. IEEE Antennas Propag. Mag. 2015, 57, 23–37. [Google Scholar] [CrossRef]
- Corchia, L.; Monti, G.; De Benedetto, E.; Cataldo, A.; Angrisani, L.; Arpaia, P.; Tarricone, L. Fully-Textile, Wearable Chipless Tags for Identification and Tracking Applications. Sensors 2020, 20, 429. [Google Scholar] [CrossRef]
- Andriamiharivolamena, T.; Vena, A.; Perret, E.; Lemaitre-Auger, P.; Tedjini, S. Chipless identification applied to human body. In Proceedings of the 2014 IEEE RFID Technology and Applications Conference (RFID-TA), Tampere, Finland, 8–9 September 2014; pp. 241–245. [Google Scholar] [CrossRef]
- Corchia, L.; Monti, G.; Tarricone, L. A Frequency Signature RFID Chipless Tag for Wearable Applications. Sensors 2019, 19, 494. [Google Scholar] [CrossRef]
- Corchia, L.; Monti, G.; Benedetto, E.D.; Tarricone, L. A Chipless Humidity Sensor for Wearable Applications. In Proceedings of the 2019 IEEE International Conference on RFID Technology and Applications (RFID-TA), Pisa, Italy, 25–27 September 2019; pp. 174–177. [Google Scholar] [CrossRef]
- Kim, J.; Wang, Z.; Kim, W.S. Stretchable RFID for Wireless Strain Sensing with Silver Nano Ink. IEEE Sens. J. 2014, 14, 4395–4401. [Google Scholar] [CrossRef]
- Ativanichayaphong, T.; Wang, J.; Huang, W.; Rao, S.; Tibbals, H.F.; Tang, S.; Spechler, S.J.; Stephanou, H.; Chiao, J. Development of an Implanted RFID Impedance Sensor for Detecting Gastroesophageal Reflux. In Proceedings of the 2007 IEEE International Conference on RFID, Grapevine, TX, USA, 26–28 March 2007; pp. 127–133. [Google Scholar] [CrossRef]
- Boutry, C.M.; Chandrahalim, H.; Streit, P.; Schinhammer, M.; Hänzi, A.C.; Hierold, C. Towards biodegradable wireless implants. Philos. Trans. R. Soc. A Math. Phys. Eng. Sci. 2012, 370, 2418–2432. [Google Scholar] [CrossRef]
- Occhiuzzi, C.; Contri, G.; Marrocco, G. Design of Implanted RFID Tags for Passive Sensing of Human Body: The STENTag. IEEE Trans. Antennas Propag. 2012, 60, 3146–3154. [Google Scholar] [CrossRef]
- IEEE Standards Coordinating Committee. IEEE Standard for Safety Levels with Respect to Human Exposure to Radio Frequency Electromagnetic Fields, 3 kHz to 300 GHz; IEEE Std C95.1-2005 (Revision of IEEE Std C95.1-1991); IEEE Standards Coordinating Committee: Piscataway, NJ, USA, 2006; pp. 1–238. [Google Scholar] [CrossRef]




















| Material | Dielectric Constant | Loss Factor | Sensed Parameter |
|---|---|---|---|
| Kapton HN | 3.15–3.4 | 0.0015–0.0035 | Humidity [50] |
| Polyvinyl alcol | ≈4 [51] | Variable 1 | Humidity [50] |
| Carbon nanotubes | ≈−6 [52] | Very variable 1 | Ammonia [53,54] |
| CO2 [55] | |||
| Paper | 2.4–3.4 | 0.08–0.3 | Humidity [56] |
| Silicon nanowires | 2–12 [57] | Variable 1 | Humidity [58] |
| Water | 78 | 0.01–0.4 | Oil [58] |
| Fabrication Technique | Typical Resolution | Suitable for Flexible Substrates | Suitable for Mass Production | Used for Sensing Material |
|---|---|---|---|---|
| Microlithography | >1 μm | Partially | Yes | Yes |
| Inkjet printing | 20–50 μm | Yes | Limited | Yes |
| Aerosol printing | 5–10 μm | Yes | No | Yes |
| Screen printing | 50 μm | Yes | Yes | Yes |
| CNC Milling | >20 μm 1 | No | Limited | No |
| Embroidery | >0.5 mm | Yes | Limited | No |
| Drop casting | - | Partially | Yes | Yes |
| Thermocompressive bonding | >20 μm 1 | Partially | Limited | Yes |
© 2020 by the authors. Licensee MDPI, Basel, Switzerland. This article is an open access article distributed under the terms and conditions of the Creative Commons Attribution (CC BY) license (http://creativecommons.org/licenses/by/4.0/).
Share and Cite
Mulloni, V.; Donelli, M. Chipless RFID Sensors for the Internet of Things: Challenges and Opportunities. Sensors 2020, 20, 2135. https://doi.org/10.3390/s20072135
Mulloni V, Donelli M. Chipless RFID Sensors for the Internet of Things: Challenges and Opportunities. Sensors. 2020; 20(7):2135. https://doi.org/10.3390/s20072135
Chicago/Turabian StyleMulloni, Viviana, and Massimo Donelli. 2020. "Chipless RFID Sensors for the Internet of Things: Challenges and Opportunities" Sensors 20, no. 7: 2135. https://doi.org/10.3390/s20072135
APA StyleMulloni, V., & Donelli, M. (2020). Chipless RFID Sensors for the Internet of Things: Challenges and Opportunities. Sensors, 20(7), 2135. https://doi.org/10.3390/s20072135

