Calibration, Compensation and Accuracy Analysis of Circular Grating Used in Single Gimbal Control Moment Gyroscope
Abstract
1. Introduction
- (a)
- Most researchers have focused on the circular grating’s accuracy of ground systems such as the articulated arm coordinate measuring machine (AACMM) and telescope control system.
- (b)
- Many scholars studied the compensation methods and self-calibration [27,28] of circular grating by multi reading heads. However, few research studies concerning the algorithm compensation can be found in recent years, and the comparison of the algorithm and hardware method has not been the focus of research on compensation of the circular grating.
- (c)
- A search of the literature revealed few studies that improved the performance of the servo control system that considered the accuracy of the circular grating sensors.
2. SGCMG System Modeling
2.1. Introduction of the SGCMG System
2.2. Control System
3. Eccentricity Error Modeling
4. Circular Grating Error Compensation Method
4.1. Compensation Principle
4.2. Calibration Experiment Setup
5. Results and Discussion
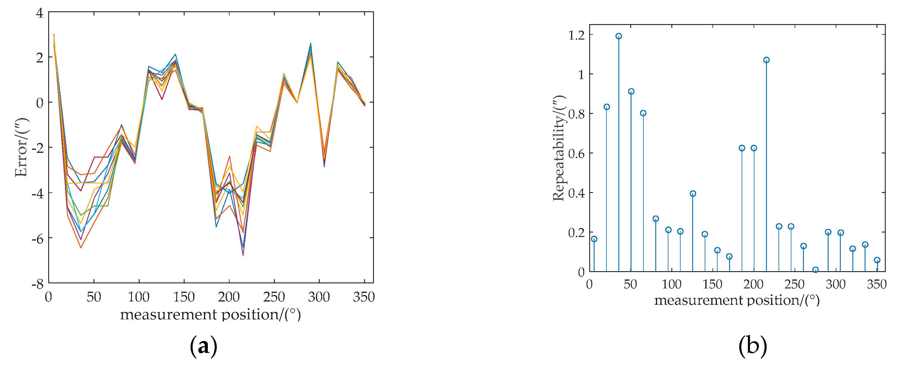
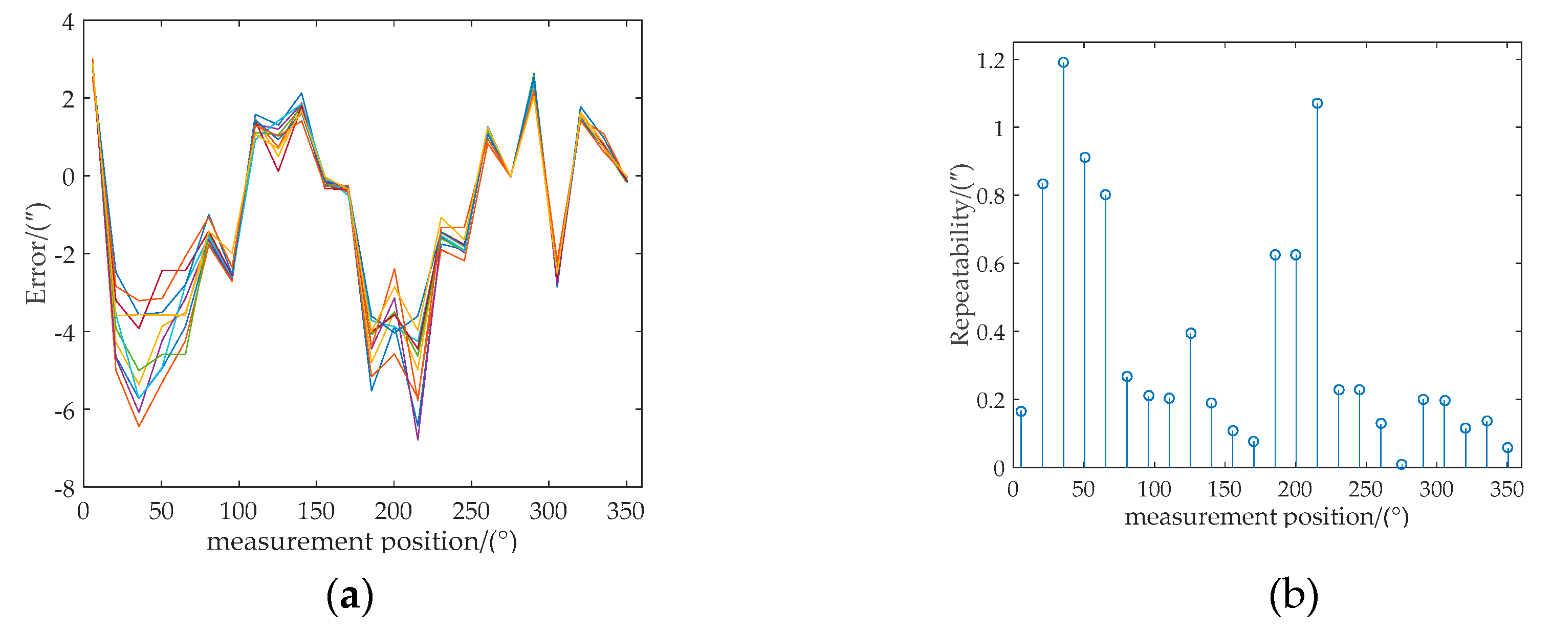
5.1. Measurement Error Compensation
5.1.1. Test Data Processing
5.1.2. Accuracy Analysis
5.2. SGCMG Simulation Results
6. Conclusions
- (1)
- Eccentricity error is the main source of measurement error of circular grating.
- (2)
- The key step in the proposed method is that the error calibration process includes calibration and fitting of the measurement error to provide accurate fitting compensation models to predict measurement errors.
- (3)
- The accuracy of the algorithm method was almost same with the hardware method in this study. We also conducted fitting processing with a two-term Fourier compensation model, and the accuracy of the measurement was not obviously improved.
Author Contributions
Funding
Acknowledgments
Conflicts of Interest
Appendix A. The Mathematic Model of Tilt Error
References
- Petritoli, E.; Leccese, F.; Cagnetti, M. High Accuracy Buoyancy for Underwater Gliders: The Uncertainty in the Depth Control. Sensors 2019, 19, 1831. [Google Scholar] [CrossRef] [PubMed]
- Peroni, M.; Dolce, F.; Kingston, J.; Palla, C.; Fanfani, A.; Leccese, F. Reliability study for LEO satellites to assist the selection of end of life disposal methods. In Proceedings of the 2016 IEEE Metrology for Aerospace (MetroAeroSpace), Florence, Italy, 22–23 June 2016; pp. 141–145. [Google Scholar]
- Wu, Y.; Han, F.; Hua, B.; Chen, Z.; Xu, D.; Ge, L. Review: A survey of single gimbal control moment gyroscope for agile spacecraft attitude control. J. Harbin Inst. Technol. (N. Ser.) 2018, 25, 26–49. [Google Scholar]
- Takada, K.; Kojima, H.; Matsuda, N. Control moment Gyro Singularity-Avoidance Steering Control Based on Singular-Surface Cost Function. J. Guid. Control Dyn. 2010, 33, 442–1450. [Google Scholar] [CrossRef]
- Kanzawa, T.; Haruki, M.; Yamanaka, K. Steering Law of Control Moment Gyroscopes for Agile Attitude Maneuvers. J. Guid. Control Dyn. 2016, 39, 952–962. [Google Scholar] [CrossRef][Green Version]
- Michałowska, J.; Tofil, A.; Józwik, J.; Pytka, J.; Legutko, S.; Siemiątkowski, Z.; Łukaszewicz, A. A Monitoring the Risk of the Electric Component Imposed on a Pilot During Light Aircraft Operations in a High-Frequency Electromagnetic Field. Sensors 2019, 19, 5537. [Google Scholar] [CrossRef]
- Liu, J.; Li, H.; Deng, Y. Torque Ripple Minimization of PMSM based on Robust ILC via Adaptive Sliding Mode Control. IEEE Trans. Power Electron. 2017, 33, 3655–3671. [Google Scholar] [CrossRef]
- Lu, M.; Hu, Y.; Wang, Y.; Li, G.; W, D.; Zhang, J. High precision control design for SGCMG gimbal servo system. In Proceedings of the 2015 IEEE International Conference on Advanced Intelligent Mechatronics (AIM), Busan, Korea, 7–11 July 2015; pp. 518–523. [Google Scholar]
- Li, H.; Zheng, S.; Ning, X. Precise Control for Gimbal System of Double Gimbal Control Moment Gyro Based on Cascade Extended State Observer. IEEE Trans. Ind. Electron. 2017, 64, 4653–4661. [Google Scholar] [CrossRef]
- Wang, W.; Gao, G.; Wu, Y.; Chen, Z. Analysis and Compensation of Installation Errors for Circular Grating Angle Sensors. Adv. Sci. Lett. 2011, 4, 2446–2451. [Google Scholar] [CrossRef]
- Chen, X.-J.; Wang, Z.-H.; Zeng, Q.-S. Angle measurement error and compensation for decentration rotation of circular gratings. J. Harbin Inst. Technol. (N. Ser.) 2010, 17, 536–539. [Google Scholar]
- Chen, X.-J.; Wang, Z.-H.; Wang, Z.-B.; Zeng, Q.-S. Angle measurement error and compensation for pitched rotation of circular grating. J. Harbin Inst. Technol. (N. Ser.) 2011, 18, 11–15. [Google Scholar]
- Zheng, D.; Yin, S.; Luo, Z.; Zhang, J.; Zhou, T. Measurement accuracy of articulated arm CMMs with circular grating eccentricity errors. Meas. Sci. Technol. 2016, 27, 115011. [Google Scholar] [CrossRef]
- Chu, M.; Song, J.Z.; Zhang, Y.H.; Sun, H.X. Circular grating eccentric testing and error compensation for robot joint using double reading head. J. Theor. Appl. Inf. Technol. 2013, 50, 161–166. [Google Scholar]
- Gao, G.B.; Wang, W.; Xie, L.; Wei, D.B.; Xu, W.Q. Study on the Compensation for Mounting Eccentric Errors of Circular Grating Angle Sensors. Adv. Mater. Res. 2011, 301, 1552–1555. [Google Scholar] [CrossRef]
- Yu, J.W.; Wang, Q.; Zhou, G.Z.; He, D.; Xia, Y.X.; Liu, X.; Lv, W.Y.; Huang, Y.M. Analysis of the Subdivision Errors of Photoelectric Angle Encoders and Improvement of the Tracking Precision of a Telescope Control System. Sensors 2018, 18, 2998. [Google Scholar] [CrossRef] [PubMed]
- Wang, X.J. Correction of Angle Measuring Errors for Large Telescopes. Opt. Precis. Eng. 2015, 23, 2446–2451. [Google Scholar] [CrossRef]
- Yu, L.D.; Bao, W.H.; Zhao, H.N.; Jia, H.K.; Zhang, R. Application and novel angle measurement error compensation method of circular gratings. Opt. Precis. Eng. 2019, 27. [Google Scholar] [CrossRef]
- Li, X.; Ye, G.; Liu, H.; Ban, Y.W.; Shi, Y.S.; Yin, L.; Lu, B.H. A novel optical rotary encoder with eccentricity self-detection ability. Rev. Sci. Instrum. 2017, 88, 115005. [Google Scholar] [CrossRef]
- Geckeler, R.D.; Link, A.; Krause, M.; Elster, C. Capabilities and limitations of the self-calibration of angle encoders. Meas. Sci. Technol. 2014, 25, 055003. [Google Scholar] [CrossRef]
- Deng, F.; Chen, J.; Wang, Y.; Gong, K. Measurement and calibration method for an optical encoder based on adaptive differential evolution-Fourier neural networks. Meas. Sci. Technol. 2013, 24, 055007. [Google Scholar] [CrossRef]
- Tsukasa, W.; Hiroyuki, F.; Kan, N.; Tadashi, M.; Makoto, K. Automatic High Precision Calibration System for Rotary Encoder. J. Jpn. Soc. Precis. Eng. 2001, 67, 1091–1095. [Google Scholar] [CrossRef]
- Mancini, D.; Cascone, E.; Schipani, P. Galileo High-resolution encoder system. In Proceedings of the Telescope Control Systems II. International Society for Optics and Photonics, San Diego, CA, USA, 18 September 1997; pp. 328–334. [Google Scholar] [CrossRef]
- Ren, S.; Liu, Q.; Zhao, H. Error Analysis of Circular Gratings Angle-Measuring System. In Proceedings of the 2016 International Conference on Electrical, Mechanical and Industrial Engineering, Phuket, Thailand, 24–25 April 2016. [Google Scholar] [CrossRef][Green Version]
- Bunte, A.; Beineke, S. High-Performance Speed Measurement by Suppression of Systematic Revolver and Encoder Errors. IEEE Trans. Ind. Electron. 2004, 51, 49–53. [Google Scholar] [CrossRef]
- Hagiwara, N.; Suzuki, Y.; Murase, H. A method of improving the resolution and accuracy of rotary encoders using a code compensation technique. IEEE Trans. Instrum. Meas. 1992, 41, 98–101. [Google Scholar] [CrossRef]
- Kim, J.A.; Kim, J.W.; Chu-Shik, K.; Jin, J.H.; Eom, T.B. Calibration of angle artifacts and instruments using a high precision angle generator. Int. J. Precis. Eng. Manuf. 2013, 14, 367–371. [Google Scholar] [CrossRef]
- Jiao, Y.; Dong, Z.; Ding, Y.; Liu, P.K. Optimal arrangements of scanning heads for self-calibration of angle encoders. Meas. Sci. Technol. 2017, 28, 105013. [Google Scholar] [CrossRef]
- Konrad, U.; Dariusz, J. Sensorless control of the permanent magnet synchronous motor. Sensors 2019, 19, 3546. [Google Scholar]
- Zhou, Z.; Zhang, B.; Mao, D. Robust sliding mode control of PMSM based on rapid nonlinear tracking differentiator and disturbance observer. Sensors 2018, 18, 1031. [Google Scholar] [CrossRef]
- Wang, C.; Zhang, G.; Guo, S.; Jiang, J. Autocorrection of Interpolation Errors in Optical Encoders. In Proceedings of the 1996 Symposium on Smart Structures and Materials, San Diego, CA, USA, 30 May 1996; pp. 439–447. [Google Scholar] [CrossRef]
- Matsuzoe, Y. High-performance absolute rotary encoder using multitrack and M-code. Opt. Eng. 2003, 42, 124. [Google Scholar] [CrossRef]
- Zhang, X.W.; Li, X.H.; Chen, B. The Parameters Calibration and Error Compensation of Circular Gratings for Parallel Double-Joint Coordinate Measuring Machine (CMM). Appl. Mech. Mater. 2011, 105, 1899–1902. [Google Scholar] [CrossRef]
- Zhikun, S.; Zurong, Q.; Chenglin, W.; Li, X.H. A New Method for Circular Grating’s Eccentricity Identification and Error Compensation. In Proceedings of the 2015 Fifth International Conference on Instrumentation & Measurement, Computer, Communication and Control (IMCCC), Qinhuangdao, China, 18–20 September 2015; pp. 360–363. [Google Scholar]
- International Organization for Standardization. Precision of Test Methods—Determination of Repeatability and Reproducibility for a Standard Test Method by Inter-Laboratory Tests (ISO 5725); International Organization for Standardization: Geneva, Switzerland, 1986. [Google Scholar]











| Parameters | Value | Value | Value | Value | Value | Value | Value | Value |
|---|---|---|---|---|---|---|---|---|
| β | 360 | 15 | 30 | 45 | 60 | 75 | 90 | 105 |
| α1 | 359.9906 | 15.0024 | 30.0106 | 45.0181 | 60.0213 | 75.0215 | 90.0173 | 105.0111 |
| α2 | 184.7492 | 199.73796 | 214.7281 | 229.7227 | 244.7199 | 259.7202 | 274.7228 | 289.7298 |
| β | 120 | 135 | 150 | 165 | 180 | 195 | 210 | 225 |
| α1 | 120 | 134.9879 | 149.9737 | 164.959 | 179.9439 | 194.933 | 209.923 | 224.9187 |
| α2 | 304.7384 | 319.751 | 334.7654 | 349.7793 | 4.7924 | 19.8052 | 34.8138 | 49.8216 |
| β | 240 | 255 | 270 | 285 | 300 | 315 | 330 | 345 |
| α1 | 239.9138 | 254.9148 | 269.9197 | 284.9261 | 299.9368 | 314.9492 | 329.9633 | 344.977 |
| α2 | 64.8247 | 79.8251 | 94.8217 | 109.8127 | 124.8029 | 139.7901 | 154.7771 | 169.7628 |
| a0 | a1 | a2 | R-Square | |
|---|---|---|---|---|
| −0.03201 | −0.01573 | −0.05181 | 1.858 | 99.97% |
| Parameters | α1 | α2 | Algorithm Compensation | Hardware Compensation |
|---|---|---|---|---|
| PV | 311.18″ | 312.12″ | 6.23″ | 6.43″ |
| RMS | 180.00″ | 180.36″ | 3.13″ | 2.29″ |
| Parameters | The 10 Testing Datasets | Repeatability |
|---|---|---|
| PV | 6.78″ | 1.19″ |
| RMS | 3.17″ | 0.50″ |
| Parameter | Pn | Ld | Lq | R | ψf | B | J |
|---|---|---|---|---|---|---|---|
| Value | 4 | 1.5 mH | 1.5 mH | 0.011 Ω | 0.077 Wb | 0 | 0.0008 kg.m2 |
| Simulation Num | Error Type | Velocity Range | RMSE |
|---|---|---|---|
| 1 | Before compensation | 59.50–60.75 | 0.0283 |
| 2 | After compensation | 59.94–60.07 | 0.0001 |
© 2020 by the authors. Licensee MDPI, Basel, Switzerland. This article is an open access article distributed under the terms and conditions of the Creative Commons Attribution (CC BY) license (http://creativecommons.org/licenses/by/4.0/).
Share and Cite
Yu, Y.; Dai, L.; Chen, M.-S.; Kong, L.-B.; Wang, C.-Q.; Xue, Z.-P. Calibration, Compensation and Accuracy Analysis of Circular Grating Used in Single Gimbal Control Moment Gyroscope. Sensors 2020, 20, 1458. https://doi.org/10.3390/s20051458
Yu Y, Dai L, Chen M-S, Kong L-B, Wang C-Q, Xue Z-P. Calibration, Compensation and Accuracy Analysis of Circular Grating Used in Single Gimbal Control Moment Gyroscope. Sensors. 2020; 20(5):1458. https://doi.org/10.3390/s20051458
Chicago/Turabian StyleYu, Yue, Lu Dai, Mao-Sheng Chen, Ling-Bo Kong, Chao-Qun Wang, and Zhi-Peng Xue. 2020. "Calibration, Compensation and Accuracy Analysis of Circular Grating Used in Single Gimbal Control Moment Gyroscope" Sensors 20, no. 5: 1458. https://doi.org/10.3390/s20051458
APA StyleYu, Y., Dai, L., Chen, M.-S., Kong, L.-B., Wang, C.-Q., & Xue, Z.-P. (2020). Calibration, Compensation and Accuracy Analysis of Circular Grating Used in Single Gimbal Control Moment Gyroscope. Sensors, 20(5), 1458. https://doi.org/10.3390/s20051458

