Effect of Open-Ended Coaxial Probe-to-Tissue Contact Pressure on Dielectric Measurements
Abstract
1. Introduction
2. Materials and Methods
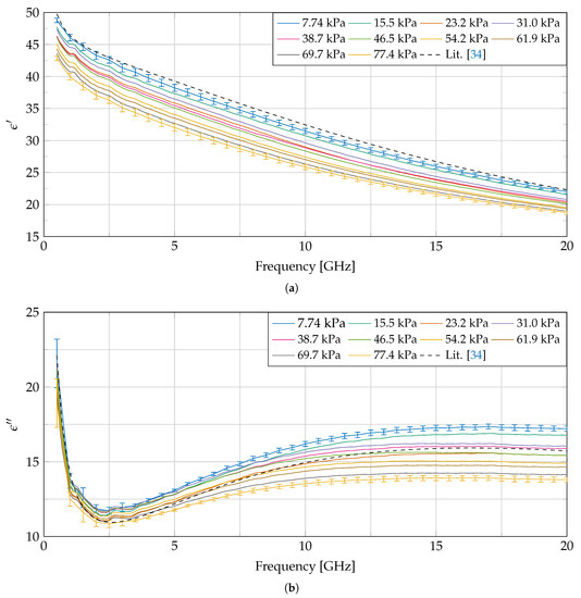
3. Results
4. Discussion and Future Work
5. Conclusions
Author Contributions
Funding
Acknowledgments
Conflicts of Interest
Abbreviations
| ARF | Acoustic Radiation Force |
| IF | Intermediate Frequency |
| IT’IS | Foundation for Research on Information Technologies in Society |
| MIBBI | Minimum Information for Biological and Biomedical Investigations |
| MINDER | Minimum information for dielectric measurements of biological tissues |
| MINI | Minimum Information about a Neuroscience Investigation |
| PI-controller | Proportional-Integral-controller |
| PNA | Performance Network Analyzer |
References
- Gabriel, C.; Gabriel, S.; Corthout, E. The dielectric properties of biological tissues: I. Literature survey. Phys. Med. Biol. 1996, 41, 2231–2249. [Google Scholar] [CrossRef] [PubMed]
- IT’IS Foundation. Overview—Database of Tissue Properties. 2019. Available online: https://itis.swiss/virtual-population/tissue-properties/overview/ (accessed on 8 May 2012).
- Lazebnik, M.; McCartney, L.; Popovic, D.; Watkins, C.B.; Lindstrom, M.J.; Harter, J.; Sewall, S.; Magliocco, A.; Booske, J.H.; Okoniewski, M.; et al. A large-scale study of the ultrawideband microwave dielectric properties of normal breast tissue obtained from reduction surgeries. Phys. Med. Biol. 2007, 52, 2637–2656. [Google Scholar] [CrossRef] [PubMed]
- Wang, L. Early Diagnosis of Breast Cancer. Sensors 2017, 17, 1572. [Google Scholar] [CrossRef] [PubMed]
- Dickson, J.A.; Calderwood, S.K. Temperature Range And Selective Sensitivity Of Tumors To Hyperthermia: A Critical Review. Ann. N. Y. Acad. Sci. 1980, 335, 180–205. [Google Scholar] [CrossRef]
- Mcwilliams, B.; Wang, H.; Binns, V.; Curto, S.; Bossmann, S.; Prakash, P. Experimental Investigation of Magnetic Nanoparticle-Enhanced Microwave Hyperthermia. J. Funct. Biomater. 2017, 8, 21. [Google Scholar] [CrossRef]
- Reimann, C.; Puentes, M.; Maasch, M.; Hübner, F.; Bazrafshan, B.; Vogl, T.; Damm, C.; Jakoby, R. Planar Microwave Sensor for Theranostic Therapy of Organic Tissue Based on Oval Split Ring Resonators. Sensors 2016, 16, 1450. [Google Scholar] [CrossRef]
- Simon, C.J.; Dupuy, D.E.; Mayo-Smith, W.W. Microwave Ablation: Principles and Applications. Radiographics 2005, 25, S69–S83. [Google Scholar] [CrossRef]
- Van De Kamer, J.B.; Van Wieringe, N. The significance of accurate dielectric tissue data for hyperthermia treatment planning. Int. J. Hyperth. 2001, 17, 123–142. [Google Scholar]
- Meaney, P.M.; Gregory, A.P.; Seppala, J.; Lahtinen, T. Open-Ended Coaxial Dielectric Probe Effective Penetration Depth Determination. IEEE Trans. Microw. Theory Tech. 2016, 64, 915–923. [Google Scholar] [CrossRef]
- Agilent. Basics of Measuring the Dielectric Properties of Materials; Agilent Technologies: Santa Rosa, CA, USA, 2005. [Google Scholar]
- Sugitani, T.; Kubota, S.I.; Kuroki, S.I.; Sogo, K.; Arihiro, K.; Okada, M.; Kadoya, T.; Hide, M.; Oda, M.; Kikkawa, T.; et al. Complex permittivities of breast tumor tissues obtained from cancer surgeries. Appl. Phys. Lett. 2014, 104, 253702. [Google Scholar] [CrossRef]
- Lazebnik, M.; Converse, M.C.; Booske, J.H.; Hagness, S.C. Ultrawideband temperature-dependent dielectric properties of animal liver tissue in the microwave frequency range. Phys. Med. Biol. 2006, 51, 1941–1955. [Google Scholar] [CrossRef] [PubMed]
- Maenhout, G.; Santorelli, A.; Porter, E.; Ocket, I.; Markovic, T.; Nauwelaers, B. Effect of Dehydration on Dielectric Measurements of Biological Tissue as Function of Time. IEEE J. Electromagnet. RF Microw. Med. Biol. 2019. [Google Scholar] [CrossRef]
- Peyman, A.; Rezazadeh, A.A.; Gabriel, C. Changes in the dielectric properties of rat tissue as a function of age at microwave frequencies. Phys. Med. Biol. 2001, 46, 1617–1629. [Google Scholar] [CrossRef] [PubMed]
- Gibson, F.; Overton, P.; Smulders, T.; Schultz, S.; Eglen, S.; Ingram, C.; Panzeri, S.; Bream, P.; Sernagor, E.; Cunningham, M.; et al. Minimum Information about a Neuroscience Investigation (MINI) Electrophysiology. Nat. Precedings 2008. [Google Scholar] [CrossRef]
- Taylor, C.F.; Field, D.; Sansone, S.A.; Aerts, J.; Apweiler, R.; Ashburner, M.; Ball, C.A.; Binz, P.A.; Bogue, M.; Booth, T.; et al. Promoting coherent minimum reporting guidelines for biological and biomedical investigations: The MIBBI project. Nat. Biotechnol. 2008, 26, 889–896. [Google Scholar] [CrossRef]
- Rasaiah, B.; Bellman, C.; Jones, S.; Malthus, T.; Roelfsema, C. Towards an Interoperable Field Spectroscopy Metadata Standard with Extended Support for Marine Specific Applications. Remote Sens. 2015, 7, 15668–15701. [Google Scholar] [CrossRef]
- Porter, E.; La Gioia, A.; Salahuddin, S.; Decker, S.; Shahzad, A.; Elahi, M.A.; O’Halloran, M.; Beyan, O. Minimum information for dielectric measurements of biological tissues (MINDER): A framework for repeatable and reusable data. Int. J. RF Microw. Comput. Aided Eng. 2017, 28. [Google Scholar] [CrossRef]
- Nicolson, A.M.; Ross, G.F. Measurement of the Intrinsic Properties of Materials by Time-Domain Techniques. IEEE Trans. Instrum. Meas. 1970, 19, 377–382. [Google Scholar] [CrossRef]
- Land, D.V.; Campbell, A.M. A quick accurate method for measuring the microwave dielectric properties of small tissue samples. Phys. Med. Biol. 1992, 37, 183–192. [Google Scholar] [CrossRef]
- La Gioia, A.; Porter, E.; Merunka, I.; Shahzad, A.; Salahuddin, S.; Jones, M.; O’Halloran, M. Open-Ended Coaxial Probe Technique for Dielectric Measurement of Biological Tissues: Challenges and Common Practices. Diagnostics 2018, 8, 40. [Google Scholar] [CrossRef]
- Khaled, D.; Novas, N.; Gazquez, J.; Garcia, R.; Manzano-Agugliaro, F. Fruit and Vegetable Quality Assessment via Dielectric Sensing. Sensors 2015, 15, 15363–15397. [Google Scholar] [CrossRef]
- Bell, M.A.L.; Kumar, S.; Kuo, L.; Sen, H.T.; Iordachita, I.; Kazanzides, P. Toward Standardized Acoustic Radiation Force (ARF)-Based Ultrasound Elasticity Measurements With Robotic Force Control. IEEE Trans. Biomed. Eng. 2016, 63, 1517–1524. [Google Scholar] [CrossRef] [PubMed]
- Emran, S.; Lappalainen, R.; Kullaa, A.; Myllymaa, S. Concentric Ring Probe for Bioimpedance Spectroscopic Measurements: Design and Ex Vivo Feasibility Testing on Pork Oral Tissues. Sensors 2018, 18, 3378. [Google Scholar] [CrossRef] [PubMed]
- González-Correa, C.A.; Brown, B.H.; Smallwood, R.H.; Walker, D.C.; Bardhan, K.D. Electrical bioimpedance readings increase with higher pressure applied to the measuring probe. Physiol. Meas. 2005, 26, 39–47. [Google Scholar] [CrossRef] [PubMed]
- Keshtkar, A.; Keshtkar, A. The effect of applied pressure on the electrical impedance of the bladder tissue using small and large probes. J. Med. Eng. Technol. 2008, 32, 505–511. [Google Scholar] [CrossRef]
- Chan, E.K.; Sorg, B.; Protsenko, D.; O’Neil, M.; Motamedi, M.; Welch, A.J. Effects of compression on soft tissue optical properties. IEEE J. Sel. Top. Quantum Electron. 1996, 2, 943–950. [Google Scholar] [CrossRef]
- Gabriel, C.; Peyman, A. Dielectric measurement: Error analysis and assessment of uncertainty. Phys. Med. Biol. 2006, 51, 6033–6046. [Google Scholar] [CrossRef]
- Peyman, A.; Gabriel, C.; Grant, E. Complex permittivity of sodium chloride solutions at microwave frequencies. Bioelectromagnetics 2007, 28, 264–274. [Google Scholar] [CrossRef]
- Shahzad, A.; Khan, S.; Jones, M.; Dwyer, R.M.; O’Halloran, M. Investigation of the effect of dehydration on tissue dielectric properties in ex vivo measurements. Biomed. Phys. Eng. 2017, 3, 045001. [Google Scholar] [CrossRef]
- Yilmaz, T. Multiclass Classification of Hepatic Anomalies with Dielectric Properties: From Phantom Materials to Rat Hepatic Tissues. Sensors 2020, 20, 530. [Google Scholar] [CrossRef]
- Belmont, B.; Dodde, R.E.; Shih, A.J. Impedance of tissue-mimicking phantom material under compression. J. Electr. Bioimpedance 2013, 4, 2–12. [Google Scholar] [CrossRef]
- Gabriel, S.; Lau, R.W.; Gabriel, C. The dielectric properties of biological tissues: III. Parametric models for the dielectric spectrum of tissues. Phys. Med. Biol. 1996, 41, 2271–2293. [Google Scholar] [CrossRef]
- Dodde, R.E.; Bull, J.L.; Shih, A.J. Bioimpedance of soft tissue under compression. Physiol. Meas. 2012, 33, 1095–1109. [Google Scholar] [CrossRef]
- Gabriel, C. Dielectric properties of biological tissue: Variation with age. Bioelectromagnetics 2005, 26. [Google Scholar] [CrossRef]
- Grenier, K.; Dubuc, D.; Chen, T.; Artis, F.; Chretiennot, T.; Poupot, M.; Fournie, J.J. Recent Advances in Microwave-Based Dielectric Spectroscopy at the Cellular Level for Cancer Investigations. IEEE Trans. Microw. Theory Tech. 2013, 61, 2023–2030. [Google Scholar] [CrossRef]
- Prodan, E.; Prodan, C.; Miller, J.H. The Dielectric Response of Spherical Live Cells in Suspension: An Analytic Solution. Biophys. J. 2008, 95, 4174–4182. [Google Scholar] [CrossRef]
- Blouin, A.; Bolender, R.; Weibel, E. Distribution of organelles and membranes between hepatocytes and nonhepatocytes in the rat liver parenchyma. A stereological study. J. Cell Biol. 1977, 72, 441–455. [Google Scholar] [CrossRef]
- Dube, D.C. Study of Landau-Lifshitz-Looyenga’s formula for dielectric correlation between powder and bulk. J. Phys. D Appl. Phys. 1970, 3, 1648–1652. [Google Scholar] [CrossRef]
- Schmid, G.; Neubauer, G.; Mazal, P.R. Dielectric properties of human brain tissue measured less than 10 h postmortem at frequencies from 800 to 2450 MHz. Bioelectromagnetics 2003, 24, 423–430. [Google Scholar] [CrossRef]








| Desired Pressure [kPa] | [kPa] | [kPa] | [s] | |
|---|---|---|---|---|
| 7.74 | 7.37 | 2.50 | 29.33 | 0.85 |
| 15.48 | 13.93 | 4.07 | 35.32 | 0.89 |
| 23.23 | 23.29 | 6.78 | 39.65 | 0.91 |
| 30.97 | 24.98 | 8.65 | 50.14 | 0.93 |
| 38.71 | 36.44 | 11.78 | 50.88 | 0.94 |
| 46.45 | 52.99 | 14.72 | 47.01 | 0.94 |
| 54.19 | 50.28 | 16.37 | 55.34 | 0.95 |
| 61.94 | 63.21 | 19.41 | 53.85 | 0.95 |
| 69.68 | 64.45 | 21.71 | 57.43 | 0.95 |
| 77.42 | 72.08 | 24.13 | 58.63 | 0.96 |
| Meas. | ||||||||
|---|---|---|---|---|---|---|---|---|
| Freq. [GHz] | 0.5 | 7.0 | 13.5 | 20.0 | 0.5 | 7.0 | 13.5 | 20.0 |
| Exp. 1 | −0.21 | −0.28 | −0.25 | −0.25 | −0.27 | −0.29 | −0.35 | −0.40 |
| Exp. 2 | −0.21 | −0.26 | −0.24 | −0.21 | −0.23 | −0.25 | −0.30 | −0.31 |
| Exp. 3 | −0.45 | −0.50 | −0.46 | −0.40 | −0.46 | −0.54 | −0.58 | −0.56 |
| Exp. 4 | −0.41 | −0.42 | −0.38 | −0.34 | −0.38 | −0.46 | −0.47 | −0.44 |
| Exp. 5 | −0.16 | −0.24 | −0.23 | −0.20 | −0.15 | −0.15 | −0.25 | −0.26 |
| Exp. 6 | −0.16 | −0.27 | −0.27 | −0.23 | 0.02 | −0.14 | −0.27 | −0.28 |
| Exp. 7 | −0.23 | −0.34 | −0.32 | −0.29 | −0.20 | −0.26 | −0.37 | −0.38 |
© 2020 by the authors. Licensee MDPI, Basel, Switzerland. This article is an open access article distributed under the terms and conditions of the Creative Commons Attribution (CC BY) license (http://creativecommons.org/licenses/by/4.0/).
Share and Cite
Maenhout, G.; Markovic, T.; Ocket, I.; Nauwelaers, B. Effect of Open-Ended Coaxial Probe-to-Tissue Contact Pressure on Dielectric Measurements. Sensors 2020, 20, 2060. https://doi.org/10.3390/s20072060
Maenhout G, Markovic T, Ocket I, Nauwelaers B. Effect of Open-Ended Coaxial Probe-to-Tissue Contact Pressure on Dielectric Measurements. Sensors. 2020; 20(7):2060. https://doi.org/10.3390/s20072060
Chicago/Turabian StyleMaenhout, Gertjan, Tomislav Markovic, Ilja Ocket, and Bart Nauwelaers. 2020. "Effect of Open-Ended Coaxial Probe-to-Tissue Contact Pressure on Dielectric Measurements" Sensors 20, no. 7: 2060. https://doi.org/10.3390/s20072060
APA StyleMaenhout, G., Markovic, T., Ocket, I., & Nauwelaers, B. (2020). Effect of Open-Ended Coaxial Probe-to-Tissue Contact Pressure on Dielectric Measurements. Sensors, 20(7), 2060. https://doi.org/10.3390/s20072060

