Gait Rhythm Dynamics for Neuro-Degenerative Disease Classification via Persistence Landscape- Based Topological Representation
Abstract
1. Introduction
- We propose a TDA-inspired nonlinear analysis framework for analyzing the nonlinear gait dynamics as a vibrant tool for classification of people with and without neuro-degenerative diseases. This started with building topological feature extraction models in the form of persistence landscape.
- As a pioneer study on using topological-based disease classification, a novel nonlinear dynamics analysis methodology developed and verified with a public gait disease datasets comprising of time series signals of patients with different neuro-degenerative diseases.
- The proposed nonlinear analysis framework with related technique theory backgrounds’ introductions are illustrated in Section 2;
- Details of TDA procedures such as embedding gait stride signals into time series into 2-D space point clouds, building topological features, and implementation of classifiers are discussed in Section 3.
- Results of the proposed methodology when used with the decision tree, random forests, k-nearest neighbor and naive Bayesian classifiers are presented in Section 4.
2. Methods
2.1. Framework of Topological Gait Nonlinear Analysis
- Phase-Space Reconstruction: the time series are embedded into an abstract space, namely the time series sequences are transformed into one 2-D point cloud, with which resampling was adopted to reduce the scale. The point clouds are considered as in some abstract space;
- Filtration Extraction: the point clouds are studied with the simplicial complex theory, the filtrations are achieved for each corresponding space from the point clouds;
- Barcodes Generation: from the filtration the birth–death intervals for each homology are extracted, which can be illustrated by the Barcodes;
- Persistence Diagram Generation: the Barcodes can be represented by the persistence diagrams, from which the persistence landscape features can be acquired;
- Persistence Landscape Feature Acquiring: the persistence landscape features are used as the input as a Gaussian Naive Bayesian classifier toward the classification task.
- Classification: the persistence landscape features are used as the input of classifiers toward the classification task.
2.2. Gait Data Point Cloud Construction
2.3. Topological Gait Analysis
2.3.1. Simplicial Complex
- any face of is also in
- for, is a face of bothand
2.3.2. The Rips Complex and Graph Filtration
- where is a simplex of K
2.3.3. Barcode and Persistent Diagram
2.3.4. Persistence Landscape
2.3.5. Pattern Recognition
- Naive Bayes classifier (NB): Naive Bayes is one simple supervised machine learning classifier based on the Bayes theorem with an independence assumption between the feature. The Gaussian naive Bayesian classifier is used in this study.
- Decision Tree (DT): Decision tree classifier searches for the nonlinear relationships between the inputs and outputs of the system. The DT classifier separates the features into branches and nodes.
- Random Forests classifier (RF): One random forest classifier includes a set of decision trees which is widely used as one baseline classifier in the classification tasks.
- K Nearest Neighbor (KNN): K nearest neighbors stores all available cases and classifies new cases based on a similarity measure, which is a simple unsupervised classifier. Here we set the neighbor number as 3.
3. Experiments
3.1. Materials
3.2. Outlier Processing
3.3. Experiments Setup
3.4. Performance Assessment
4. Results
4.1. Time Delay Embedding
4.2. Topological Features
4.2.1. Barcodes
4.2.2. Persistence Diagrams
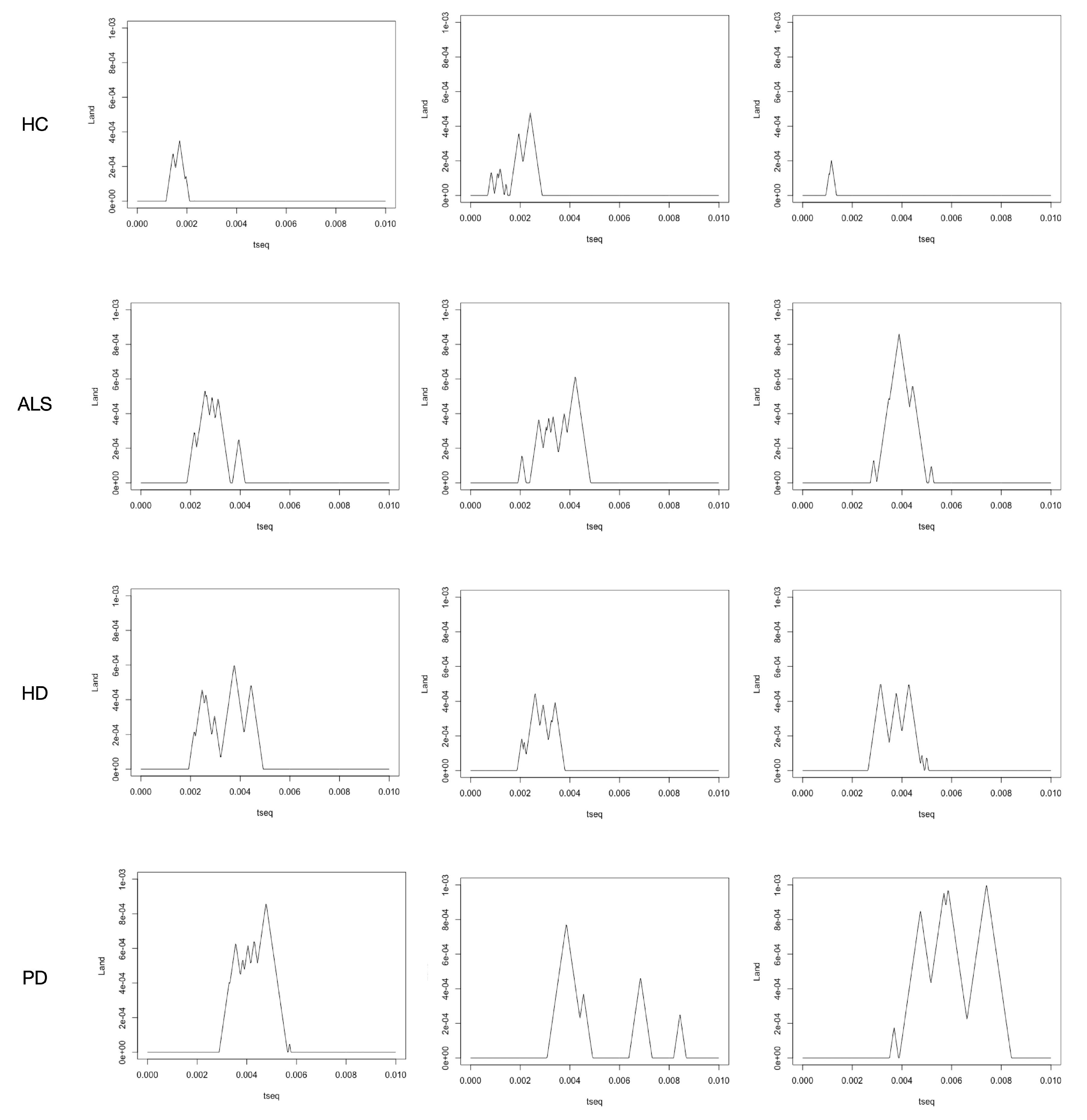
4.2.3. Persistence Landscape
4.3. Pattern Recognition
5. Discussion
5.1. Nonlinear Analysis of Gait Dynamics
5.2. Time Delay Embedding
5.3. Related Work and Comparisons
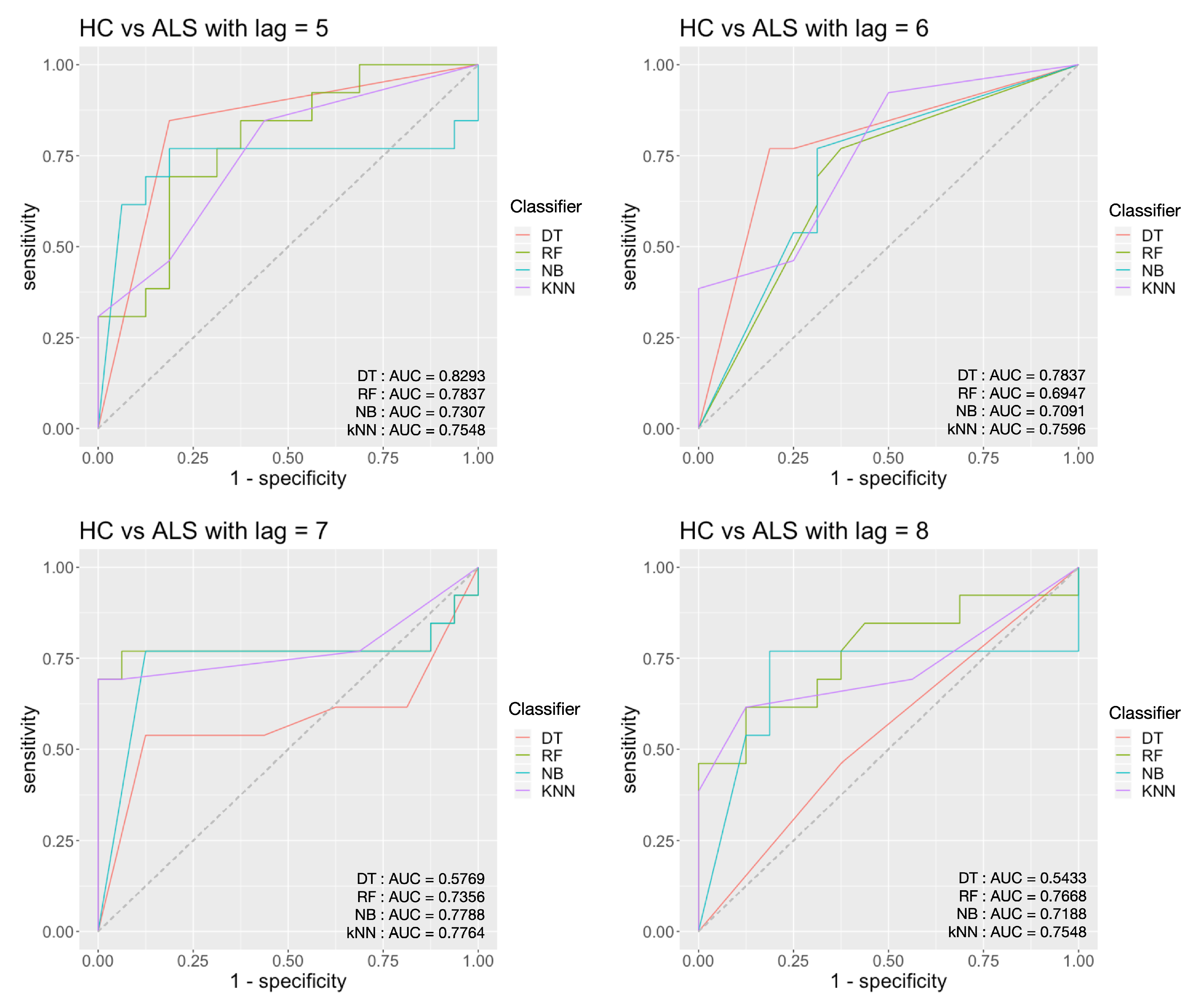
5.3.1. HC vs. ALS
5.3.2. HC vs. HD
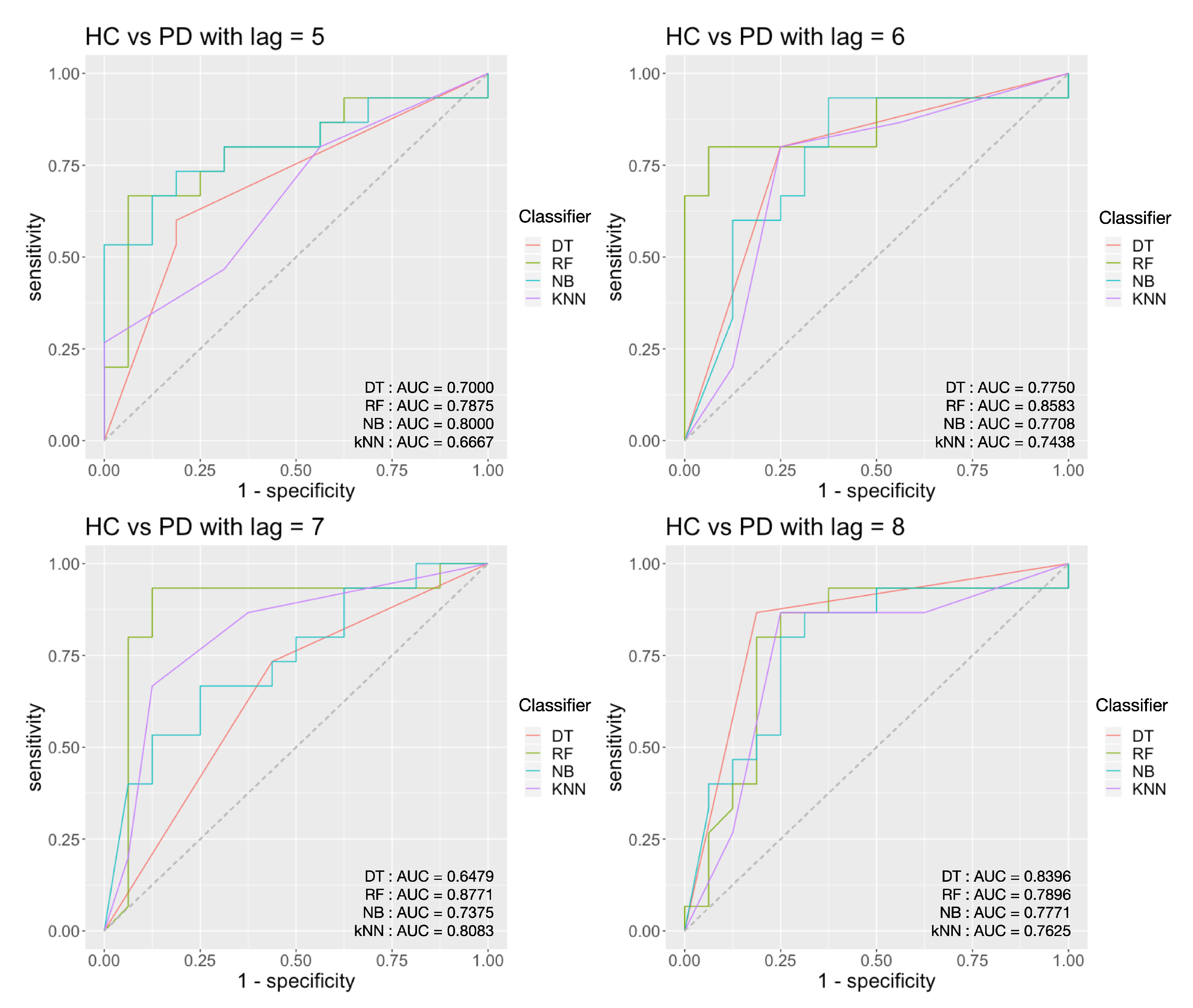
5.3.3. HC vs. PD
6. Conclusions
6.1. Conclusions
6.2. Limitations and Future Work
Author Contributions
Funding
Acknowledgments
Conflicts of Interest
Abbreviations
| TDA | Topological Data Analysis |
| HC | Healthy control |
| PD | Parkinson’s diseases |
| ALS | Amyotrophic lateral sclerosis |
| HD | Huntington’s disease |
References
- Jankovic, J. Parkinson’s disease: clinical features and diagnosis. J. Neurol. Neurosurg. Psychiatry 2008, 79, 368–376. [Google Scholar] [CrossRef] [PubMed]
- Hausdorff, J.M.; Ashkenazy, Y.; Peng, C.K.; Ivanov, P.C.; Stanley, H.E.; Goldberger, A.L. When human walking becomes random walking: fractal analysis and modeling of gait rhythm fluctuations. Phys. Stat. Mech. Its Appl. 2001, 302, 138–147. [Google Scholar] [CrossRef]
- Yang, M.; Zheng, H.; Wang, H.; McClean, S. Feature selection and construction for the discrimination of neurodegenerative diseases based on gait analysis. In Proceedings of the 2009 3rd International Conference on Pervasive Computing Technologies for Healthcare, London, UK, 1–3 April 2009; pp. 1–7. [Google Scholar]
- Schaafsma, J.D.; Giladi, N.; Balash, Y.; Bartels, A.L.; Gurevich, T.; Hausdorff, J.M. Gait dynamics in Parkinson’s disease: relationship to Parkinsonian features, falls and response to levodopa. J. Neurol. Sci. 2003, 212, 47–53. [Google Scholar] [CrossRef]
- Kamruzzaman, J.; Begg, R.K. Support vector machines and other pattern recognition approaches to the diagnosis of cerebral palsy gait. IEEE Trans. Biomed. Eng. 2006, 53, 2479–2490. [Google Scholar] [CrossRef]
- Wahid, F.; Begg, R.K.; Hass, C.J.; Halgamuge, S.; Ackland, D.C. Classification of Parkinson’s disease gait using spatial-temporal gait features. IEEE J. Biomed. Health Informatics 2015, 19, 1794–1802. [Google Scholar] [CrossRef]
- Wu, Y.; Krishnan, S. Statistical analysis of gait rhythm in patients with Parkinson’s disease. IEEE Trans. Neural Syst. Rehabil. Eng. 2009, 18, 150–158. [Google Scholar]
- Ren, P.; Tang, S.; Fang, F.; Luo, L.; Xu, L.; Bringas-Vega, M.L.; Yao, D.; Kendrick, K.M.; Valdes-Sosa, P.A. Gait rhythm fluctuation analysis for neurodegenerative diseases by empirical mode decomposition. IEEE Trans. Biomed. Eng. 2016, 64, 52–60. [Google Scholar] [CrossRef]
- Pham, T.D.; Yan, H. Tensor Decomposition of Gait Dynamics in Parkinson’s Disease. IEEE Trans. Biomed. Eng. 2017, 65, 1820–1827. [Google Scholar]
- Pham, T.D. Texture classification and visualization of time series of gait dynamics in patients with neuro-degenerative diseases. IEEE Trans. Neural Syst. Rehabil. Eng. 2017, 26, 188–196. [Google Scholar] [CrossRef] [PubMed]
- Hausdorff, J.M.; Lertratanakul, A.; Cudkowicz, M.E.; Peterson, A.L.; Kaliton, D.; Goldberger, A.L. Dynamic markers of altered gait rhythm in amyotrophic lateral sclerosis. J. Appl. Physiol. 2000, 88, 2045–2053. [Google Scholar] [CrossRef] [PubMed]
- Rieck, B.; Mara, H.; Leitte, H. Multivariate data analysis using persistence-based filtering and topological signatures. IEEE Trans. Vis. Comput. Graph. 2012, 18, 2382–2391. [Google Scholar] [CrossRef]
- Lum, P.Y.; Singh, G.; Lehman, A.; Ishkanov, T.; Vejdemo-Johansson, M.; Alagappan, M.; Carlsson, J.; Carlsson, G. Extracting insights from the shape of complex data using topology. Sci. Rep. 2013, 3, 1236. [Google Scholar] [CrossRef]
- Rieck, B.; Leitte, H. Persistent Homology for the Evaluation of Dimensionality Reduction Schemes; Computer Graphics Forum, Wiley Online Library: Hoboken, NJ, USA, 2015; Volume 34, pp. 431–440. [Google Scholar] [CrossRef]
- Rieck, B.; Leitte, H. Exploring and Comparing Clusterings of Multivariate Data Sets Using Persistent Homology; Computer Graphics Forum, Wiley Online Library: Hoboken, NJ, USA, 2016; Volume 35, pp. 81–90. [Google Scholar] [CrossRef]
- Duponchel, L. Exploring hyperspectral imaging data sets with topological data analysis. Anal. Chim. Acta 2018, 1000, 123–131. [Google Scholar] [CrossRef]
- Muszynski, G.; Kurlin, V.; Kashinath, K.; Wehner, M.; Prabhat, M. Topological Data Analysis and Machine Learning for Classifying Atmospheric River Patterns in Large Climate Datasets. In Proceedings of the EGU General Assembly Conference Abstracts, Vienna, Austria, 4–13 April 2018; p. 10825. [Google Scholar]
- Singh, G.; Mémoli, F.; Carlsson, G.E. Topological methods for the analysis of high dimensional data sets and 3d object recognition. In Proceedings of the Eurographics Symposium on Point-Based Graphics, Prague, Czech Republic, 2–3 September 2007; pp. 91–100. [Google Scholar]
- Li, L.; Cheng, W.Y.; Glicksberg, B.S.; Gottesman, O.; Tamler, R.; Chen, R.; Bottinger, E.P.; Dudley, J.T. Identification of type 2 diabetes subgroups through topological analysis of patient similarity. Sci. Transl. Med. 2015, 7, 311ra174. [Google Scholar] [CrossRef]
- Kovacev-Nikolic, V.; Bubenik, P.; Nikolić, D.; Heo, G. Using persistent homology and dynamical distances to analyze protein binding. Stat. Appl. Genet. Mol. Biol. 2016, 15, 19–38. [Google Scholar] [CrossRef]
- Rieck, B.; Fugacci, U.; Lukasczyk, J.; Leitte, H. Clique community persistence: A topological visual analysis approach for complex networks. IEEE Trans. Vis. Comput. Graph. 2017, 24, 822–831. [Google Scholar] [CrossRef]
- Seversky, L.M.; Davis, S.; Berger, M. On time-series topological data analysis: New data and opportunities. In Proceedings of the IEEE Conference on Computer Vision and Pattern Recognition Workshops, Las Vegas, NV, USA, 26 June–1 July 2016; pp. 59–67. [Google Scholar]
- Emrani, S.; Gentimis, T.; Krim, H. Persistent homology of delay embeddings and its application to wheeze detection. IEEE Signal Process. Lett. 2014, 21, 459–463. [Google Scholar] [CrossRef]
- Venkataraman, V.; Ramamurthy, K.N.; Turaga, P. Persistent homology of attractors for action recognition. In Proceedings of the 2016 IEEE International Conference on Image Processing (ICIP), Phoenix, AZ, USA, 25–28 September 2016; pp. 4150–4154. [Google Scholar]
- Zhang, Z.; Song, Y.; Cui, H.; Wu, J.; Schwartz, F.; Qi, H. Topological analysis and Gaussian decision tree: Effective representation and classification of biosignals of small sample size. IEEE Trans. Biomed. Eng. 2016, 64, 2288–2299. [Google Scholar] [CrossRef]
- Safarbali, B.; Golpayegani, S.M.R.H. Nonlinear dynamic approaches to identify atrial fibrillation progression based on topological methods. Biomed. Signal Process. Control. 2019, 53, 101563. [Google Scholar] [CrossRef]
- Bradley, E.; Kantz, H. Nonlinear time-series analysis revisited. Chaos: Interdiscip. J. Nonlinear Sci. 2015, 25, 097610. [Google Scholar] [CrossRef]
- Kliková, B.; Raidl, A. Reconstruction of phase space of dynamical systems using method of time delay. In Proceedings of the 20th Annual Conference WDS, Prague, Czech Republic, 31 May–3 June 2011; pp. 83–87. [Google Scholar]
- Richter, M.; Schreiber, T. Phase space embedding of electrocardiograms. Phys. Rev. 1998, 58, 6392. [Google Scholar] [CrossRef]
- Zhang, Z.; Song, Y.; Wang, W.; Qi, H. Derivative delay embedding: Online modeling of streaming time series. In Proceedings of the 25th ACM International on Conference on Information and Knowledge Management, Indianapolis, IN, USA, 24–28 October 2016; pp. 969–978. [Google Scholar]
- Kantz, H.; Schreiber, T. Nonlinear Time Series Analysis; Cambridge University Press: Cambridge, UK, 2004; Volume 7. [Google Scholar]
- Edelsbrunner, H.; Harer, J. Computational Topology: An Introduction; American Mathematical Soc.: Providence, RI, USA, 2010. [Google Scholar]
- Vietoris, L. Über den höheren Zusammenhang kompakter Räume und eine Klasse von zusammenhangstreuen Abbildungen. Math. Ann. 1927, 97, 454–472. [Google Scholar] [CrossRef]
- Dey, T.K.; Fan, F.; Wang, Y. Graph induced complex on point data. In Proceedings of the Twenty-Ninth Annual Symposium on Computational Geometry, Rio de Janeiro, Brazil, 17–20 June 2013; pp. 107–116. [Google Scholar]
- Osting, B.; Palande, S.; Wang, B. Spectral Sparsification of Simplicial Complexes for Clustering and Label Propagation. arXiv 2017, arXiv:1708.08436. [Google Scholar]
- Munch, E. A user’s guide to topological data analysis. J. Learn. Anal. 2017, 4, 47–61. [Google Scholar] [CrossRef]
- Edelsbrunner, H.; Letscher, D.; Zomorodian, A. Topological persistence and simplification. In Proceedings of the 41st Annual Symposium on Foundations of Computer Science, Redondo Beach, CA, USA, 12–14 November 2000; pp. 454–463. [Google Scholar]
- Fasy, B.T.; Lecci, F.; Rinaldo, A.; Wasserman, L.; Balakrishnan, S.; Singh, A. Confidence sets for persistence diagrams. Ann. Stat. 2014, 42, 2301–2339. [Google Scholar] [CrossRef]
- Marchese, A.; Maroulas, V. Signal classification with a point process distance on the space of persistence diagrams. Adv. Data Anal. Classif. 2018, 12, 657–682. [Google Scholar] [CrossRef]
- Bubenik, P. Statistical topological data analysis using persistence landscapes. J. Mach. Learn. Res. 2015, 16, 77–102. [Google Scholar]
- Bubenik, P.; Dłotko, P. A persistence landscapes toolbox for topological statistics. J. Symb. Comput. 2017, 78, 91–114. [Google Scholar] [CrossRef]
- Bubenik, P. The persistence landscape and some of its properties. arXiv 2018, arXiv:1810.04963. [Google Scholar]
- Chazal, F.; Michel, B. An introduction to Topological Data Analysis: fundamental and practical aspects for data scientists. arXiv 2017, arXiv:1710.04019. [Google Scholar]
- Goldberger, A.L.; Amaral, L.A.; Glass, L.; Hausdorff, J.M.; Ivanov, P.C.; Mark, R.G.; Mietus, J.E.; Moody, G.B.; Peng, C.K.; Stanley, H.E. PhysioBank, PhysioToolkit, and PhysioNet: components of a new research resource for complex physiologic signals. Circulation 2000, 101, e215–e220. [Google Scholar] [CrossRef] [PubMed]
- Hausdorff, J.M.; Mitchell, S.L.; Firtion, R.; Peng, C.K.; Cudkowicz, M.E.; Wei, J.Y.; Goldberger, A.L. Altered fractal dynamics of gait: reduced stride-interval correlations with aging and Huntington’s disease. J. Appl. Physiol. 1997, 82, 262–269. [Google Scholar] [CrossRef]
- Prabhu, P.; Karunakar, A.; Anitha, H.; Pradhan, N. Classification of gait signals into different neurodegenerative diseases using statistical analysis and recurrence quantification analysis. Pattern Recognit. Lett. 2018. [Google Scholar] [CrossRef]
- Wong, T.T. Performance evaluation of classification algorithms by k-fold and leave-one-out cross validation. Pattern Recognit. 2015, 48, 2839–2846. [Google Scholar] [CrossRef]
- De Silva, V.; Carlsson, G.E. Topological estimation using witness complexes. SPBG 2004, 4, 157–166. [Google Scholar]
- Pedregosa, F.; Varoquaux, G.; Gramfort, A.; Michel, V.; Thirion, B.; Grisel, O.; Blondel, M.; Prettenhofer, P.; Weiss, R.; Dubourg, V.; et al. Scikit-learn: Machine Learning in Python. J. Mach. Learn. Res. 2011, 12, 2825–2830. [Google Scholar]
- Henry, B.; Lovell, N.; Camacho, F. Nonlinear dynamics time series analysis. Nonlinear Biomed. Signal Process. Dyn. Anal. Model. 2001, 2, 1–39. [Google Scholar]
- Bruijn, S.M.; Bregman, D.J.; Meijer, O.G.; Beek, P.J.; van Dieën, J.H. Maximum Lyapunov exponents as predictors of global gait stability: a modelling approach. Med. Eng. Phys. 2012, 34, 428–436. [Google Scholar] [CrossRef]
- Doyle, T.L.; Dugan, E.L.; Humphries, B.; Newton, R.U. Discriminating between elderly and young using a fractal dimension analysis of centre of pressure. Int. J. Med. Sci. 2004, 1, 11. [Google Scholar] [CrossRef]
- Golińska, A.K. Poincaré plots in analysis of selected biomedical signals. Stud. Logic, Gramm. Rhetor. 2013, 35, 117–127. [Google Scholar] [CrossRef]
- Ren, P.; Zhao, W.; Zhao, Z.; Bringas-Vega, M.L.; Valdes-Sosa, P.A.; Kendrick, K.M. Analysis of gait rhythm fluctuations for neurodegenerative diseases by phase synchronization and conditional entropy. IEEE Trans. Neural Syst. Rehabil. Eng. 2015, 24, 291–299. [Google Scholar] [CrossRef] [PubMed]
- Zeng, W.; Wang, C. Classification of neurodegenerative diseases using gait dynamics via deterministic learning. Inf. Sci. 2015, 317, 246–258. [Google Scholar] [CrossRef]
- Khorasani, A.; Daliri, M.R. HMM for classification of Parkinson’s disease based on the raw gait data. J. Med. Syst. 2014, 38, 147. [Google Scholar] [CrossRef] [PubMed]













| ID | Age (Years) | Gender | Gait Speed(m/sec) | Severity Index | Stride Interval Number |
|---|---|---|---|---|---|
| HC # 1 | 57 | F | 1.33 | 0 | 259 |
| HC # 2 | 22 | M | 1.47 | 0 | 241 |
| HC # 3 | 23 | F | 1.44 | 0 | 255 |
| HC # 4 | 52 | F | 1.54 | 0 | 267 |
| HC # 5 | 47 | F | 1.54 | 0 | 250 |
| HC # 6 | 30 | F | 1.26 | 0 | 270 |
| HC # 7 | 22 | F | 1.54 | 0 | 260 |
| HC # 8 | 22 | F | 1.33 | 0 | 261 |
| HC # 9 | 32 | F | 1.47 | 0 | 275 |
| HC # 10 | 38 | F | 1.4 | 0 | 277 |
| HC # 11 | 69 | F | 0.91 | 0 | 269 |
| HC # 12 | 74 | M | 1.26 | 0 | 244 |
| HC # 13 | 61 | F | 1.33 | 0 | 251 |
| HC # 14 | 20 | F | 1.33 | 0 | 249 |
| HC # 15 | 20 | F | 1.19 | 0 | 198 |
| HC # 16 | 40 | F | 1.33 | 0 | 250 |
| ID | Age | Gender | Gait Speed(m/sec) | Duration (Months) | Stride Interval Number |
|---|---|---|---|---|---|
| ALS # 1 | 68 | M | 1.302 | 1 | 194 |
| ALS # 2 | 63 | M | 1.219 | 14 | 242 |
| ALS # 3 | 70 | F | 0.853 | 13 | 215 |
| ALS # 4 | 70 | F | - | 54 | 135 |
| ALS # 5 | 36 | M | - | 5.5 | 205 |
| ALS # 6 | 43 | M | 0.77 | 17 | 176 |
| ALS # 7 | 65 | M | 1.302 | 9 | 159 |
| ALS # 8 | 51 | M | 1.085 | 3 | 232 |
| ALS # 9 | 50 | M | 0.899 | 54 | 212 |
| ALS # 10 | 40 | F | 1.219 | 14.5 | 246 |
| ALS # 11 | 39 | M | 1.283 | 7 | 229 |
| ALS # 12 | 62 | M | 0.831 | 12 | 122 |
| ALS # 13 | 66 | M | 0.832 | 34 | 183 |
| ID | Age | Gender | Gait Speed(m/sec) | Severity Index | Stride Interval Number |
|---|---|---|---|---|---|
| HD # 1 | 42 | M | 1.68 | 8 | 310 |
| HD # 2 | 41 | F | 1.05 | 11 | 225 |
| HD # 3 | 66 | F | 1.05 | 4 | 232 |
| HD # 4 | 47 | F | 1.4 | 2 | 268 |
| HD # 5 | 36 | M | 1.82 | 10 | 263 |
| HD # 6 | 41 | F | 1.54 | 8 | 263 |
| HD # 7 | 71 | M | 1.05 | 2 | 232 |
| HD # 8 | 53 | F | 1.26 | 9 | 256 |
| HD # 9 | 54 | F | 1.26 | 12 | 270 |
| HD # 10 | 47 | F | 1.05 | 4 | 220 |
| HD # 11 | 33 | M | 1.26 | 11 | 239 |
| HD # 12 | 47 | M | 1.19 | 8 | 258 |
| HD # 13 | 40 | F | 0.56 | 5 | 167 |
| HD # 14 | 36 | F | 1.4 | 12 | 255 |
| HD # 15 | 34 | F | 0.56 | 3 | 217 |
| HD # 16 | 70 | M | 0.56 | 5 | 190 |
| HD # 17 | 29 | F | 1.19 | 12 | 248 |
| HD # 18 | 54 | F | 0.98 | 2 | 252 |
| HD # 19 | 59 | F | 0.98 | 1 | 243 |
| HD # 20 | 33 | F | - | 9 | 238 |
| ID | Age | Gender | Gait Speed(m/sec) | Severity Index | Stride Interval Number |
|---|---|---|---|---|---|
| PD # 1 | 42 | M | 1.68 | 4 | 245 |
| PD # 2 | 41 | F | 1.05 | 1.5 | 277 |
| PD # 3 | 66 | M | 1.05 | 2 | 230 |
| PD # 4 | 47 | F | 1.4 | 3.5 | 222 |
| PD # 5 | 36 | M | 1.82 | 2 | 263 |
| PD # 6 | 41 | M | 1.54 | 2 | 269 |
| PD # 7 | 71 | F | 1.05 | 4 | 226 |
| PD # 8 | 53 | M | 1.26 | 4 | 203 |
| PD # 9 | 54 | M | 1.26 | 1.5 | 222 |
| PD # 10 | 47 | M | 1.05 | 3 | 288 |
| PD # 11 | 33 | M | 1.26 | 3 | 230 |
| PD # 12 | 47 | F | 1.19 | 3 | 247 |
| PD # 13 | 40 | F | 0.56 | 3 | 251 |
| PD # 14 | 36 | M | 1.4 | 3 | 278 |
| PD # 15 | 34 | M | 0.56 | 2.5 | 237 |
| Predicted Labels | ||
|---|---|---|
| Actual | Positive | Negative |
| Positive | TP | FN |
| Negative | FP | TN |
| Methods | Accuracy (%) | Sensitivity (%) | Specificity (%) | AUC-Score |
|---|---|---|---|---|
| EMD + RF [8] | x | x | x | 0.900 |
| EMD + SLR [8] | x | x | x | 0.859 |
| EMD + MLP [8] | x | x | x | 0.934 |
| EMD + NB [8] | x | x | x | 0.891 |
| EMD + SVM [8] | x | x | x | 0.906 |
| DL [55] | 89.66 | 92.31 | 87.50 | x |
| PSCE + MP [54] | x | 81.3 | 68.8 | 0.824 |
| PSCE + RF [54] | x | 93.75 | 75.0 | 0.789 |
| PSCE + NB [54] | x | 87.5 | 62.5 | 0.750 |
| TDA: PL + DT | 82.76 | 81.25 | 84.62 | 0.829 |
| TDA: PL + RF | 75.86 | 81.25 | 69.23 | 0.784 |
| TDA: PL + NB | 82.76 | 87.50 | 76.92 | 0.736 |
| TDA: PL + KNN | 86.21 | 100 | 69.23 | 0.776 |
| Methods | Accuracy (%) | Sensitivity (%) | Specificity (%) | AUC-Score |
|---|---|---|---|---|
| EMD + RF [8] | x | x | x | 0.885 |
| EMD + SLR [8] | x | x | x | 0.843 |
| EMD + MLP [8] | x | x | x | 0.878 |
| EMD + NB [8] | x | x | x | 0.898 |
| EMD + SVM [8] | x | x | x | 0.900 |
| DL [55] | 83.33 | 85.00 | 81.25 | x |
| PSCE + MP [54] | x | 100 | 85.00 | 0.910 |
| PSCE + RF [54] | x | 95.0 | 90.0 | 0.959 |
| PSCE + NB [54] | x | 95.0 | 80.0 | 0.920 |
| TDA: PL + DT | 94.44 | 87.50 | 100 | 0.938 |
| TDA: PL + RF | 91.67 | 87.5 | 95.00 | 0.978 |
| TDA: PL + NB | 83.33 | 100 | 70.00 | 0.959 |
| TDA: PL + KNN | 88.89 | 87.50 | 90.00 | 0.925 |
| Methods | Accuracy (%) | Sensitivity (%) | Specificity (%) | AUC-Score |
|---|---|---|---|---|
| σ & STC + LS-SVM [7] | 90.32 | x | x | 0.952 |
| HMM [56] | 90.32 | 93.33 | 87.50 | x |
| EMD + RF [8] | x | x | x | 0.865 |
| EMD + SLR [8] | x | x | x | 0.949 |
| EMD + MLP [8] | x | x | x | 0.910 |
| EMD + NB [8] | x | x | x | 0.875 |
| EMD + SVM [8] | x | x | x | 0.906 |
| DL [55] | 87.10 | 86.67 | 86.50 | x |
| PSCE + MP [54] | x | 100 | 81.3 | 0.928 |
| PSCE + RF [54] | x | 93.8 | 87.5 | 0.910 |
| PSCE + NB [54] | x | 87.5 | 81.3 | 0.898 |
| TDA: PL + DT | 83.87 | 81.25 | 86.67 | 0.840 |
| TDA: PL + RF | 90.32 | 87.50 | 93.33 | 0.877 |
| TDA: PL + NB | 77.42 | 100 | 53.33 | 0.800 |
| TDA: PL + kNN | 77.42 | 87.50 | 66.67 | 0.808 |
© 2020 by the authors. Licensee MDPI, Basel, Switzerland. This article is an open access article distributed under the terms and conditions of the Creative Commons Attribution (CC BY) license (http://creativecommons.org/licenses/by/4.0/).
Share and Cite
Yan, Y.; Ivanov, K.; Mumini Omisore, O.; Igbe, T.; Liu, Q.; Nie, Z.; Wang, L. Gait Rhythm Dynamics for Neuro-Degenerative Disease Classification via Persistence Landscape- Based Topological Representation. Sensors 2020, 20, 2006. https://doi.org/10.3390/s20072006
Yan Y, Ivanov K, Mumini Omisore O, Igbe T, Liu Q, Nie Z, Wang L. Gait Rhythm Dynamics for Neuro-Degenerative Disease Classification via Persistence Landscape- Based Topological Representation. Sensors. 2020; 20(7):2006. https://doi.org/10.3390/s20072006
Chicago/Turabian StyleYan, Yan, Kamen Ivanov, Olatunji Mumini Omisore, Tobore Igbe, Qiuhua Liu, Zedong Nie, and Lei Wang. 2020. "Gait Rhythm Dynamics for Neuro-Degenerative Disease Classification via Persistence Landscape- Based Topological Representation" Sensors 20, no. 7: 2006. https://doi.org/10.3390/s20072006
APA StyleYan, Y., Ivanov, K., Mumini Omisore, O., Igbe, T., Liu, Q., Nie, Z., & Wang, L. (2020). Gait Rhythm Dynamics for Neuro-Degenerative Disease Classification via Persistence Landscape- Based Topological Representation. Sensors, 20(7), 2006. https://doi.org/10.3390/s20072006

