Impedimetric Detection of Ammonia and Low Molecular Weight Amines in the Gas Phase with Covalent Organic Frameworks
Abstract
1. Introduction
2. Materials and Methods
2.1. Materials
2.2. Synthesis of COFs
2.3. Characterization
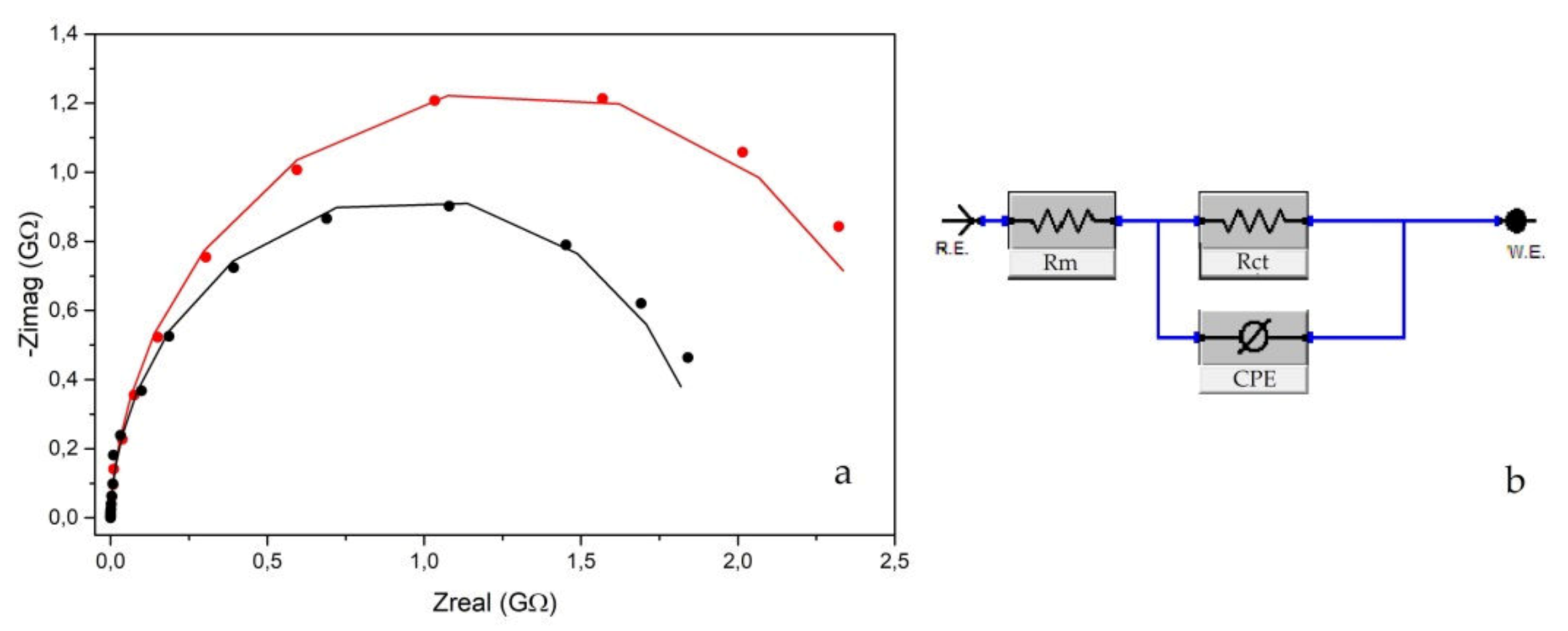
2.4. Electrochemical Impedance Spectroscopy Experiments
2.5. Low Molecular Weight Amines Detection
3. Results and Discussion
3.1. Powder Characterization
3.1.1. Powder X-ray Diffraction
3.1.2. Fourier Transform Infrared Spectroscopy
3.1.3. Solid-State Nuclear Magnetic Resonance Spectroscopy
3.1.4. N2 Adsorption Isotherms
3.1.5. Scanning Electron Microscopy
3.1.6. Raman Spectroscopy
3.2. Films Characterization
3.3. Low Molecular Weight Amines Detection
4. Conclusions
Author Contributions
Funding
Conflicts of Interest
References
- Sapek, A. Ammonia Emissions from Non-Agricultural Sources. Polish J. Environ. Stud. 2013, 22, 63–70. [Google Scholar]
- Breitenbeck, G.A.; Bremner, J.M. Effects of rate and depth of fertilizer application on emission of nitrous oxide from soil fertilized with anhydrous ammonia. Biol. Fertil. Soils 1986, 2, 201–204. [Google Scholar] [CrossRef]
- Jones, J.S. Manifold for the Application of Agricultural Ammonia. U.S. Patent No. 4,807,663, 28 February 1989. [Google Scholar]
- Riddick, S.; Ward, D.; Hess, P.; Mahowald, N.; Massad, R.; Holland, E. Estimate of changes in agricultural terrestrial nitrogen pathways and ammonia emissions from 1850 to present in the Community Earth System Model. Biogeosciences 2016, 13, 3397–3426. [Google Scholar] [CrossRef]
- Behera, S.N.; Sharma, M.; Aneja, V.P.; Balasubramanian, R. Ammonia in the atmosphere: A review on emission sources, atmospheric chemistry and deposition on terrestrial bodies. Environ. Sci. Pollut. Res. 2013, 20, 8092–8131. [Google Scholar] [CrossRef]
- Erisman, J.W.; Otjes, R.; Hensen, A.; Jongejan, P.; van den Bulk, P.; Khlystov, A.; Möls, H.; Slanina, S. Instrument development and application in studies and monitoring of ambient ammonia. Atmos. Environ. 2001, 35, 1913–1922. [Google Scholar] [CrossRef]
- Imawan, C.; Solzbacher, F.; Steffes, H.; Obermeier, E. Gas-sensing characteristics of modified-MoO3 thin films using Ti-overlayers for NH3 gas sensors. Sens. Actuators B Chem. 2000, 64, 193–197. [Google Scholar] [CrossRef]
- Duy, L.T.; Trung, T.Q.; Dang, V.Q.; Hwang, B.-U.; Siddiqui, S.; Son, I.-Y.; Yoon, S.K.; Chung, D.J.; Lee, N.-E. Flexible Transparent Reduced Graphene Oxide Sensor Coupled with Organic Dye Molecules for Rapid Dual-Mode Ammonia Gas Detection. Adv. Funct. Mater. 2016, 26, 4329–4338. [Google Scholar] [CrossRef]
- Zhang, J.; Yuan, Z.; Qin, W.; Zhang, H.; Meng, F. High Response and Selectivity Ammonia Sensor Based on WO3/MoO3 Porous and Hollow Microsphere. IEEE Sens. J. 2019, 19, 11014–11020. [Google Scholar] [CrossRef]
- Tai, H.; Duan, Z.; He, Z.; Li, X.; Xu, J.; Liu, B.; Jiang, Y. Enhanced ammonia response of Ti3C2Tx nanosheets supported by TiO2 nanoparticles at room temperature. Sens. Actuators B Chem. 2019, 298, 126874. [Google Scholar] [CrossRef]
- Meng, F.; Zheng, H.; Sun, Y.; Li, M.; Liu, J. Trimethylamine Sensors Based on Au-Modified Hierarchical Porous Single-Crystalline ZnO Nanosheets. Sensors 2017, 17, 1478. [Google Scholar] [CrossRef]
- Gavgani, J.N.; Hasani, A.; Nouri, M.; Mahyari, M.; Salehi, A. Highly sensitive and flexible ammonia sensor based on S and N co-doped graphene quantum dots/polyaniline hybrid at room temperature. Sens. Actuators B Chem. 2016, 229, 239–248. [Google Scholar] [CrossRef]
- Kanaparthi, S.; Singh, S.G. Solvent-free fabrication of a room temperature ammonia gas sensor by frictional deposition of a conducting polymer on paper. Org. Electron. 2019, 68, 108–112. [Google Scholar] [CrossRef]
- Park, J.S.; Park, S.C.; Yoon, H. Chemo-Electrical Gas Sensors Based on Conducting Polymer Hybrids. Polymers 2017, 9, 155. [Google Scholar] [CrossRef] [PubMed]
- Tadi, K.K.; Pal, S.; Narayanan, T.N. Fluorographene based Ultrasensitive Ammonia Sensor. Sci. Rep. 2016, 6, 25221. [Google Scholar] [CrossRef] [PubMed]
- Strobl, M.; Walcher, A.; Mayr, T.; Klimant, I.; Borisov, S.M. Trace Ammonia Sensors Based on Fluorescent Near-Infrared-Emitting aza-BODIPY Dyes. Anal. Chem. 2017, 89, 2859–2865. [Google Scholar] [CrossRef]
- Tang, N.; Jiang, Y.; Qu, H.; Duan, X. Conductive polymer nanowire gas sensor fabricated by nanoscale soft lithography. Nanotechnology 2017, 28, 485301. [Google Scholar] [CrossRef]
- Wang, C.; Wang, H.; Zhao, D.; Wei, X.; Li, X.; Liu, W.; Liu, H. Simple Synthesis of Cobalt Carbonate Hydroxide Hydrate and Reduced Graphene Oxide Hybrid Structure for High-Performance Room Temperature NH3 Sensor. Sensors 2019, 19, 615. [Google Scholar] [CrossRef]
- Omran, H.; Salama, K.N. Design and fabrication of capacitive interdigitated electrodes for smart gas sensors. In Proceedings of the 2015 IEEE 3rd International Conference on Smart Instrumentation, Measurement and Applications (ICSIMA), Kuala Lumpur, Malaysia, 24–25 November 2015. [Google Scholar]
- Daud, A.I.; Wan Mohamed Zin, W.M.K.; Mohamad Isa, M.I.N.; Abdul Wahid, K.A. Study on Semiconductor Properties of Acetylide-Thiourea Fabricated onto Interdigitated Electrodes (Ides) Platform Towards Application In Gas Sensing Technology. Makara J. Technol. 2018, 21, 3. [Google Scholar] [CrossRef]
- Wang, Y.; Wu, Y.; Xie, J.; Hu, X. Metal–organic framework modified carbon paste electrode for lead sensor. Sens. Actuators B Chem. 2013, 177, 1161–1166. [Google Scholar] [CrossRef]
- Kaur, P.; Bagchi, S.; Bhondekar, A.P. Impedimetric Study of Polypyrrole Coated Zinc Oxide Fibers for Ammonia Detection. In Proceedings of the 2019 6th International Conference on Signal Processing and Integrated Networks (SPIN), Noida, India, 7–8 March 2019. [Google Scholar]
- Wu, Q.; Zheng, Y.; Jian, J.; Wang, J. Gas sensing performance of ion-exchanged Y zeolites as an impedimetric ammonia sensor. Ionics 2017, 23, 751–758. [Google Scholar] [CrossRef]
- Meng, Z.; Stolz, R.; Mirica, K.A. Two-Dimensional Chemiresistive Covalent Organic Framework with High Intrinsic Conductivity. J. Am. Chem. Soc. 2019, 141, 11929–11937. [Google Scholar] [CrossRef] [PubMed]
- Wang, M.; Hu, M.; Liu, J.; Guo, C.; Peng, D.; Jia, Q.; He, L.; Zhang, Z.; Du, M. Covalent organic framework-based electrochemical aptasensors for the ultrasensitive detection of antibiotics. Biosens. Bioelectron. 2019, 132, 8–16. [Google Scholar] [CrossRef] [PubMed]
- Liu, X.; Huang, D.; Lai, C.; Zeng, G.; Qin, L.; Wang, H.; Yi, H.; Li, B.; Liu, S.; Zhang, M.; et al. Recent advances in covalent organic frameworks (COFs) as a smart sensing material. Chem. Soc. Rev. 2019, 48, 5266–5302. [Google Scholar] [CrossRef] [PubMed]
- Feldblyum, J.I.; McCreery, C.H.; Andrews, S.C.; Kurosawa, T.; Santos, E.J.G.; Duong, V.; Fang, L.; Ayzner, A.L.; Bao, Z. Few-layer, large-area, 2D covalent organic framework semiconductor thin films. Chem. Commun. 2015, 51, 13894–13897. [Google Scholar] [CrossRef]
- Kandambeth, S.; Mallick, A.; Lukose, B.; Mane, M.V.; Heine, T.; Banerjee, R. Construction of Crystalline 2D Covalent Organic Frameworks with Remarkable Chemical (Acid/Base) Stability via a Combined Reversible and Irreversible Route. J. Am. Chem. Soc. 2012, 134, 19524–19527. [Google Scholar] [CrossRef]
- Doonan, C.J.; Tranchemontagne, D.J.; Glover, T.G.; Hunt, J.R.; Yaghi, O.M. Exceptional ammonia uptake by a covalent organic framework. Nat. Chem. 2010, 2, 235. [Google Scholar] [CrossRef]
- Mulzer, C.R.; Shen, L.; Bisbey, R.P.; McKone, J.R.; Zhang, N.; Abruña, H.D.; Dichtel, W.R. Superior Charge Storage and Power Density of a Conducting Polymer-Modified Covalent Organic Framework. ACS Cent. Sci. 2016, 2, 667–673. [Google Scholar] [CrossRef]
- Bhanja, P.; Mishra, S.; Manna, K.; Mallick, A.; Das Saha, K.; Bhaumik, A. Covalent Organic Framework Material Bearing Phloroglucinol Building Units as a Potent Anticancer Agent. ACS Appl. Mater. Interfaces 2017, 9, 31411–31423. [Google Scholar] [CrossRef]
- Montoro, C.; Rodríguez-San-Miguel, D.; Polo, E.; Escudero-Cid, R.; Ruiz-González, M.L.; Navarro, J.A.R.; Ocón, P.; Zamora, F. Ionic Conductivity and Potential Application for Fuel Cell of a Modified Imine-Based Covalent Organic Framework. J. Am. Chem. Soc. 2017, 139, 10079–10086. [Google Scholar] [CrossRef]
- Ding, S.-Y.; Gao, J.; Wang, Q.; Zhang, Y.; Song, W.-G.; Su, C.-Y.; Wang, W. Construction of Covalent Organic Framework for Catalysis: Pd/COF-LZU1 in Suzuki–Miyaura Coupling Reaction. J. Am. Chem. Soc. 2011, 133, 19816–19822. [Google Scholar] [CrossRef]
- Li, G.; Cheng, Y.; Kuhn, U.; Xu, R.; Yang, Y.; Meusel, H.; Wang, Z.; Ma, N.; Wu, Y.; Li, M.; et al. Physicochemical uptake and release of volatile organic compounds by soil in coated-wall flow tube experiments with ambient air. Atmos. Chem. Phys. 2019, 19, 2209–2232. [Google Scholar] [CrossRef]
- Dalapati, S.; Jin, S.; Gao, J.; Xu, Y.; Nagai, A.; Jiang, D. An Azine-Linked Covalent Organic Framework. J. Am. Chem. Soc. 2013, 135, 17310–17313. [Google Scholar] [CrossRef] [PubMed]
- Ding, S.-Y.; Dong, M.; Wang, Y.-W.; Chen, Y.-T.; Wang, H.-Z.; Su, C.-Y.; Wang, W. Thioether-Based Fluorescent Covalent Organic Framework for Selective Detection and Facile Removal of Mercury(II). J. Am. Chem. Soc. 2016, 138, 3031–3037. [Google Scholar] [CrossRef] [PubMed]
- Segura, J.L.; Mancheño, M.J.; Zamora, F. Covalent organic frameworks based on Schiff-base chemistry: Synthesis, properties and potential applications. Chem. Soc. Rev. 2016, 45, 5635–5671. [Google Scholar] [CrossRef] [PubMed]
- Campbell, N.L.; Clowes, R.; Ritchie, L.K.; Cooper, A.I. Rapid Microwave Synthesis and Purification of Porous Covalent Organic Frameworks. Chem. Mater. 2009, 21, 204–206. [Google Scholar] [CrossRef]
- Wei, H.; Chai, S.; Hu, N.; Yang, Z.; Wei, L.; Wang, L. The microwave-assisted solvothermal synthesis of a crystalline two-dimensional covalent organic framework with high CO2 capacity. Chem. Commun. 2015, 51, 12178–12181. [Google Scholar] [CrossRef]
- Biswal, B.P.; Chandra, S.; Kandambeth, S.; Lukose, B.; Heine, T.; Banerjee, R. Mechanochemical Synthesis of Chemically Stable Isoreticular Covalent Organic Frameworks. J. Am. Chem. Soc. 2013, 135, 5328–5331. [Google Scholar] [CrossRef]
- Ding, Z.-D.; Wang, Y.-X.; Xi, S.-F.; Li, Y.; Li, Z.; Ren, X.; Gu, Z.-G. A Hexagonal Covalent Porphyrin Framework as an Efficient Support for Gold Nanoparticles toward Catalytic Reduction of 4-Nitrophenol. Chem.-A Eur. J. 2016, 22, 17029–17036. [Google Scholar] [CrossRef]
- DeBlase, C.R.; Hernández-Burgos, K.; Silberstein, K.E.; Rodríguez-Calero, G.G.; Bisbey, R.P.; Abruña, H.D.; Dichtel, W.R. Rapid and Efficient Redox Processes within 2D Covalent Organic Framework Thin Films. ACS Nano 2015, 9, 3178–3183. [Google Scholar] [CrossRef]
- Pang, Z.; Fu, J.; Lv, P.; Huang, F.; Wei, Q. Effect of CSA Concentration on the Ammonia Sensing Properties of CSA-Doped PA6/PANI Composite Nanofibers. Sensors 2014, 14, 21453–21465. [Google Scholar] [CrossRef]
- Kandambeth, S.; Biswal, B.P.; Chaudhari, H.D.; Rout, K.C.; Kunjattu, H.S.; Mitra, S.; Karak, S.; Das, A.; Mukherjee, R.; Kharul, U.K.; et al. Selective Molecular Sieving in Self-Standing Porous Covalent-Organic-Framework Membranes. Adv. Mater. 2016, 29, 1603945. [Google Scholar] [CrossRef] [PubMed]
- Liu, W.; Shao, Q.; Ji, G.; Liang, X.; Cheng, Y.; Quan, B.; Du, Y. Metal–organic-frameworks derived porous carbon-wrapped Ni composites with optimized impedance matching as excellent lightweight electromagnetic wave absorber. Chem. Eng. J. 2017, 313, 734–744. [Google Scholar] [CrossRef]
- Singh, C.; Liberman, I.; Shimoni, R.; Ifraemov, R.; Hod, I. Pristine versus Pyrolyzed Metal–Organic Framework-based Oxygen Evolution Electrocatalysts: Evaluation of Intrinsic Activity Using Electrochemical Impedance Spectroscopy. J. Phys. Chem. Lett. 2019, 10, 3630–3636. [Google Scholar] [CrossRef] [PubMed]
- Kechadi, M.; Chaal, L.; Vivier, V.; Tribollet, B.; Gamby, J. Electrical impedance spectroscopy of a PET chip sandwiched between two disk electrodes: Understanding the contribution of the polymer/electrode interface. Phys. Chem. Chem. Phys. 2016, 18, 20583–20590. [Google Scholar] [CrossRef][Green Version]
- Dong, K.-Y.; Choi, J.; Lee, Y.D.; Kang, B.H.; Yu, Y.-Y.; Choi, H.H.; Ju, B.-K. Detection of a CO and NH3 gas mixture using carboxylic acid-functionalized single-walled carbon nanotubes. Nanoscale Res. Lett. 2013, 8, 12. [Google Scholar] [CrossRef]
- Lentka, Ł.; Smulko, J.M.; Ionescu, R.; Granqvist, C.G.; Kish Laszlo, B. Determination of gas mixture components using fluctuation enhanced sensing and the ls-svm regression algorithm. Metrol. Meas. Syst. 2015, 22, 341–350. [Google Scholar] [CrossRef]











© 2020 by the authors. Licensee MDPI, Basel, Switzerland. This article is an open access article distributed under the terms and conditions of the Creative Commons Attribution (CC BY) license (http://creativecommons.org/licenses/by/4.0/).
Share and Cite
Rodríguez, A.; Rico, E.; Sierra, C.; Rodríguez, O. Impedimetric Detection of Ammonia and Low Molecular Weight Amines in the Gas Phase with Covalent Organic Frameworks. Sensors 2020, 20, 1385. https://doi.org/10.3390/s20051385
Rodríguez A, Rico E, Sierra C, Rodríguez O. Impedimetric Detection of Ammonia and Low Molecular Weight Amines in the Gas Phase with Covalent Organic Frameworks. Sensors. 2020; 20(5):1385. https://doi.org/10.3390/s20051385
Chicago/Turabian StyleRodríguez, Andrés, Elio Rico, Cesar Sierra, and Oscar Rodríguez. 2020. "Impedimetric Detection of Ammonia and Low Molecular Weight Amines in the Gas Phase with Covalent Organic Frameworks" Sensors 20, no. 5: 1385. https://doi.org/10.3390/s20051385
APA StyleRodríguez, A., Rico, E., Sierra, C., & Rodríguez, O. (2020). Impedimetric Detection of Ammonia and Low Molecular Weight Amines in the Gas Phase with Covalent Organic Frameworks. Sensors, 20(5), 1385. https://doi.org/10.3390/s20051385

