DataSpoon: Validation of an Instrumented Spoon for Assessment of Self-Feeding
Abstract
1. Introduction
2. Materials and Methods
2.1. Participants
2.2. Instruments
2.3. Procedures
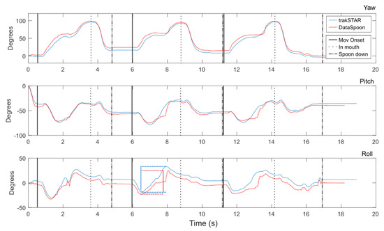
2.4. Data Analysis
2.5. Statistical Analysis
3. Results
4. Discussion
5. Conclusions
Author Contributions
Funding
Conflicts of Interest
References
- Patel, S.; Park, H.; Bonato, P.; Chan, L.; Rodgers, M. A review of wearable sensors and systems with application in rehabilitation. J. Neuro Eng. Rehabil. 2012, 9, 21. [Google Scholar] [CrossRef]
- Horak, F.; King, L.; Mancini, M. Role of body-worn movement monitor technology for balance and gait rehabilitation. Phys. Ther. 2015, 95, 461–470. [Google Scholar] [CrossRef]
- Mariani, B.; Hoskovec, C.; Rochat, S.; Büla, C.; Penders, J.; Aminian, K. gait assessment in young and elderly subjects using foot-worn inertial sensors. J. Biomech. 2010, 43, 2999–3006. [Google Scholar] [CrossRef]
- Horak, F.B.; Mancini, M. Objective biomarkers of balance and gait for Parkinson’s disease using body-worn sensors. Mov. Disord. 2013, 28, 1544–1551. [Google Scholar] [CrossRef]
- Trojaniello, D.; Ravaschio, A.; Hausdorff, J.M.; Cereatti, A. Comparative assessment of different methods for the estimation of gait temporal parameters using a single inertial sensor: Application to elderly, post-stroke, Parkinson’s disease and Huntington’s disease subjects. Gait Posture 2015, 42, 310–316. [Google Scholar] [CrossRef]
- Van Den Noort, J.C.; Ferrari, A.; Cutti, A.G.; Becher, J.G.; Harlaar, J. Gait analysis in children with cerebral palsy via inertial and magnetic sensors. Med. Biol. Eng. Comput. 2013, 51, 377–386. [Google Scholar] [CrossRef]
- Ertzgaard, P.; Öhberg, F.; Gerdle, B.; Grip, H. A new way of assessing arm function in activity using kinematic Exposure Variation Analysis and portable inertial sensors–A validity study. Manual. Ther. 2016, 21, 241–249. [Google Scholar] [CrossRef]
- Li, H.T.; Huang, J.J.; Pan, C.W.; Chi, H.I.; Pan, M.C. Inertial sensing based assessment methods to quantify the effectiveness of post-stroke rehabilitation. Sensors 2015, 15, 16196–16209. [Google Scholar] [CrossRef]
- Lemmens, R.J.; Janssen-Potten, Y.J.; Timmermans, A.A.; Smeets, R.J.; Seelen, H.A. Recognizing Complex Upper Extremity Activities Using Body Worn Sensors. PLoS ONE 2015, 10, e0118642. [Google Scholar] [CrossRef]
- Portnoy, S.; Halaby, O.; Dekel-Chen, D.; Dierick, F. Effect of an auditory feedback substitution, tactilo-kinesthetic, or visual feedback on kinematics of pouring water from kettle into cup. Appl. Ergon. 2015, 51, 44–49. [Google Scholar] [CrossRef]
- Kadomura, A.; Li, C.Y.; Chen, Y.C.; Tsukada, K.; Siio, I.; Chu, H.H. Sensing fork: Eating behavior detection utensil and mobile persuasive game. In CHI’13 Extended Abstracts on Human Factors in Computing Systems; ACM: New York, NY, USA, 2013; pp. 1551–1556. [Google Scholar]
- Chia, F.-Y.; Saakes, D. Interactive training chopsticks to improve fine motor skills. In Proceedings of the 11th Conference on Advances in Computer Entertainment Technology, Funchal, Portugal, 11–14 November 2014; ACM: New York, NY, USA, 2014; p. 57. [Google Scholar]
- Zuckerman, O.; Slyper, R.; Keren-Capelovitch, T.; Gal-Oz, A.; Gal, T.; Weiss, P.L. Assisting Caregivers of Children with Cerebral Palsy: Towards a Self-Feeding Assessment Spoon. In Proceedings of the Ninth International Conference on Tangible, Embedded, and Embodied Interaction, Stanford, CA, USA, 15–19 January 2015; ACM: New York, NY, USA, 2015; pp. 557–562. [Google Scholar]
- Zuckerman, O.; Gal, T.; Keren-Capelovitch, T.; Karsovsky, T.; Gal-Oz, A.; Weiss, P.L.T. DataSpoon: Overcoming Design Challenges in Tangible and Embedded Assistive Technologies. In Proceedings of the TEI ’16: Tenth International Conference on Tangible, Embedded, and Embodied Interaction, Eindhoven The Netherlands, 14–17 February 2016; ACM: New York, NY, USA, 2016; pp. 30–37. [Google Scholar]
- Henderson, A. Self-care and hand skill. In Hand Function in the Child; Elsevier: Amsterdam, The Netherlands, 2006; pp. 193–216. [Google Scholar]
- Ma, H.I.; Hwang, W.J.; Chen-Sea, M.J.; Sheu, C.F. Handle size as a task constraint in spoon-use movement in patients with Parkinson’s disease. Clin. Rehabil. 2008, 22, 520–528. [Google Scholar] [CrossRef] [PubMed]
- Demartino, A.M.; Rodrigues, L.C.; Gomes, R.P.; Michaelsen, S.M. Hand function and type of grasp used by chronic stroke individuals in actual environment. Top. Stroke Rehabil. 2019, 26, 247–254. [Google Scholar] [CrossRef] [PubMed]
- Iyengar, V.; Santos, M.J.; Ko, M.; Aruin, A.S. Grip Force Control in Individuals With Multiple Sclerosis. Neurorehabil. Neural Repair 2009, 23, 855–861. [Google Scholar] [CrossRef] [PubMed]
- Van Roon, D.; Steenbergen, B. The use of ergonomic spoons by people with cerebral palsy: Effects on food spilling and movement kinematics. Dev. Med. Child Neurol. 2006, 48, 888–891. [Google Scholar] [CrossRef]
- Artilheiro, M.C.; Correa, J.C.F.; Cimolin, V.; Lima, M.O.; Galli, M.; de Godoy, W.; Lucareli, P.R.G. Three-dimensional analysis of performance of an upper limb functional task among adults with dyskinetic cerebral palsy. Gait Posture 2014, 39, 875–881. [Google Scholar] [CrossRef]
- Van Roon, D.; van der Kemp, J.; Steenbergen, B. (Eds.) Constraints in children’s learning to use spoons. In Development of Movement Coordination in Children: Applications in the Field of Ergonomics, Health Sciences and Sport; Routledge: Abingdon, UK, 2013. [Google Scholar]
- Roon, D.; van Steenbergen, B.; Meulenbroek, R.G.J. Trunk recruitment during spoon use in tetraparetic cerebral palsy. Exp. Brain Res. 2003, 55, 186–195. [Google Scholar]
- Keren-Capelovitch, T.; Krasovsky, T.; Friedman, J.; Weiss, P.T. Identifying Kinematics of Self-Feeding by Young Children: Foundation for Assessment Using an Instrumented Spoon. Arch. Phys. Med. Rehabil. 2019, 100, e83. [Google Scholar] [CrossRef]
- de los Reyes-Guzmán, A.; Dimbwadyo-Terrer, I.; Trincado-Alonso, F.; Monasterio-Huelin, F.; Torricelli, D.; Gil-Agudo, A. Quantitative assessment based on kinematic measures of functional impairments during upper extremity movements: A review. Clin. Biomech. 2014, 29, 719–727. [Google Scholar] [CrossRef]
- van Roon, D.; van der Kamp, J.; Steenbergen, B. Learning to use spoons. In Development of Movement Coordination in Children; Routledge: Abingdon, UK, 2003; p. 75. [Google Scholar]
- Steenbergen, B.; Van der Kamp, J.; Smithsman, A.W.; Carson, R.G. Spoon Handling in Two-to-Four-Year-Old Children. Ecol. Psychol. 1997, 9, 113–129. [Google Scholar] [CrossRef]
- Connolly, K.; Dalgleish, M. The emergence of a tool-using skill in infancy. Dev. Psychol. 1989, 25, 894–912. [Google Scholar] [CrossRef]
- Mackey, A.H.; Walt, S.E.; Stott, N.S. Deficits in Upper-Limb Task Performance in Children with Hemiplegic Cerebral Palsy as Defined by 3-Dimensional Kinematics. Arch. Phys. Med. Rehabil. 2006, 87, 207–215. [Google Scholar] [CrossRef] [PubMed]
- Cahill-Rowley, K.; Rose, J. Temporal–spatial reach parameters derived from inertial sensors: Comparison to 3D marker-based motion capture. J. Biomech. 2017, 52, 11–16. [Google Scholar] [CrossRef] [PubMed]
- Flash, T.; Hogan, N. The coordination of arm movements: An experimentally confirmed mathematical model. J. Neurosci. 1985, 5, 1688–1703. [Google Scholar] [CrossRef] [PubMed]
- Shrout, P.E.; Fleiss, J.L. Intraclass correlations: Uses in assessing rater reliability. Psychol. Bull. 1979, 86, 420. [Google Scholar] [CrossRef] [PubMed]
- Cirstea, M.; Levin, M.F. Improvement of arm movement patterns and endpoint control depends on type of feedback during practice in stroke survivors. Neuro Rehabil. Neural Repair 2007, 21, 398–411. [Google Scholar] [CrossRef] [PubMed]
- Brochard, S.; Robertson, J.; Medee, B.; Remy-Neris, O. What’s new in new technologies for upper extremity rehabilitation? Curr. Opin. Neurol. 2010, 23, 683–687. [Google Scholar] [CrossRef] [PubMed]
- Rosenblum, S.; Parush, S.; Weiss, P.L. Computerized temporal handwriting characteristics of proficient and non-proficient handwriters. Am. J. Occup. Ther. 2003, 57, 129–138. [Google Scholar] [CrossRef]
- Friedman, J.; Korman, M. Offline optimization of the relative timing of movements in a sequence is blocked by retroactive behavioral interference. Front. Hum. Neurosci. 2016, 10, 623. [Google Scholar] [CrossRef]
- Bullock, I.M.; Feix, T.; Dollar, A.M. Analyzing human fingertip usage in dexterous precision manipulation: Implications for robotic finger design. In 2014 IEEE/RSJ International Conference on Intelligent Robots and Systems, Chicago, IL, USA, 14–18 September 2014; IEEE: Piscataway, NJ, USA, 2014; pp. 1622–1628. [Google Scholar]




| GemSense Red Amber (Including Battery Extension) | Ascension trakSTAR System with Model 180 Sensor | |
|---|---|---|
| Size | 24 mm diameter | 2 mm diameter, 9.9 mm length (not including cable) |
| Mass | 25 g | <5 g (not including cable) |
| Accuracy | Not available | Position: 1.4 mm RMS, angle: 0.5° RMS |
| Range | Dependent on Bluetooth (approx. 10 m) | 58 cm at highest accuracy level |
| Approximate cost | USD 40 | USD 4000 (for a one-sensor setup) |
| Sample rate | 50 Hz | 200 Hz (maximum is 255 Hz) |
| Measure | Natural Grip | Power Grip | Rotated Power Grip | ||||||
|---|---|---|---|---|---|---|---|---|---|
| Slow | Comfortable | Fast | Slow | Comfortable | Fast | Slow | Comfortable | Fast | |
| Duration of Movement to Mouth | 0.99 [0.99, 1.00] <0.01 | 0.99 [0.97, 0.99] <0.01 | 0.86 [0.66, 0.94] <0.01 | 0.95 [0.90, 0.98] <0.01 | 0.85 [0.66, 0.93] <0.01 | 0.86 [0.66, 0.94] <0.01 | 0.97 [0.92, 0.98] <0.01 | 0.98 [0.95, 0.99] <0.01 | 0.88 [0.77, 0.94] <0.01 |
| Duration of Movement from Mouth | 0.87 [0.74, 0.94] <0.01 | 0.83 [0.89, 0.98] <0.01 | 0.55 [0.16, 0.79] <0.01 | 0.90 [0.79, 0.95] <0.01 | 0.88 [0.74, 0.94] <0.01 | 0.50 [0.06, 0.77] 0.02 | 0.95 [0.89, 0.98] <0.01 | 0.83 [0.67, 0.92] <0.01 | 0.89 [0.77, 0.95] <0.01 |
| Duration of Movement (total) | 0.97 [0.93, 0.98] <0.01 | 0.99 [0.97, 0.99] <0.01 | 0.91 [0.80, 0.96] <0.01 | 0.94 [0.86, 0.97] <0.01 | 0.94 [0.87, 0.97] <0.01 | 0.87 [0.69, 0.95] <0.01 | 0.96 [0.89, 0.98] <0.01 | 0.94 [0.87, 0.97] <0.01 | 0.97 [0.93, 0.98] <0.01 |
| Range of Pitch | 0.86 [0.70, 0.93] <0.01 | 0.81 [0.62, 0.91] <0.01 | 0.62 [0.27, 0.83] <0.01 | 0.75 [0.52, 0.88] <0.01 | 0.64 [0.32, 0.83] <0.01 | 0.90 [0.75, 0.96] <0.01 | 0.87 [0.73, 0.94] <0.01 | 0.92 [0.83, 0.96] <0.01 | 0.92 [0.84, 0.96] <0.01 |
| Range of Roll | 0.93 [0.85, 0.97] <0.01 | 0.98 [0.96, 0.99] <0.01 | 0.50 [0.10, 0.76] 0.01 | 0.79 [0.58, 0.90] <0.01 | 0.97 [0.93, 0.99] <0.01 | 0.85 [0.65, 0.94] <0.01 | 0.95 [0.84, 0.98] <0.01 | 0.97 [0.94, 0.99] <0.01 | 0.94 [0.88, 0.97] <0.01 |
| Peak Velocity to Mouth | 0.24 [−0.10, 0.59] <0.01 | 0.21 [−0.06, 0.57] <0.01 | 0.07 [−0.25, 0.43] 0.35 | 0.21 [−0.10, 0.52] 0.04 | 0.05 [−0.15, 0.32] 0.33 | 0.37 [−0.08, 0.71] <0.01 | 0.07 [−0.28, 0.42] 0.36 | −0.03 [−0.14, 0.16] 0.66 | 0.00 [−0.10, 0.16] 0.50 |
| Peak Velocity Down | 0.07 [−0.10, 0.30] 0.21 | 0.09 [−0.05, 0.35] 0.01 | 0.06 [−0.07, 0.29] 0.16 | 0.06 [−0.07, 0.26] 0.16 | 0.07 [−0.07, 0.30] 0.11 | 0.28 [−0.11, 0.65] <0.01 | 0.10 [−0.09, 0.36] 0.12 | 0.07 [−0.08, 0.30] 0.13 | 0.08 [−0.08, 0.30] 0.13 |
| Fluency - Acceleration Zero Crossing (total) | 0.14 [−0.26, 0.50] 0.25 | 0.41 [0.04, 0.68] <0.01 | 0.21 [−0.13, 0.54] 0.12 | 0.00 [−0.32, 0.35] 0.50 | 0.45 [0.07, 0.72] 0.01 | 0.26 [−0.21, 0.63] 0.14 | −0.11 [−0.48, 0.29] 0.70 | 0.36 [−0.02, 0.65] <0.01 | 0.14 [−0.13, 0.43] 0.15 |
| Measure | Units | trakSTAR | DataSpoon | Mean Bias | 95% Limits of Agreement |
|---|---|---|---|---|---|
| Duration of Movement to Mouth | Seconds | 2.10 (0.71) | 2.20 (0.70) | −0.07 | [−0.51, 0.38] |
| Duration of Movement from Mouth | Seconds | 1.32 (0.43) | 1.31 (0.53) | −0.01 | [−0.54, 0.53] |
| Duration of Movement (total) | Seconds | 3.46 (0.91) | 3.51 (1.08) | −0.07 | [−0.63, 0.48] |
| Range of Pitch | Degrees | 43.74 (21.79) | 45.60 (18.58) | −0.27 | [−23.47, 22.93] |
| Range of Roll | Degrees | 54.95 (28.50) | 56.81 (27.37) | −1.32 | [−27.16, 24.51] |
| Peak Velocity to Mouth | m/s | 0.42 (0.19) | 0.23 (0.13) | 0.18 | [−0.20, 0.56] |
| Peak Velocity Down | m/s | 0.49 (0.31) | 0.19 (0.09) | 0.31 | [−0.07, 0.68] |
| Fluency - Acceleration Zero Crossing (total) | Number | 4.67 (6.54) | 3.00 (3.33) | 1.8 | [−7.23, 10.82] |
© 2020 by the authors. Licensee MDPI, Basel, Switzerland. This article is an open access article distributed under the terms and conditions of the Creative Commons Attribution (CC BY) license (http://creativecommons.org/licenses/by/4.0/).
Share and Cite
Krasovsky, T.; Weiss, P.L.; Zuckerman, O.; Bar, A.; Keren-Capelovitch, T.; Friedman, J. DataSpoon: Validation of an Instrumented Spoon for Assessment of Self-Feeding. Sensors 2020, 20, 2114. https://doi.org/10.3390/s20072114
Krasovsky T, Weiss PL, Zuckerman O, Bar A, Keren-Capelovitch T, Friedman J. DataSpoon: Validation of an Instrumented Spoon for Assessment of Self-Feeding. Sensors. 2020; 20(7):2114. https://doi.org/10.3390/s20072114
Chicago/Turabian StyleKrasovsky, Tal, Patrice L. Weiss, Oren Zuckerman, Avihay Bar, Tal Keren-Capelovitch, and Jason Friedman. 2020. "DataSpoon: Validation of an Instrumented Spoon for Assessment of Self-Feeding" Sensors 20, no. 7: 2114. https://doi.org/10.3390/s20072114
APA StyleKrasovsky, T., Weiss, P. L., Zuckerman, O., Bar, A., Keren-Capelovitch, T., & Friedman, J. (2020). DataSpoon: Validation of an Instrumented Spoon for Assessment of Self-Feeding. Sensors, 20(7), 2114. https://doi.org/10.3390/s20072114

