A Flexible Film Bulk Acoustic Resonator Based on β-Phase Polyvinylidene Fluoride Polymer
Abstract
1. Introduction
2. Modeling and Device Fabrication
2.1. Numerical Modeling
2.2. Device Fabrication
3. Results and Discussion
3.1. Device Characterization
3.2. Strain Response
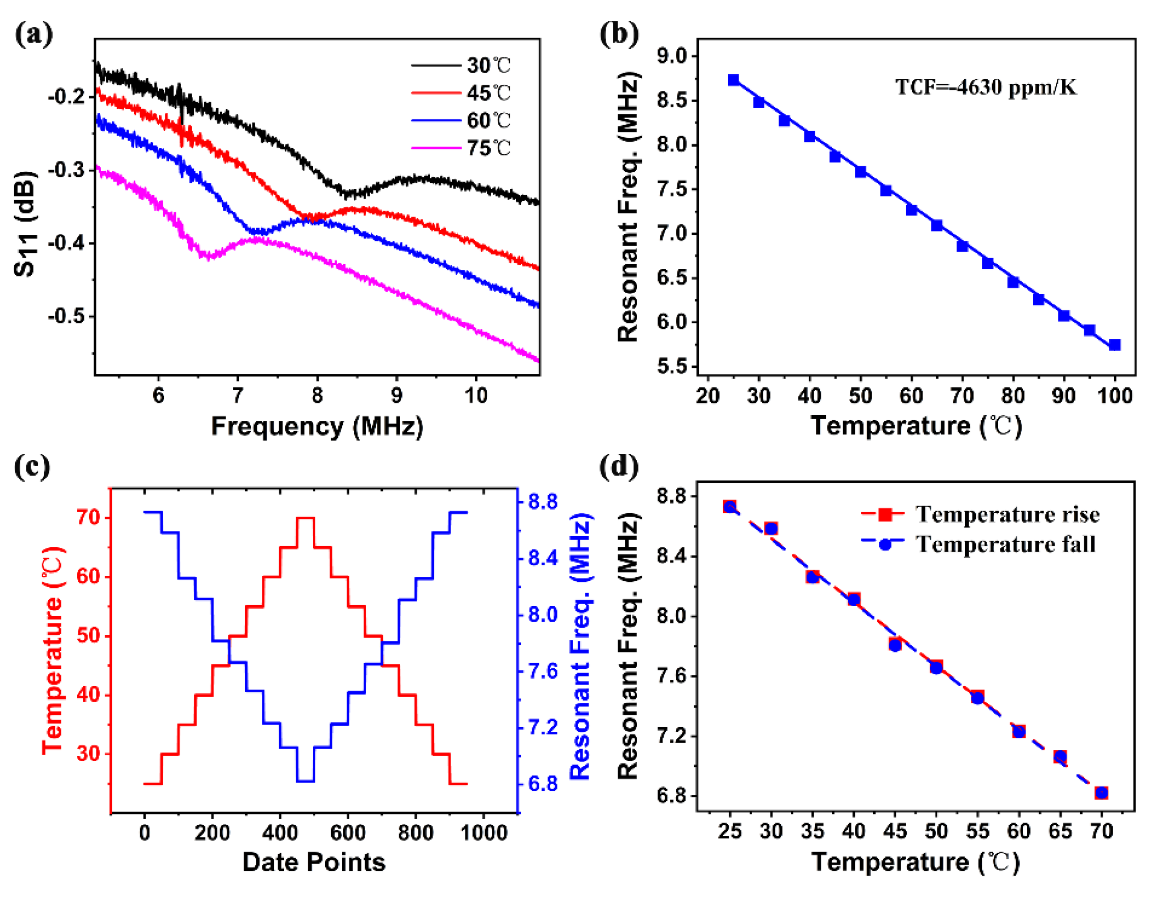
3.3. Temperature Sensing
4. Conclusions
Author Contributions
Funding
Conflicts of Interest
References
- William, W.; Salleo, A. Flexible Electronics: Materials and Applications; Springer Publishing: Berlin/Heidelberg, Germany, 2009. [Google Scholar]
- Gu, C.; Xuan, W.; Dong, S.; Wang, X.; Li, H.; Yu, L.; Luo, J. Temperature calibrated on-chip dual-mode film bulk acoustic resonator pressure sensor with a sealed back-trench cavity. J. Micromech. Microeng. 2018, 28, 075010. [Google Scholar] [CrossRef]
- Johnston, M.L.; Kymissis, I.; Shepard, K.L. FBAR-CMOS oscillator array for mass-sensing applications. IEEE Sens. J. 2010, 10, 1042–1047. [Google Scholar] [CrossRef]
- Qiu, X.; Tang, R.; Zhu, J.; Oiler, J.; Yu, C.; Wang, Z.; Yu, H. The effects of temperature, relative humidity and reducing gases on the ultraviolet response of ZnO based film bulk acoustic-wave resonator. Sens. Actuators B Chem. 2011, 151, 360–364. [Google Scholar] [CrossRef]
- Nirschl, M.; Rantala, A.; Tukkiniemi, K.; Auer, S.; Hellgren, A.-C.; Pitzer, D.; Schreiter, M.; Vikholm-Lundin, I. CMOS-Integrated Film Bulk Acoustic Resonators for Label-Free Biosensing. Sensors 2010, 10, 4180–4193. [Google Scholar] [CrossRef] [PubMed]
- Chen, J.; Guo, H.; He, X.; Wang, W.; Xuan, W.; Jin, H.; Dong, S.; Wang, X.; Xu, Y.; Lin, S. Development of flexible ZnO thin film surface acoustic wave strain sensors on ultrathin glass substrates. J. Micromech. Microeng. 2015, 25, 115005. [Google Scholar] [CrossRef]
- Hu, N.N.; He, X.L.; Bian, X.L.; Chen, G.H.; Dong, S.R.; Luo, J.K. Novel flexible FBAR on PET substrate. In Proceedings of the 2014 IEEE International Conference on Electron Devices and Solid-State Circuits, Chengdu, China, 18–20 June 2014; pp. 1–2. [Google Scholar]
- Chen, G.; Zhao, X.; Wang, X.; Jin, H.; Li, S.; Dong, S.; Flewitt, A.J.; Milne, W.I.; Luo, J.K. Film bulk acoustic resonators integrated on arbitrary substrates using a polymer support layer. Sci. Rep. 2015, 5, 9510. [Google Scholar] [CrossRef]
- Kawai, H. The Piezoelectricity of Poly (vinylidene Fluoride). Jpn. J. Appl. Phys. 1969, 8, 975. [Google Scholar] [CrossRef]
- Uma, G.; Umapathy, M.; Jose, S.; Natarajan, V.; Kathiresan, M. Design and Simulation of PVDF-MOSFET Based MEMS Hydrophone. Instrum. Sci. Technol. 2007, 35, 329–339. [Google Scholar] [CrossRef]
- Brown, L.F.; Carlson, D.L. Ultrasound transducer models for piezoelectric polymer films. IEEE Trans. Ultrason. Ferroelectr. Freq. Control. 1989, 36, 313–318. [Google Scholar] [CrossRef]
- Schulze, R.; Gessner, T.; Heinrich, M.; Schueller, M.; Forke, R.; Billep, D.; Sborikas, M.; Wegener, M. Integration of piezoelectric polymer transducers into microsystems for sensing applications. In Proceedings of the Proceedings of ISAF-ECAPD-PFM 2012, Aveiro, Portugal, 9–13 July 2012; pp. 1–4. [Google Scholar]
- Kumar, A.; Thachil, G.; Dutta, S. Ultra high frequency acoustic wave propagation in fully polymer based surface acoustic wave device. Sens. Actuators A Phys. 2019, 292, 52–59. [Google Scholar] [CrossRef]
- Shirinov, A.V.; Schomburg, W.K. Pressure sensor from a PVDF film. Sens. Actuators A Phys. 2008, 142, 48–55. [Google Scholar] [CrossRef]
- Sun, C.; Shi, J.; Bayerl, D.J.; Wang, X. PVDF microbelts for harvesting energy from respiration. Energy Environ. Sci. 2011, 4, 4508–4512. [Google Scholar] [CrossRef]
- Preethichandra, D.M.; Kaneto, K. Bending curvature measurement using a SAW sensor fabricated on a polyvinylidine difluoride (PVDF) substrate. In Proceedings of the International Conference on Sensing Technology, Palmerston North, New Zealand, 21–23 November 2005; Volume 1, pp. 594–597. [Google Scholar]
- Gallantree, H.R. Review of transducer applications of polyvinylidene fluoride. IEE Proc. I-Solid-State Electron Devices 1983, 130, 219–224. [Google Scholar] [CrossRef]
- Chang, W.-Y.; Chu, C.-H.; Lin, Y.-C. A flexible piezoelectric sensor for microfluidic applications using polyvinylidene fluoride. IEEE Sens. J. 2008, 8, 495–500. [Google Scholar] [CrossRef]
- Nalwa, H.S. Ferroelectric Polymers: Chemistry: Physics and Applications; CRC Press: Boca Raton, FL, USA, 1995. [Google Scholar]
- Martins, P.; Lopes, A.C.; Lanceros-Mendez, S. Electroactive phases of poly (vinylidene fluoride): Determination, processing and applications. Prog. Polym. Sci. 2014, 39, 683–706. [Google Scholar] [CrossRef]
- Correia, H.M.; Ramos, M.M. Quantum modelling of poly (vinylidene fluoride). Comput. Mater. Sci. 2005, 33, 224–229. [Google Scholar] [CrossRef]
- Kaneko, R.; Froemel, J.; Tanaka, S. Development of PVDF-TrFE/SiO2 composite film bulk acoustic resonator. Sens. Actuators A Phys. 2018, 284, 120–128. [Google Scholar] [CrossRef]
- Je, S.-S.; Sharma, T.; Lee, Y.; Gill, B.; Zhang, J.X. A thin-film piezoelectric PVDF-TrFE based implantable pressure sensor using lithographic patterning. In Proceedings of the 2011 IEEE 24th International Conference on Micro Electro Mechanical Systems, Cancun, Mexico, 23–27 January 2011; pp. 644–647. [Google Scholar]
- Bertram, A.A. Acoutic Fields and Wves in Solid; Wiley: New York, NY, USA, 1973; Volume 1. [Google Scholar]
- Chi-Jung, C. Design, Modeling and Fabrication of Shear Mode Bulk Acoustic Wave Sensor as a Potential Biosensor; Western Michigan University: Kalamazoo, MI, USA, 2012. [Google Scholar]
- Hao, J. The Study of Thin Fim Bulk Acoustic Wave Resonators (FBAR) Technology; Zhejiang University: Hangzhou, China, 2006. [Google Scholar]
- Qing-Xin, S.; Kirby, P.; Eiju, K.; Masaaki, I.; Qi, Z.; Roger, W. Thin-Film Bulk Acoustic Resonators and Filters Using ZnO and Lead–Zirconium–Titanate Thin Films. IEEE Trans. Microwave Theory Tech. 2001, 49, 769–778. [Google Scholar]
- Fu, Y.Q.; Luo, J.K.; Nguyen, N.T.; Walton, A.J.; Flewitt, A.J.; Zu, X.T.; Li, Y.; McHale, G.; Matthews, A.; borra, E.I.; et al. Advances in piezoelectric thin films for acoustic biosensors, acoustofluidics and lab-on-chip applications. Prog. Mater. Sci. 2017, 89, 624–646. [Google Scholar] [CrossRef]
- Verdu Tirado, J. Bulk Acoustic Wave Resonators and their Application to Microwave Devices; Autonoma de Barcelona University: Barcelona, Spain, 2010. [Google Scholar]
- Huidong, L.; Daniel, D.; Thomas, J.C. Piezoelectric Materials Used in Underwater Acoustic Transducers. Sens. Lett. 2012, 10, 679–697. [Google Scholar]
- Measurement Specialties, Inc. Piezo Film Sensors Technical Manual; Measurement Specialties Inc.: Norristown, PA, USA, 1999. [Google Scholar]
- Eovino, B.T. Design and Analysis of a PVDF Acoustic Transducer towards an Imager for Mobile Underwater Sensor Networks; Masters of Science, Electrical Engineering and Computer Science University of California, Berkeley: Berkeley, CA, USA, 2015. [Google Scholar]
- Zhang, Q.M.; Bharti, V.; Kavarnos, G. Poly (Vinylidene Fluoride) (PVDF) and its Copolymers. In Encyclopedia of Smart Materials; Schwartz, M., Ed.; John Wiley and Sons, Inc.: Hoboken, NJ, USA, 2002. [Google Scholar]
- Ueberschlag, P. PVDF piezoelectric polymer. Sens. Rev. 2001, 21, 118–125. [Google Scholar] [CrossRef]
- Gomes, J.; Serrado Nunes, J.; Sencadas, V.; Lanceros-Mendez, S. Influence of the β-phase content and degree of crystallinity on the piezo- and ferroelectric properties of poly(vinylidene fluoride). Smart Mater. Struct. 2010, 19, 065010. [Google Scholar] [CrossRef]
- Han, H.; Nakagawa, Y.; Takai, Y.; Kikuchi, K.; Tsuchitani, S.; Kosimoto, Y. Microstructure fabrication on a β-phase PVDF film by wet and dry etching technology. J. Micromech. Microeng. 2012, 22, 085030. [Google Scholar] [CrossRef]
- Kärki, S.; Lekkala, J. A new method to measure heart rate with EMFi and PVDF materials. J. Med Eng. Technol. 2009, 33, 551–558. [Google Scholar] [CrossRef]
- Sencadas, V.; Gregorio Filho, R.; Lanceros-Mendez, S. Processing and characterization of a novel nonporous poly(vinilidene fluoride) films in the β phase. J. Non-Cryst. Solids 2006, 352, 2226–2229. [Google Scholar] [CrossRef]
- Eberle, G.; Schmidt, H.; Eisenmenger, W. Piezoelectric polymer electrets. IEEE Trans. Dielectr. Electr. Insul. 1996, 3, 624–646. [Google Scholar] [CrossRef]
- Jan, W.; Mathias, L.; Robert, P.; Dana, P.; Matthias, S. Sensor for Ambient Pressure and Material Strains using a Thin Film Bulk Acoustic Resonator. In Proceedings of the IEEE Ultrasonics Symposium, Rotterdam, The Netherlands, 18–23 September 2005; Volume 2, pp. 1258–1261. [Google Scholar]
- Yu, H.; Pang, W.; Zhang, H.; Kim, E.S. Ultra temperature-stable bulk-acoustic-wave resonators with SiO 2 compensation layer. IEEE Trans. Ultrason. Ferroelectr. Freq. Control. 2007, 54, 2102–2109. [Google Scholar]
- Bin, Z.; Yang, G.; Yi, H.E. Analysis of the FBAR temperature-frequency drift characteristics. Piezoelectics Acoustooptics 2014, 36, 171. [Google Scholar]
- García-Gancedo, L.; Pedros, J.; Zhao, X.B.; Ashley, G.M.; Flewitt, A.J.; Milne, W.I.; Ford, C.J.B.; Lu, J.R.; Luo, J.K. Dual-mode thin film bulk acoustic wave resonators for parallel sensing of temperature and mass loading. Biosens. Bioelectron. 2012, 38, 369–374. [Google Scholar] [CrossRef]
- Pensala, T. Thin Film Bulk Acoustic Wave Devices: Performance Optimization and Modeling; VTT: Vuorimiehentie, Finland, 2011. [Google Scholar]
- Nunes, J.S.; Sencadas, V.; Wu, A.; Kholkin, A.L.; Vilarinho, P.M.; Lancerosméndez, S. Electrical and Microstructural Changes of β-PVDF under Different Processing Conditions by Scanning Force Microscopy. Mrs Proc. 2006, 949, 514–516. [Google Scholar] [CrossRef]
- Soin, N.; Boyer, D.; Prashanthi, K.; Sharma, S.; Narasimulu, A.A.; Luo, J.; Shah, T.H.; Siores, E.; Thundat, T. Exclusive self-aligned β-phase PVDF films with abnormal piezoelectric coefficient prepared via phase inversion. Chem. Commun. 2015, 51, 8257–8260. [Google Scholar] [CrossRef] [PubMed]







| Materials | ZnO [24,25,26,27,28] | AlN [24,25,26,28,29] | PZT [26,28,30] | β-PVDF [28,31,32,33,34,35] |
|---|---|---|---|---|
| ) | 5.61 | 3.26 | 7.55 | 1.78 |
| ) | 6340 | 11,350 | 3603 | 2200 |
| ) | 210 | 320 | 1200 | 3 |
| 36.2 | 37 | 27.2 | 2.7 | |
| (%) | 7.8 | 6.0 | 20.25 | 14 |
| 12 | 4.5 | 289–380 | −24 to 34 | |
| ) | 4 | 5.2 | 1.75 | 42–75 |
| Parameter | Value |
|---|---|
| 0.4 | |
| 9.5 | |
| 0.02 |
© 2020 by the authors. Licensee MDPI, Basel, Switzerland. This article is an open access article distributed under the terms and conditions of the Creative Commons Attribution (CC BY) license (http://creativecommons.org/licenses/by/4.0/).
Share and Cite
Wu, T.; Jin, H.; Dong, S.; Xuan, W.; Xu, H.; Lu, L.; Fang, Z.; Huang, S.; Tao, X.; Shi, L.; et al. A Flexible Film Bulk Acoustic Resonator Based on β-Phase Polyvinylidene Fluoride Polymer. Sensors 2020, 20, 1346. https://doi.org/10.3390/s20051346
Wu T, Jin H, Dong S, Xuan W, Xu H, Lu L, Fang Z, Huang S, Tao X, Shi L, et al. A Flexible Film Bulk Acoustic Resonator Based on β-Phase Polyvinylidene Fluoride Polymer. Sensors. 2020; 20(5):1346. https://doi.org/10.3390/s20051346
Chicago/Turabian StyleWu, Ting, Hao Jin, Shurong Dong, Weipeng Xuan, Hongsheng Xu, Leihe Lu, Zijing Fang, Shuyi Huang, Xiang Tao, Lin Shi, and et al. 2020. "A Flexible Film Bulk Acoustic Resonator Based on β-Phase Polyvinylidene Fluoride Polymer" Sensors 20, no. 5: 1346. https://doi.org/10.3390/s20051346
APA StyleWu, T., Jin, H., Dong, S., Xuan, W., Xu, H., Lu, L., Fang, Z., Huang, S., Tao, X., Shi, L., Liu, S., & Luo, J. (2020). A Flexible Film Bulk Acoustic Resonator Based on β-Phase Polyvinylidene Fluoride Polymer. Sensors, 20(5), 1346. https://doi.org/10.3390/s20051346

